Ответ на вопрос №717876: Чему равны корни системы уравнений: (-1, 1) (1, 1) (-1, -1) (1, -1) Чему равны корни системы уравнений: (-1, 1) (1, 1) (-1, -1) (1, -1) - Ответ на вопрос №717876Чему равны корни системы уравнений: (-1, 1) (1, 1) (-1, -1) (1, -1) - Ответ на вопрос №717876
2025-06-042025-06-04СтудИзба
Чему равны корни системы уравнений: (-1, 1) (1, 1) (-1, -1) (1, -1) - Ответ на вопрос №717876
Вопрос
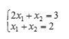
Чему равны корни системы уравнений:
- (-1, 1)
- (1, 1)
- (-1, -1)
- (1, -1)
Ответ
Этот вопрос в коллекциях
-61%



















