Зависимость, выраженная формулой – это … мультипликативная - Ответ на вопрос по АФХД №298258
-42%
Вопрос
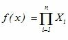
Зависимость, выраженная формулой
– это …- мультипликативная зависимость
- комбинированная зависимость
- аддитивная зависимость
- стохастическая зависимость
Ответ

ЕСЛИ Я ПОМОГЛА ВАМ, ПОЖАЛУЙСТА, ОСТАВЬТЕ 5 ЗВЁЗД И ПОЛОЖИТЕЛЬНЫЙ КОММЕНТАРИЙ. СПАСИБО ВАМ БОЛЬШОЕ! И ХОРОШИХ ВАМ ОЦЕНОК!
Piratka




















