Передвижение воды в водоносных слоях со свободной поверхностью
Передвижение воды в водоносных слоях со свободной поверхностью.
Формула Дарси
В природе существуют два вида движения воды:
1. Ламинарное свойственно движению воды в мелкозернистых породах. Скорости движения в них невелики и измеряются метрами или даже сантиметрами в сутки.
2. Турбулентное – в крупнообломочных и трещиноватых породах, где скорости движения воды значительно больше.
В обоих случаях движение воды в водоносных слоях со свободной поверхностью совершается под влиянием гидростатического напора от мест с более высоким уровнем к местам с более низким уровнем.
В естественных условиях вода передвигается по направлению к выходам источников, к открытым водоемам, если уровень в последних стоит ниже, чем уровень воды в водоносном пласте, и, наоборот, может уходить из водоемов в грунт при обратном соотношении уровней. Движение воды в водоносном пласте может быть вызвано искусственно откачкой воды из колодца, искусственным дренажем.
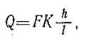
Наиболее изучен закон движения воды в мелкозернистых породах — в песках с мелкими, преимущественно капиллярными порами (Рис. 6). Движение воды в случае фильтрации подчиняется закону Дарси, выражаемому формулой

Рекомендуемые материалы
где Q — количество воды в м3/с, протекающей в единицу времени через данное поперечное сечение породы площадью F м2; К — некоторая величина, называемая коэффициентом водопроводимости или коэффициентом фильтрации; h — напор; l — длина пути фильтрационного потока в метрах.

Рис. 6. Разрез участка подземного потока.
Величина напора определяется по разности уровней в двух сечениях потока, т. е. h = H1 - H2, где H1 и H2 — высота уровней в точках А и В. Под влиянием напора вода из сечения АА1 перемещается в направлении сечения BB1.
Отношение i есть падение напора на единицу длины пути фильтрации, т. е. напорный градиент, или гидравлический уклон, и обозначается
i =h/l.
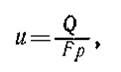
Разделив обе части равенства на площадь F, получим

где v =Q/F.
Величина v носит название скорости фильтрации.
Скорость фильтрации не является действительной скоростью движения воды в порах породы, она представляет фиктивную (приведенную) скорость движения воды. Площадь поперечного сечения потока F в формуле принята равной площади поперечного сечения породы, тогда как в действительности вода передвигается в породе только по порам и площадь сечения потока равна общей площади пор. Чтобы получить действительную скорость движения вод в порах грунта и, надо расход воды Q разделить на площадь, занятую порами, т. е.

где р — коэффициент пористости.
Действительная скорость движения воды больше скорости фильтрации (u>v), так как коэффициент пористости меньше единицы.
Коэффициент фильтрации численно равен скорости фильтрации при i = l и может быть выражен в см/с, м/сут и т. п. (Табл. 1).
Коэффициент фильтрации может быть определен путем лабораторного анализа в специальных приборах, загруженных испытуемым грунтом, а также на основании механического анализа грунта с последующим применением эмпирических формул расчета.
Таблица 1
Ориентировочные значения коэффициента фильтрации рыхлых горных пород
| Порода | Коэффициент фильтрации, м/сут | Порода | Коэффициент фильтрации, м/сут |
| Глина Суглинок легкий Супесь Лёсс | 0,001 0,05—0,10 0,10—0,50 0,25—0,50 | Песок мелкозернистый Песок крупнозернистый Гравий Галечник | Лекция "6.5 Художественная культура" также может быть Вам полезна. 1—5 20—50 20—150 100—500 |
Установлено, что коэффициент фильтрации зернистых грунтов зависит от величины пористости, действующей величины зерен грунта и вязкости фильтрующейся воды, которая в свою очередь зависит от температуры воды. Все эти величины в явном или скрытом виде входят в предложенные эмпирические формулы расчета коэффициента фильтрации.





















