Ответ на вопрос по схемотехнике №19932: 2. Каким будет Q(t+1), если Q(t) =0 ; S =1,R ̅ ̅=1 ? 2. Каким будет Q(t+1), если Q(t) =0 ; S =1,R ̅ ̅=1 ? - Ответ на вопрос по схемотехнике №199322. Каким будет Q(t+1), если Q(t) =0 ; S =1,R ̅ ̅=1 ? - Ответ на вопрос по схемотехнике №19932
2024-02-032024-02-03СтудИзба
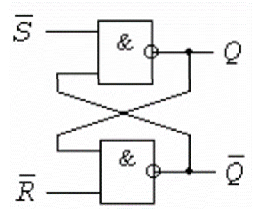
2. Каким будет Q(t+1), если Q(t) =0 ; S =1,R ̅ ̅=1 ? - Ответ на вопрос по схемотехнике №19932
-47%
Вопрос
2. Каким будет Q(t+1), если Q(t) =0 ; S =1,R ̅ ̅=1 ?
Ответ

Если нужен другой вариант работы или отдельная задача из любой работы, пишите в комментарии
















