Ответ на вопрос №21535: Определить как ведет себя метод простой итерации для линейной системы 100x-y=-102 x-200y=202 сходится расходится Определить как ведет себя метод простой итерации для линейной системы - Ответ на вопрос №21535Определить как ведет себя метод простой итерации для линейной системы - Ответ на вопрос №21535
2024-02-062024-02-06СтудИзба
Определить как ведет себя метод простой итерации для линейной системы - Ответ на вопрос №21535
-47%
Вопрос
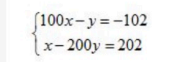
Определить как ведет себя метод простой итерации для линейной системы
100x-y=-102
x-200y=202
- сходится
- расходится
Ответ
Пожалуйста, если не трудно, оцените файл на высокую оценку, спасибо!
iFate






















