Ответы к зачёту: Математический анализ
Бестселлер
Описание
Математический анализ. Коллекция ответов на вопросы. ВУЗ - МФПУ Синергия (МОИ, МТИ)
Список вопросов
Вычислить площадь фигуры, ограниченной кривыми: x=4; y=x; xy=4
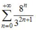
Радиус сходимости степенного ряда
Общим решением уравнения y''-2y'+y=ex/x
Общим решением уравнения y''+y=1/sinx является
Общим решением уравнения 6xdx-6ydy=2x2ydy-3xy2dx является
Общим решением уравнения y^(5)+8y'''+16y'=0 является
Модуль якобиана полярного отображения равен
Среди перечисленных дифференциальных уравнений укажите уравнение с разделяющимися переменными
Верно ли, что если функция интегрируема на данном отрезке, то она положительна на этом отрезке?
Общим решением уравнения 2xydx+(x^2-y^2)dy=0 является
Если все производные второго порядка функции двух переменных в точке отрицательны, то
Найдётся ли функция, которая дифференцируема в заданной точке, но у которой нет предела при стремлении к этой точке?
Может ли областью сходимости степенного ряда быть множество
Верно ли, что если (в данной области) ротор векторного поля равен нулю, то поле потенциально?
Модуль якобиана сферического отображения равен
Найдите площадь фигуры, заключенной между кривой, прямыми, x = 2 и осью Ox
Верно ли, что, если производная функции на некотором интервале положительна, то функция строго монотонно убывает?
Определитель Вронского системы решений (на заданном интервале) дифференциального уравнения равен 1. Будут ли эти решения линейно зависимы?
Общим решение уравнения y''+y'-2y=0 является
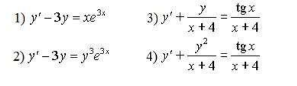
Даны дифференциальные уравнения. Укажите среди них линейные уравнения ![]()

Общее решение уравнения y```-2y``+y`=0 есть:
Существует ли функция, первообразная от которой равна удвоенной исходной функции?
Производная первообразной функции f(x) равна
Могут ли у двух различных функций на некотором интервале быть одинаковые первообразные?
Общим решением уравнения y''-2y'-3y=e4x
Найдите площадь области, ограниченной кривой y = 1/4 x^3, прямыми x = -4, x = -2 и осью Ох
Может ли дифференциальное уравнение второго порядка не иметь ни одного решения в действительной области?
Даны дифференциальные уравнения. Укажите среди них однородные уравнения
- (x² + y² + 2xy)dx + 2xydy = 0;
- (x² + y² + 2x)dx + 2xydy = 0;
- y' = (y/x)² + y/x + 49;
- y' = (y/x)² + x;
- y' = (x + 7y) / 7y;
- y' = (x + 7) / 7y
Существует ли функция двух переменных, у которой в каждой точке частная производная по первой переменной равна частной производной по второй переменной?
Вычислите площадь плоской фигуры, ограниченной линиями: y = 1/cos^2x , y =0 , x1 = 0 , x2 = 45°
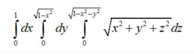
Изменить порядок интегрирования
![]()

Решением задачи Коши y'sinx=ylny , y(П/2)=e является
Найдите интервал сходимости ряда x / 3! + x² / 4! + x³ / 5! + … + xⁿ / (n + 2)! + …
Найдите радиус сходимости ряда 1 / 4 + x / 5 + x² / 6 − x³ / 7 + … xⁿ / (n + 4) + …
Укажите формулу для производной произведения функций u и v, если они дифференцируемы в некоторой точке и их произведение также дифференцируемо в этой точке
На каком из рисунков изображена область определения функции? z = ln(2 - x + y) / √(x + y)
![]()

Сумма ряда равна: ![]()

Укажите частное решение дифференциального уравнения y′ + 2y = 4, удовлетворяющее начальному условию y(0) = 5
Найдите частное решение дифференциального уравнения y′ + 4y = 2, удовлетворяющее начальному условию y(0) = 6
Найдите общее решение уравнения x⁴y'' = 5
Найдите радиус сходимости ряда x / 1 + x² / 2 + x³ / 3 + … + xⁿ / n + …
Вычислить циркуляцию векторного поля по контуру L:x+y=-1; x=0; y=0, применяя формулу Грина
Что называется, порядком дифференциального уравнения?
Найдите производную функции f(t) = ln(2cos t)
Среди перечисленных уравнений укажите линейные уравнения первого порядка:
Найдите общее решение уравнения 3y' = y² / x² + 10 y / x + 10
Вычислить интеграл
Найдите путь, пройденный точкой за первые 5 с от начала движения. Тело движется прямолинейно со скоростью υ(t) = (3 + 3t²) м/с.
Первообразная для функции - это такая функция, интеграл от которой равен исходной функции?
Найдите площадь фигуры, ограниченной прямыми y = 4x, x = 4 и осью Ox
Какая из перечисленных функций не относится к трансцендентным функциям?
Является ли поле соленоидальным?
Верно ли, что, если функция на некотором интервале строго монотонно убывает, то её производная в каждый точке этого интервала отрицательна?
Если у функции в заданной точке все частные производные равны 0, то
Укажите общее решение уравнения y' - y / (x + 2) = x⁴(x + 2)
Найдите производную функции (4x − 7) / (2x − 7)
Найдите первообразную для функции f(x) = 5x^4
Исследуйте ряд на сходимость 5 / 1 - 7 / 2 + 9 / 3 - … + (-1)ⁿ⁺¹ (2n + 3) / n + …
Найдите радиус сходимости ряда x / (1 2) + x² / (2 2²) + x³ / (3 2³) + … + xⁿ / (n 2ⁿ) + …
Какая функция у = f(x) называется возрастающей на промежутке X?
Может ли дифференциальное уравнение первого порядка иметь бесконечно много различных решений?
Найдите площадь фигуры, ограниченной прямыми y = 5x, x = 2 и осью Ox
Решение задачи Коши y``+y=1, y(0)=1 есть:
Найдите наименьшее значение функции f(x) = x^3 - 9x^2 - 5 на отрезке [0; 3]
Какая из перечисленных функций не относится к алгебраическим функциям?
Вычислите определенный интеграл ∫ 2xdx / √(16 + x²), x=0..3
Вычислить интеграл
Общим решением уравнения y'-yctgx=sinx является
Найдите частное решение уравнения 2sdt = tds, если при t = 1 s = 2
Существует ли функция, которая имеет экстремум в каждой точке?
Найдите площадь фигуры, ограниченной линиями y = 3√x , x = -1 , y = 0
Вычислите предел по правилу Лопиталя lim ln(x² − 3) / (x² − 3x + 2), x -> 2
Седьмой член ряда равен:
Общим решением уравнения y`+y=1 является:
Вычислите предел по правилу Лопиталя lim (1 − cos4x) / (1 − cos6x), x⟶0
Общим решением уравнения (2x+3y-1)dx+(4x+6y-5)dy=0 является
Найдите частное решение уравнения xdx = dy, если при x = 1 y = 0
Исследуйте ряд на сходимость 1 / 3 - 1 / 4 + 1 / 5 - 1 / 6 + … + (-1)ⁿ⁺¹ 1 / (n + 2) + ...
Найдите полный дифференциал функции z = sinxy + x²y²
Найдите область определения функции z = √(1 - xy) / (x² - y²)
Разложите в степенной ряд f(x) = sin 2x
Исследуйте функцию y=x^3+3x^2 на экстремумы
Какова область определения функции? 1/f(x)
Может ли у функции быть два предела в точке?
Укажите область определения функции √(x² − 2x − 8) + √x
Вычислите силу давления воды на одну из стенок аквариума, имеющего длину 30 см и высоту 20 см
Неопределенный интеграл от функции на заданном интервале - это
Вычислите определенный интеграл ∫ (x² − 1)³xdx, x=1..2
Найдите площадь фигуры, ограниченной линиями y = x^2+1, y = 0, x = 0, x = 2
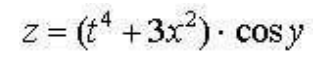
Найдите частные производные функции трех переменных ![]()

Найдите точку перегиба кривой y = 1/3.x³ - x
Найдите точку перегиба кривой y = -x³ + 6x² - 15x + 10
Найдите общее решение уравнения y'' - 9y = 0
Сумма решений линейного дифференциального уравнения
Какую работу совершает сила в 8 H при растяжении пружины на 6 см?
Является ли поле потенциальным?
Среди перечисленных дифференциальных уравнений укажите уравнение Бернулли
Найдите производную функции y = xe^x - e^x
Вычислите площадь плоской фигуры, ограниченной линиями: x = 2x – x2 и y = 0
Число F(X0) называется наибольшим значением функции на отрезке [a; b], если ...
Характеристики ответов (шпаргалок) к зачёту
Тип
Коллекция: Ответы к зачёту
Предмет
Учебное заведение
Учебная пора
Просмотров
246
Количество вопросов

❓ Как копировать вопросы во время теста в Синергии?
Пожалуйста, если не трудно, оцените файл на высокую оценку, спасибо!
Комментарии
Нет комментариев
Стань первым, кто что-нибудь напишет!
МФПУ «Синергия»
iFate



















