Ответ на вопрос по матиматике №7410: Укажите область определения функции Укажите область определения функции - Ответ на вопрос по матиматике №7410Укажите область определения функции - Ответ на вопрос по матиматике №7410
2023-12-272023-12-27СтудИзба
Укажите область определения функции - Ответ на вопрос по матиматике №7410
-47%
Вопрос
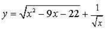
Укажите область определения функции
Ответ
Этот вопрос в коллекциях
Коллекция: Математический анализ
249 руб.
Пожалуйста, если не трудно, оцените файл на высокую оценку, спасибо!




















