Чем меньше загружен двигатель, тем...
- меньше величина коэффициента мощности
- больше величина коэффициента мощности
- меньше величина коэффициента реактивной мощности
- меньше величина напряжения на зажимах
id133069387
nastia1998l

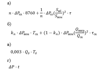
Потери электроэнергии в трансформаторах определяются по формуле...
stud-iv.help




































