Основные методы, применяемые в психогенетике человека
Основные методы, применяемые в психогенетике человека
Для выявления генетических и средовых влияний на фенотипическое разнообразие применяются три основных подхода: близнецовые исследования, исследования приемных детей, семейный анализ (генеалогический). Постепенно развиваются и методы идентификации генов, непосредственно участвующих в формировании конкретных свойств.
Близнецовый метод
Близнецовый метод основан на существовании двух типов близнецов. Однояйцевые, или монозиготные, близнецы, как показывает само название, развиваются из одной оплодотворенной яйцеклетки (зиготы). После того как зигота начинает делиться, на какой-то стадии развития возможно отделение делящихся клеток друг от друга и разделение на два зародыша, каждый из которых начинает развиваться самостоятельно, как отдельный организм.
Разнояйцевые, или дизиготные, близнецы образуются при оплодотворении двух (и более) яйцеклеток и с самого начала развития представляют собой разные организмы.
С генетической точки зрения монозиготные близнецы полностью идентичны, у них на 100% одни и те же гены.
Природа в данном случае производит клонирование человека (клон — это группа генетически идентичных особей).
Частота встречаемости монозиготных близнецов составляет примерно 4 случая на 1000 рождений, и этот показатель довольно стабилен в разных популяциях. Если у человека это довольно редкое явление, то у некоторых млекопитающих такой вариант бесполого размножения имеет место на регулярной основе (у броненосцев, как правило, рождаются монозиготные двойни и четверни).
Рекомендуемые материалы
Факторы, влияющие на появление монозиготных близнецов, до сих пор остаются неизвестными.
В отношении дизиготных близнецов ситуация более понятна, поскольку для их появления необходимо одновременное созревание двух или нескольких яйцеклеток. В связи с этим на вероятность появления дизиготных близнецов влияет уровень фолликулостимулирующего гормона.
Этим, очевидно, объясняется увеличение вероятности рождения дизиготных близнецов с возрастом матери (максимум рождений в возрасте 35-39 лет). На уровень гормона может повлиять и наследственность. Наиболее высокая рождаемость дизиготных близнецов отмечена для Западной Африки (в Нигерии в племени йоруба — 4,2% рождений). Для Европы это значение составляет 0,8%.
Дизиготные близнецы с генетической точки зрения так же близки, как обычные дети одних и тех же родителей (общими являются примерно 50% генов).
В отличие от монозиготных близнецов дизиготные близнецы могут быть разнополыми. В принципе, могут даже встречаться дизиготные близнецы, представляющие собой сводных братьев или сестер, т. е. имеющие только 25% общих генов.
!!!!!!Если в период овуляции женщина вступала в половую связь с разными партнерами, то яйцеклетки могли быть оплодотворены сперматозоидами разных отцов.
Изредка в ходе судебных экспертиз по определению отцовства обнаруживают такие близнецовые пары с разными отцами.
В результате наличия двух типов близнецов создаются уникальные условия для психогенетических исследований и экспериментов, поскольку любые различия между монозиготными близнецами можно отнести только на счет средовых влияний.
Дизиготные близнецы служат для контроля, поскольку особенности их развития до и после рождения (пре- и постнатальный онтогенез) во многом сходны и можно допустить равенство среды моно- и дизиготных близнецов.
Классический вариант близнецового метола
В классическом варианте близнецового метода исходят из оценок внутрипарного сходства близнецов.
Для дискретных признаков используют понятия конкордантности и дискордантности. Если признак проявился у обоих близнецов (например, оба заболели шизофренией), говорят о конкордантности по этому признаку.
Если у одного близнеца в фенотипе признак проявляется, а у другого нет (один болен, а другой остался здоровым), то речь идет о дискордантности.





В табл. 1 приведены данные по конкордантности близнецов при некоторых заболеваниях.
Значительные отличия в конкордантности у моно- и дизиготных близнецов указывают на большую роль генетических факторов, определяющих подверженность ряду заболеваний (см., например, данные по диабету).
|
|
Для признаков, поддающихся количественной оценке, таких как, например, коэффициент интеллекта, определяют внутрипарный коэффициент корреляции между близнецами.
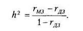
Поскольку у монозиготных близнецов 100% общих генов, а у дизиготных примерно 50%, то значение коэффициента наследуемости признака в узком смысле получают по следующей формуле:
формула 1
где h2 — наследуемость в узком смысле (доля фенотипической изменчивости, связанная с аддитивными генетическими эффектами), r мз — коэффициент корреляции признака среди монозиготных близнецов, r дз — коэффициент корреляции признака среди дизиготных близнецов.
В отечественной литературе этот показатель именуется коэффициентом Игнатьева.
Вклад общей (разделенной) среды в изменчивость можно оценить таким образом:
формула 2
Наконец, вклад индивидуальной (неразделенной) среды и ошибку измерения получают по формуле:
Заметим, что h 2 не может быть больше 1, как это иногда случается на практике при использовании вышеприведенной формулы (1), поэтому прибегают и к другим способам подсчета. Для оценки наследуемости можно использовать показатель наследуемости Хользингера:
(6)
где К — конкордантность в процентах для моно- и дизиготных близнецов (МЗ и ДЗ соответственно) или, если оценивать корреляцию, то:








Эти показатели неплохо себя зарекомендовали и являются полезными способами оценки для характеристики источников индивидуальной изменчивости.
Сразу отметим, что если корреляция среди монозиготных близнецов превосходит корреляцию у дизиготных близнецов более чем в два раза, то из первых двух формул (1) и (2) следует, что вклад общей среды в изменчивость признака в этом случае равен нулю.
Постоянно высокое значение отношения корреляций монозиготных близнецов к таковым у дизиготных может также указывать на наличие неаддитивных генетических эффектов или на разную степень общности среды у моно- и дизиготных близнецов.
В связи с этим важно проверить данные, полученные на близнецах, выросших вместе, с помощью альтернативных подходов.
Метод разлученных близнецов
Еще один вариант близнецового метода — это метод разлученных близнецов, позволяющий отделить сходство, вызванное одинаковым генотипом от сходства, причиной которого являются одинаковые воздействия среды.
Данные по разлученным близнецам, которые воспитывались в разных семьях, позволяют существенно дополнить классический вариант близнецового метода.
Кроме того, если между монозиготными близнецами регистрируются какие бы то ни было отличия в фенотипе, то они могут быть связаны только с различными влияниями внешней среды (поскольку генотипы абсолютно идентичны).
Именно это обстоятельство дает возможность обнаружить те воздействия среды, от которых зависит проявление исследуемого свойства в фенотипе. Это имеет большое значение, поскольку позволяет найти способ воздействия на индивида с целью наиболее полного развития желательных свойств или, наоборот, идентифицировать факторы риска развития болезней либо нежелательных особенностей поведения.
Для такого поиска важно иметь близнецов, выросших в разных условиях.
При использовании метода разлученных близнецов сравнивается сходство монозиготных близнецов, выросших вместе, с данными по близнецам, разлученным после рождения и выросшим порознь.
Метод дает возможность оценить воздействие разных сред на одинаковые генотипы.
Однако подбор таких пар по вполне понятным причинам затруднителен, кроме того, как показывает детальный анализ, полное разлучение близнецов — это исключительно редкое явление.
Метод близнецовых семей
Третий вариант близнецового метода — метод близнецовых семей. Фактически речь идет о совмещении близнецового и семейного методов исследования.
Эта разновидность исследований позволяет разобраться с так называемыми фенокопиями, т. е. с ненаследственными изменениями фенотипа организма, при которых в фенотипе в результате необычного воздействия внешней среды развивается признак, который обычно связан с определенным геном или набором генов. Например, есть ген, вызывающий гетерохромию радужной оболочки глаз, т. е. радужные оболочки глаз отличаются по цвету.



Точно такой же признак возникает как фенокопия в результате родовой травмы при повреждении шейного симпатического сплетения. Наличие фенокопии затрудняет анализ, поскольку один и тот же признак может быть и следствием определенного генотипа, и результатом специфического воздействия внешней среды.
Могут быть как наследственные, так и ненаследственные формы болезни.
Так, заболевание краснухой во время беременности может привести к рождению глухонемых детей, причем эти аномалии неотличимы от наследственной глухонемоты.
Ненаследственная форма данного заболевания, таким образом, представляет собой фенокопию.
При близнецовом анализе случаи дискордантности могут быть обусловлены какими-то средовыми воздействиями, когда генетическая предрасположенность имеется, но средовое воздействие не дает ей проявиться и в результате этого один близнец заболевает, а другой — нет.
Однако из-за существования фенокопии существует возможность возникновения, так сказать, другого типа дискордантности.
Генетические факторы в данном случае роли не играют, просто у одного из близнецов возникает фенокопия, и эта пара, таким образом, тоже пойдет в анализ как дискордантная.
Признак может возникнуть как следствие определенного генотипа, а может появиться из-за специфического воздействия среды. Чтобы установить роль негенетических факторов и разобраться с природой конкордантности и дискордантности, применяют метод близнецовых семей.
Когда речь идет о болезни, сравнивают показатели заболеваемости у родственников конкордантных пар близнецов и родственников дискордантных пар близнецов.
Если дискордантность вызвана фенокопией, то риск заболевания у родственников дискордантных монозиготных близнецов должен быть примерно таким же, как в общей популяции.
Если дискордантность возникла из-за какого-то средового воздействия, помешавшего проявиться наследственной предрасположенности, то риск заболевания в таких семействах все равно будет выше, чем в целом в популяции.
Метод близнецовых семей можно применять и для выяснения так называемого материнского эффекта, т. е. большего влияния матери на фенотип потомков.
В основе этого явления может лежать цитоплазматическая наследственность. Митохондрии наследуются с цитоплазмой яйцеклетки, таким образом, в зиготе, возникающей после оплодотворения, все митохондрии унаследованы по материнской линии. Количество ДНК в митохондриях очень невелико, однако для некоторых признаков это может иметь значение. Еще одна причина материнского эффекта — это влияние материнского организма на плод в период внутриутробного развития.
Материнский эффект проявляется при сравнении детей в семьях, где матери являются монозиготными близнецами, с семьями, в которых монозиготными близнецами являются отцы.
С точки зрения родства такие дети являются сводными братьями и сестрами, поскольку их отцы или матери генетически идентичны. У таких детей столько же общих генов, сколько у сводных братьев и сестер, — примерно 25%. Если сходство детей выше в семьях, где матери — монозиготные близнецы, по сравнению со сходством детей из семей, где монозиготными близнецами являются отцы, то это свидетельствует о наличии материнского эффекта.
Метод контрольного близнеца
Наконец, для определения влияния средовых воздействий на развитие того или иного признака в экспериментах можно применить метод контрольного близнеца.
В экспериментальную и контрольную группы включают по одному близнецу из каждой пары. Если один близнец из пары подвергается воздействию определенного фактора, а другой служит контролем, то можно непосредственно оценить возможный вклад этого фактора в изменчивость признака.
Например, можно проверить эффективность различных тренировочных программ. Так, тренировка речевого развития в возрасте 1,5-2 лет, по Гезеллу, привела к незначительным отличиям между контрольной и экспериментальной группами близнецов, причем эта разница в последующем быстро исчезла (в течение 3 месяцев).
Особенности близнецового метода
Со временем для определения монозиготных и дизиготных близнецов стали использовать не только внешнее сходство, но и целый набор признаков.
Полисимптоматический метод учитывает цвет глаз,






волос, рисунок отпечатков пальцев (дерматоглифику), различные системы групп крови (резус-фактор), генетические маркеры.
Такой анализ важен, так как большое внешнее сходство может встречаться и у дизиготных близнецов.
Наиболее радикальный способ проверки — на тканевую совместимость.
Поскольку монозиготные близнецы обладают идентичным генотипом, у них наблюдается полная тканевая совместимость и отсутствует реакция отторжения тканей при их пересадке.
Имеется целый ряд ограничений близнецового метода, прежде всего связанных с недостаточной репрезентативностью, так как по некоторым характеристикам наблюдаются систематические отличия между близнецами и обычными людьми.
Часть отличий связана с особенностями перинатального развития (до и после рождения). Для близнецов характерен более низкий вес при рождении, больший процент мертворождений, выше смертность в раннем возрасте, больше осложнений при беременности и родах.
Систематические отличия имеются и между ди- и монозиготными близнецами.
У монозиготных близнецов наблюдается более низкий вес при рождении, чем у дизиготных близнецов.
При этом отмечаются и большие внутрипарные различия по весу (до 1000 г) между монозиготными близнецами, имеющими общий хорион.
Несколько чаще встречаются у монозиготных близнецов и пороки развития (врожденный порок сердца, гидроцефалия).
Внутрипарные различия по весу и ряду врожденных пороков у монозиготных близнецов, по-видимому, связаны с условиями внутриутробного развития и объясняются наличием общего хориона. Около 20% всех монозиготных близнецов развиваются в таких условиях, поэтому при анализе дискордантности по ряду заболеваний желательно принимать во внимание это обстоятельство.
Другая особенность близнецов (как моно-, так и дизиготных) — это сниженные значения коэффициента интеллекта, особенно в раннем возрасте.
В качестве причин этого явления обычно приводились вышеупомянутые особенности перинатального развития.
Однако, по всей видимости, основную роль играют особенности развития близнецов после рождения. Близнецы неизбежно развиваются в непрерывном контакте друг с другом. В каком-то смысле каждый из них есть часть среды другого, что особенно выражено в случае монозиготных близнецов. В результате такая замкнутость друг на друга приводит к отставанию в речевом развитии. Близнецы, в частности, дольше задерживаются на стадии примитивной синпрактической речи. В результате средние значения коэффициента интеллекта монозиготных близнецов оказываются на уровне 90-93 баллов.
Роль близнецовых взаимодействий в задержке развития была убедительно продемонстрирована, когда оценили коэффициент интеллекта у тех монозиготных близнецов, у которых второй партнер умер вскоре после рождения. В этом случае оставшийся близнец развивается без отклонений и коэффициент интеллекта оказывается практически на уровне нормы (99 баллов).
Для некоторых близнецовых пар характерно возникновение разделения ролей, например, один из близнецов в основном осуществляет контакты с внешним миром, другой может доминировать в отношениях внутри пары. Это приводит к усилению внутрипарных отличий. Для некоторых пар обнаруживаются и варианты протестного поведения, когда близнецы начинают специально демонстрировать разное поведение в ответ на стремление окружающих всячески подчеркнуть их сходство. Данное обстоятельство также может повлиять на оценки внутрипарного сходства. В связи с этим при изучении наследуемости высших психических функций рекомендуется проводить специальный анализ близнецовой среды.
Наконец, еще один источник ошибок — это то, что общая (разделенная) среда для монозиготных близнецов является более «общей». Монозиготные близнецы больше времени проводят друг с другом, с ними одинаково обращаются родители. Имеется выраженная тенденция со стороны родителей монозиготных близнецов всячески подчеркивать их сходство, одинаково одевать, обращаться и т. п. У дизиготных близнецов степень разделенное среды меньше и соответственно оценки наследуемости, полученные классическим близнецовым методом, должны быть несколько завышены. В результате коэффициенты наследуемости, полученные другими способами, например в исследованиях на приемных детях, получаются несколько ниже.
Метод приемных детей
Метод приемных детей позволяет выяснить, что больше влияет на развитие признака — генетические задатки или определенное воздействие среды.
Для этого изучают детей, принятых на воспитание в другие семьи.
В основе метода лежит сравнение их сходства с роди








телями биологическими и теми, которые их усыновили.
Сходство с биологическими родителями трактуется как свидетельство генетических влияний, сходство с приемными — как показатель влияния общей среды.
В качестве примера приведем исследование роли генотипа и среды в формировании такого признака, как коэффициент интеллекта (IQ). Было показано, что если коэффициент IQ родной матери был больше 120 баллов, то у детей этой группы, отданных на воспитание в другие семьи, впоследствии не отмечалось ни одного случая с IQ меньше 95, а у 44% детей он тоже был больше 120. Если посмотреть на коэффициент интеллекта тех приемных детей, у которых биологические матери имели IQ меньше 95 баллов, то оказывается, что в результате не было ни одного ребенка с коэффициентом интеллекта больше 120 баллов, а у 15% он был ниже 95. Такие данные свидетельствуют о большой роли генотипа в развитии этого признака.
При использовании метода приемных детей определяют корреляцию в развитии изучаемого признака между биологическими родителями и их детьми, воспитывающимися в других семьях.
Наличие сходства в развитии признака при таких условиях говорит о вкладе генотипа в развитие признака (у детей и биологических родителей 50% общих генов).
Если есть возможность, то определяют корреляцию между разлученными братьями и сестрами, отданными в другие семьи или оставшимися с биологическими родителями. Здесь тоже налицо отсутствие общих средовых влияний и сходство генотипа.
Такие же вычисления проводят в отношении приемных детей и их усыновителей.
Сходство в развитии признака в этом случае свидетельствует о большой роли средовых воздействий, поскольку общая наследственность исключена.
Еще один вариант — это сравнение приемных детей с родными детьми усыновителей. Сравнение детей, не являющихся родственниками, но воспитываемых в одной семье, дает возможность непосредственно оценить вклад общей среды в изменчивость признака, достаточно просто подсчитать коэффициент корреляции его выраженности.
Для наибольшей чистоты исследования необходимо подбирать случаи как можно более раннего усыновления, тогда воздействие другой среды будет минимальным.
Еще один возможный источник искажений при использовании этого метода связан с тем, что семьи, в которых воспитываются приемные дети, не совсем репрезентативны.
Это связано с целым рядом требований, предъявляемых к усыновителям.
Те влияния среды, которые представлены в этих семьях, характерны в основном для среднего класса, соответственно средовые воздействия в условиях экстремальной бедности и лишений остаются недооцененными. Недостаточная представленность воздействий среды, относящихся к различным факторам риска, может повлиять на результаты исследований.
Семейный (генеалогический) анализ
Этот метод основан на том простом соображении, что у родственников имеется некоторая часть одинаковых генов, поэтому можно определить генотипическую корреляцию (rg). Фенотипическую корреляцию (гр) можно установить экспериментально. Коэффициент наследуемости при этом вычисляется как отношение этих корреляций:
h2=rp/rg.
Для монозиготных близнецов генетическая корреляция равна 1. Для родства первой степени она составляет (0,5). Сюда относятся корреляция ребенок—родитель, а также корреляции между детьми одних родителей, в том числе и дизиготными близнецами.
В случае родства второй степени генетическая корреляция равна 1/4 (0,25). Это корреляция между бабушками (дедушками) и внуками, дядями (тетями) и племянниками (племянницами), сводными братьями и сестрами (для которых общим является только один родитель).
Для третьей степени родства корреляция равна 1/8 (0,125) — между двоюродными братьями и сестрами.
Еще одной принципиально важной особенностью, ограничивающей применение семейного анализа в психогенетике, является невозможность отделения генетических эффектов от средовых.
Невозможно сказать, чем объясняется сходство членов семьи, — тем, что у них схожие генотипы (частично идентичные генотипы), или же тем, что они живут в одних и тех же условиях (частично идентичные средовые воздействия).
Ответ на этот вопрос становится практически невозможен, особенно при изучении полигенных (зависящих от многих генов) признаков.
Нельзя, конечно, сказать, что семейный анализ не может ничего дать — например, отсутствие фенотипиче



ской корреляции по какому-то признаку может быть достаточно информативным. Изучение родословных в случае простых типов наследования может оказаться исключительно важным, несмотря на то что большинство психологических признаков полигенно. Тем не менее семейный анализ важен как дополнительный метод, позволяющий уточнить данные, которые получены с помощью других методов психогенетики.
Контрольные вопросы
1. Каким образом оценивается изменчивость признака?
2. Назовите компоненты фенотипической дисперсии.
3. Что такое коэффициент наследуемости?
4. Назовите компоненты средовой дисперсии.
5. В чем заключаются генотип-средовые взаимодействия (G х Е)1
6. Приведите пример взаимодействия «генотип—среда».
7. Охарактеризуйте типы корреляции «генотип—среда».
8. Приведите примеры активной и реактивной корреляции «генотип—среда».
9. Как корреляция «генотип—среда» сказывается на фенотипической изменчивости?
10.Что такое ассортативность браков? Приведите примеры.
11.В каком случае наследуемость признака будет равна нулю?
12.В каком случае наследуемость признака будет равна единице?
Если Вам понравилась эта лекция, то понравится и эта - 9. Защита информации в компьютерных системах.
13.Охарактеризуйте основную идею, лежащую в основе близнецового метода.
14.Каким образом можно оценить наследуемость с помощью близнецового метода?
15.Какие варианты близнецового метода применяются в психогенетике?
16.В чем ценность метода разлученных близнецов?
17.Перечислите основные проблемы, возникающие при применении близнецового метода.
18.Назовите преимущества метода приемных детей.
























