Турбидиметрические и нефелометрические методы исследования
Лекция №7
1 Турбидиметрические и нефелометрические методы исследования
2 Ультразвуковой метод исследования
1 Турбидиметрические и нефелометрические методы исследования
Турбидиметрический и нефелометрический оптические методы исследования дисперсных систем растворов основаны на рассеянии света частицами дисперсной фазы, которое зависит от размера и формы рассеивающих частиц и иногда от их расположения в пространстве, а также от длины волны излучения.
![]() |
Почти все измерения связаны с видимым излучением. Пробы освещают потоком излучения интенсивностью I0 (рис. 21), а затем измеряют интенсивность прошедшего излучения I или определяют интенсивность излучения, рассеянного под определенным углом (например, 90°, Iр 90). С ростом числа частиц в суспензии отношение I / I0 уменьшается, а отношение Iр 90/ I0 увеличивается до умеренных концентраций. Для очень разбавленных суспензий измерение под углом гораздо чувствительнее, чем измерения, когда источник и детектор находятся на одной линии, поскольку при этом можно наблюдать слабый рассеянный свет на темном фоне. Метод, в котором используют линейное измерение, называют турбидиметрией, а метод с измерением под углом 90° (или каким-либо другим) – нефелометрией.
Рисунок 21 – Схема рассеяния света
где I0 – интенсивность падающего излучения, ед.;
I – тенсивность прошедшего излучения, ед.;
Рекомендуемые материалы
IР135, IР90, IР45 – интенсивности излучения, рассеянного под разными углами, ед.
Турбидиметрия основана на измерении интенсивности светового потока, прошедшего через дисперсную систему I. Если принять рассеянный свет за поглощенный, то можно получить соотношение, аналогичное соотношению по закону Бугера–Ламберта–Бера для поглощения света растворами,
|
|
где D – оптическая плотность раствора, ед.;
t – коэффициент мутности, ед.;
l – толщина слоя, cм;
k – эмпирическая константа;
С – концентрация, г/см3.
Так как поглощения света при турбидиметрии практически не происходит, используют понятие оптической плотности D, которая может быть измерена на фотоэлектроколориметре. Коэффициент мутности в данном уравнении аналогичен коэффициенту в законе Бугера – Ламберта – Бера.
Нефелометрия основана на измерении интенсивности света, рассеянного дисперсной системой Iр. Способность частиц к рассеянию или отражению света определяется размером частиц и длиной волны падающего света.
Нефелометрический метод является более чувствительным по сравнению с турбидиметрическим методом, так как предусматривает прямое измерение аналитического сигнала, что позволяет определять не только концентрацию и размер частиц, но и их форму, характер взаимодействия и другие свойства. Тем не менее, на практике турбидиметрический метод анализа применяют чаще. Этим методом можно измерить содержание жира в молоке, оценить степень дисперсности жира, исследовать процесс свертывания молока, определить готовность белкового сгустка и сливок к сбиванию, установить концентрацию микроорганизмов при производстве бактериальных концентратов и т. п.
Для турбидиметрических измерений можно использовать любой фотометр или спектрофотометр.
2 Ультразвуковой метод исследования
Ультразвук (УЗ) представляет собой упругие звуковые волны с частотой приблизительно от 15–20 кГц до 109 Гц. Звук с частотами от 109 до 1012÷1013 Гц принято называть гиперзвуком. Область частот ультразвука удобно подразделять на три диапазона: ультразвук низких частот (1,5·104–105 Гц), ультразвук средних частот (105÷107 Гц) и область высоких частот ультразвука (107÷109 Гц).
Ввиду малой длины волны ультразвука (по сравнению с обычным звуком) характер его распространения определяется, в первую очередь, молекулярной структурой среды, поэтому, измеряя скорость v и коэффициент затухания α, можно судить о молекулярных свойствах вещества. По данным v и α ультразвука в среде во многих случаях можно осуществить контроль за протеканием того или иного процесса (контроль концентрации смесей газов, химического состава жидкостей и т. п.).
УЗ-приборы для определения состава и свойств молока
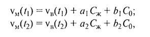
УЗ-метод контроля состава молока основан на измерении изменения скоростей ультразвуковых колебаний в зависимости от массовых долей жира и сухого обезжиренного молочного остатка – СОМО в молоке, определенных при температурах t1 и t2 и связанных между собой следующими соотношениями:

Вам также может быть полезна лекция "6. Стратегический контроллинг".
где vM, vB – скорость ультразвука в молоке и воде; Сж, С0 – массовая доля в молоке и сливках жира и СОМО соответственно; t1, t2 – температуры пробы; a1, а2, b1, b2 – коэффициенты попорциональности, зависящие от вида исследуемого сырья.
Таким образом, измеряя скорость распространения ультразвука в одной и той же пробе молока при температурах t1, t2 и, решая систему уравнений относительно Сж и С0, получают данные о массовой доле в нём жира и СОМО. Скорость распространения ультразвука в молоке рекомендуется измерять при t1 = 41 °С и t2 = 65 °С.
На основе ультразвукового метода в последние годы созданы также методики измерения и приборы не только массовых долей жира и СОМО, но и белка и плотности молока.
При измерении показателей практически не требуется специальной подготовки пробы (кроме нагрева в приборе), на результаты измерений не влияют размеры жировых шариков и мицелл белка, а после анализа проба пригодна для дальнейшего использования.
С участием ВНИМИ на основе ультразвукового метода были созданы несколько поколений ультразвуковых анализаторов: прибор PAN-3 (СКВ Академии наук Эстонии), анализатор ФМУ-1 (СКВ средств аналитической техники, Украина) и анализаторы нового поколения «Лактан 1–4» и «Клевер-1М» (НПП «Сибагроприбор» и НПП «Инфраспек», Россия).
Важным достоинством анализаторов на основе УЗ-метода является их компактность и проста в эксплуатации.




















