Ответ на вопрос №195918: Точечная оценка дисперсии D[y] равна: Точечная оценка дисперсии D[y] равна: - Ответ на вопрос №195918Точечная оценка дисперсии D[y] равна: - Ответ на вопрос №195918
2024-11-182024-11-18СтудИзба
Точечная оценка дисперсии D[y] равна: - Ответ на вопрос №195918
-47%
Вопрос
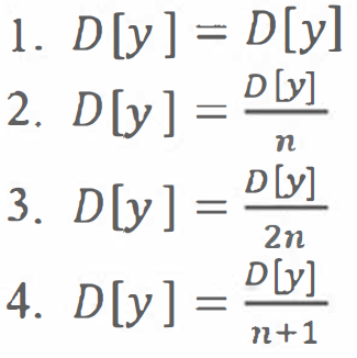
Точечная оценка дисперсии D[y] равна:
























