Вычислить интеграл с шагом h по формуле трапеций 1.4984 0.4950 - Ответ на вопрос по ВМ №6463
-42%
Вопрос
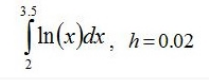
Вычислить интеграл с шагом h по формуле трапеций
- 1.4984
- 0.4950
- 10.4950
- -1.8178
Ответ

Хочешь зарабатывать на СтудИзбе больше 10к рублей в месяц? Научу бесплатно!
Начать зарабатывать
Начать зарабатывать
zzyxel






















