Ответ на вопрос по матиматике №230256: Решением задачи Коши y ′ − y = y2, y(1) = −1/2 является Решением задачи Коши y ′ − y = y2, y(1) = −1/2 - Ответ на вопрос по матиматике №230256Решением задачи Коши y ′ − y = y2, y(1) = −1/2 - Ответ на вопрос по матиматике №230256
2024-12-292024-12-29СтудИзба
Решением задачи Коши y ′ − y = y2, y(1) = −1/2 - Ответ на вопрос по матиматике №230256
-47%
Вопрос
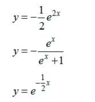
Решением задачи Коши y ′ − y = y2, y(1) = −1/2 является
Ответ
Этот вопрос в коллекциях

Гарантия сдачи без лишних хлопот! ✅🎓 Ответы на тесты по любым дисциплинам, базы вопросов, работы и услуги для Синергии, МЭИ и других вузов – всё уже готово! 🚀 🎯📚 Гарантия качества – или возврат денег! 💰✅


















