Ответ на вопрос по математике №979820: Дифференциальное уравнение 1-го порядка с разделяющимися переменными: Дифференциальное уравнение 1-го порядка с - Ответ на вопрос по математике №979820Дифференциальное уравнение 1-го порядка с - Ответ на вопрос по математике №979820
2025-09-212025-09-21СтудИзба
Дифференциальное уравнение 1-го порядка с - Ответ на вопрос по математике №979820
Вопрос
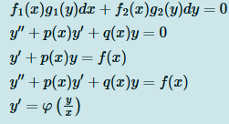
Дифференциальное уравнение 1-го порядка с разделяющимися переменными:
Ответ
Этот вопрос в коллекциях
Коллекция: Математика
249 руб.

Если нужен другой вариант работы или отдельная задача из любой работы, пишите в комментарии


















