Опиоиды
ОПИОИДЫ
1. Классификация.
2. Фармакокинетика и фармакодинамика опиоидов.
3. Терапия боли.
4. Интратекальное и эпидуральное применение опиоидов.
5. Действие опиоидов на органы и системы.
6. Характеристика отдельных препаратов.
Рекомендуемые материалы
7. Типы опиатной рецепции.
8. классификация опиоидов по их активности.
ОПИОИДЫ
Опиоидные анальгетики – препараты, которые действуют на специфические опиоидные рецепторы ЦНС. Термин «опиоиды» был официально признан в 1983 г. Большинство из них обладают анальгетическими свойствами. Название «опиоиды» иногда заменяют термином «наркотики», что неправомочно, так как подразумевает, что препарат является производным опиума, тогда как в настоящее время в анестезии используется множество синтетических и полусинтетических препаратов (диаморфин, фентанил).
Опиаты – термин отностися ко всем производным опиоида (в т.ч. и к алкалоидам).
Опиоиды – термин применим ко всем производным опиума: эндогенным и экзогенным, естественным и искусственным, синтетическими субстанциями, которые обладают морфиноподобными свойствами.
Точный, так сказать генерический термин для соединений данного класса – это опиоиды.
КЛАССИФИКАЦИЯ
НАИБОЛЕЕ ЧАСТО ИСПОЛЬЗУЕМЫХ ОПИОИДОВ
1.ОПИОИДЫ- АГОНИСТЫ:
Препараты, которые взаимодействуют со специфическими опиодными рецепторами ЦНС и в других областях (ЖКТ) и вызывают доз-зависимые, тропные и агонистические эффекты, т.е. увеличение характерного эффекта:
а) Натуральные алкалоиды опия: морфин, кодеин, папаверин, тебаин.
б) Полусинтетические алкалоиды опия: диаморфин (героин), бупренорфин (дериват тебаина)
в) Синтетические опиоиды: фентанил, альфентанил, суфентанил (фенилпиперидин)

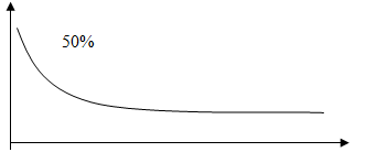
0 увеличение дозы ( концентрация)
Рис. 1 Кривая, характерная для опиоидного агониста (max-реакция характерна для полного агониста)
Примечание: *-анальгезия, **-легкая боль, ***-умеренная боль,
****-сильная боль, *****-мучительная боль.
Состав сырого опиума (смесь из 25 алкалоидов)
Наиболее значимые в %: Морфин – 9-17%
Носкапин – 2-9%
Кодеин – 0,3-4%
Тебаин – 0,5- 2%
Папаверин – 0,5-2,5%
2. ЧАСТИЧНЫЕ ОПИОИДНЫЕ АГОНИСТЫ:
Препараты, оказывающие морфиноподобное действие в малых концентрациях, но при определенной концентрации препарата морфиноподобное действие достигает пика, после которого следует плато и увеличение дозы не оказывает большего эффекта ( в отличие от доз – зависимых эффектов агонистов).
NB !!! Совместное введение частичных агонистов (бупренорфин – частичный агонист m- рецепторов) и полных агонистов (пр. морфина) снижает (антагонизирует) еффект для полных агонистов.

Рис.2 Кривая, характерная для частичного агониста.
3. ОПИОИДЫ АГОНИСТЫ - АНТАГОНИСТЫ:
Препараты, оказывающие агонистическое действие на один тип рецепторов и антагонистическое на другие типы опиоидных рецепторов, в низких концентрациях вызывают морфиноподобные эффекты, но с увеличением концентрации антагонизируют морфиноподобному эффекту (пентазоцин, налбуфин) – устраняет нарушение дыхания благодаря антагонизму к m-рецепторам, но обеспечивает аналгезию как частичный агонист по отношению к k-рецепторам.
Н-р: налбуфин обладает агонистическим действием в каппа- рецепторах и антагонистическим в m- рецепторах.

4. ОПИОИДНЫЕ АНТАГОНИСТЫ:
Препараты, также взаимодействующие (связывающие) опиоидные рецепторы, но оказывающие антагонистическое по отношению к морфиноподобным эффектам действие (налоксон, налорфин, леваллорфан), т.е. увеличение концентрации препарата – антагониста приводит к эффекту, обратному морфину.

Рис. 4 Кривая, характерная для опиоидного антагониста.
ОПИОИДНЫЕ РЕЦЕПТОРЫ – участвующие в передаче анальгезии, и других эффектов которые в большой плотности находятся в околоводопроводной области и в желатинозной субстанции спинного мозга.
Также существуют участки для ряда эндогенных полипептидов (энкефалины и эндорфины), которые обладают анальгетическими свойствами, сходными с экзогенными опиоидами. Энкефалины находятся в большом количестве в центральном сером веществе ствола мозга и в областях спинного мозга. В–эндорфины - более крупные молекулы, обладают более длительным действием, в большом количестве находятся в гипофизе.
В настоящее время установлено пять типов опиоидных рецепторов:
1. μ (мю) - (мю-1, мю-2)
2. δ (дельта).
3. k (каппа).
4. ξ (эпсилон).
5. σ(сигма).
КЛАССИФИКАЦИЯ И ХАРАКТЕРИСТИКА ОПИОИДНЫХ РЕЦЕПТОРОВ:
| ТИП РЕЦЕПТОРОВ | Прототип | СТИМУЛЯЦИЯ ПРИВОДИИТ К СЛЕДУЮЩИМ ЭФФЕКТАМ | |
| Экзогенный | эндогенный | ||
| μ -1. | Морфин | b-эндорфин | Анальгезия (супраспинальная и спинальная), эйфория, физическая зависимость с характерными признаками отмены, каталепсия, подавление выработки тестостерона, миоз, морфин-индуцированная гипотермия. |
| μ -2. | Морфин | b-эндорфин | Депрессия дыхания, угнетение перистальтики кишечника, морфин- вызываемая брадикардия. |
| к (каппа) | Кетоциклазин | Динорфин | Анальгезия (спинальная), незначительная депрессия дыхания, дисфория, седация, миоз. |
| σ (сигма) | N-аллилнорметазоцин | - | Спинальная анестезия (слабая), супраспинальная анальгезия (только в очень высоких дозах, на термальную боль не действует), гипертермия, гипотензия, тахикардия, тошнота, тахипное (респираторная стимуляция), галлюцинации, дисфория, высвобождение гормона роста, мидриаз. |
| δ (дельта) | Энкефалин | Анальгезия (спинальная + слабая супраспинальная), судорожная активность, тахипноэ, мании. | |
| ξ (эпсилон) | b-эндорфин | При акупунктуре и выраженном стрессе. |
NB !!! Пример: А) m-рецепторы – их активация обеспечивает аналгезию главным образом на супраспинальном уровне (т.е. супраспинальная аналгезия).
В) Спинальная аналгезия обусловлена в основном активацией d- и k-рецепторов.
ОПИОИДЫ
ДОЗЫ И (ОТНОСИТЕЛЬНАЯ) МОЩНОСТЬ
| ПРЕПАРАТ | ОТНОШЕНИЕ К РЕЦЕПТОРАМ | ОТНОСИТЕЛЬНАЯ МОЩНОСТЬ | АНАЛЬГЕТИЧЕСКАЯ ДОЗА |
| Морфин | агонист | 1 | 10 мг. |
| Меперидин | - | 0.1 | 100 мг. |
| Фентанил | Агонист - полусинтетик | 100 | 100 мкг. |
| Суфентанил | Агонист - полусинтетик | 500 | 10 – 20 мкг. |
| Алфентанил | Агонист - полусинтетик | 10 - 20 | 500 – 1000 мкг. |
| Пентазоцин | Агонист - антагонист | 0,3 – 0,5 | 30 – 50 мг. |
| Буторфанол | - | 5 | 2 – 3 мг. |
| Налбуфин | Агонист - антагонист | 1 | 10 мг. |
| Бупренорфин | Частичный агонист | 30 | 0,3 мг. |
ВОЗДЕЙСТВИЕ ОПИОИДОВ
НА ОСНОВНЫЕ ВИДЫ ОПИОИДНЫХ РЕЦЕПТОРОВ
| ОПИОИД | ТИП ОПИОИДНОГО РЕЦЕПТОРА | |||
| μ | k | Σ | δ | |
| МОРФИН | Ag | Ag | - | |
| ФЕНТАНИЛ | Ag | Ag | - | |
| АЛФЕНТАНИЛ (РАПИФЕН) | Ag | Ag | - | |
| ПЕНТАЗОЦИН (ФОРТРАЛ) | Ant | PAg | -,Ag | Ag |
| БУПРЕНОРФИН | pAg | ? | - | |
| НИКОМОРФИН (ВИЛАН) | Ag | Ag | - | |
| МЕТАДОН | Ag | Ag | - | |
| ТРАМАЛ | Ag | Ag | - | |
| НАЛОКСОН (НАРКАН) | Ant | Ant | Ant | Ant |
| НАЛБУФИН (НУБАИН) | Ant | PAg | Ag,- | Ag |
| ЭНКЕФАЛИНЫ | Ag | - | - | Ag |
| ЭНДОРФИНЫ | Ag | Ag | - | Ag |
Ag- агонист, pAg- частичный агонист, Ant- антагонист
ФАРМАКОКИНЕТИКА И ФАРМАКОДИНАМИКА ОПИОИДОВ.
Хотя тип рецептора и определяет клинические эффекты опиоидов, но существенное влияние на мю-агонисты оказывают фармакокинетические и фармакодинамические факторы. Начальное распределение опиоидов в ЦНС в первую очередь зависит от : - степени ионизации препарата; -от жирорастворимости неионизированной фракции.
Препараты с плохой растворимостью в липидах (морфин) достигают рецепторов намного медленнее, чем высокожирорастворимые (фентанил), поэтому нерастворимые и плохорастворимые в жирах препараты имеют медленное начало действия. Также для них характерно то, что их концентрация в ЦНС снижается медленно вследствие особенностей их элиминации из организма посредством метаболизма и экскреции. Т.е. нежирорастворимые препараты имеют замедленное начало действия и пролонгированный эффект. В противоположность – жирорастворимые опиоиды с коротким распределительным временем действуют быстро (начало д-я короткое), т.к. препарат быстро достигает ЦНС, проходя вдоль высокого начального концентрационного градиента кровь-мозг. Длительность их действия на ЦНС мала вследствие уменьшения концентрации в ЦНС и крови из-за быстрого перераспределения к другим тканям, богатым сосудами. Однако при применении высоких доз жирорастворимых опиоидов, их концентрация в ЦНС (крови), а, следовательно, клинический эффект, связаны с элиминацией препарата (Т½ В).
Вообще обычно:
1.Длительность эффекта на ЦНС соотносима с Т½ А (периодом полураспределения);
2.Длительность действия препарата в организме и связанные с ним эффекты соотносимы с Т½В (периодом полувыведения).
Важно также то, что во время общей анестезии, вызывающей депрессию печеночного кровотока и некоторое нарушение печеночного клиренса, может иметь место нарушение печеночной экскреции опиоидов. На клиническое действие влияет наличие метаболитов опиоидов: активные из них - морфин–6глюкуронид (в н.у. быстро экскретируется с мочой (является водорастворимым), но может накапливаться в значительных количествах у больных с почечной недостаточностью, и это может привести к пролонгированию их действия). Наиболее высокий процент накопления после орального применения.
N.B. !!! Способность препарата (опиоида) диффундировать к рецепторам ропорциональна его растворимости в липидах и концентрационному градиенту неионизированной и связанной форм молекул.
Ведущие факторы при движении молекул препарата из крови в ткани:
а) концентрационный градиент
б) тканевая растворимость (коэффициент растворимости кровь/ткань)
! Данные имеют ведущее значение при быстром в/в введении (при медленном в/в введении ведущее значение приобретают физико-химические свойства препарата). Неионизированная форма преимущественно жирорастворима, а ионизированная водорастворима. Так, что рКа – фактор, определяющий активность опиоидов. РКа опиоидов варьирует с 6,5 для альфентанила (слабая кислота) до более чем 9,0 для метадона (сильное основание). 89% альфентанила – неионизированы и только 1% метадона также неионизирован при рН 7,4.
Связь с белками плазмы обычно повышается при повышении рН плазмы. Чем более молекула липофильна, тем менее она будет связываться с крупными белками плазмы. В основном, большинство опиоидов липофильны (в связи с липофильностью их неионизированной формы), исключая морфин и гидроморфин, которые гидрофильны, всвязи с чем уравновешивание через биологические мембраны происходит очень медленно.
ФАРМАКОКИНЕТИКА И ФАРМАКОДИНАМИКА ОПИОИДОВ:
| ПРЕПАРАТ | Т ½ α | Т ½ β | ВРЕМЯ ДО ПИКА ДЕЙСТВИЯ В ЦНС | СВЯЗЬ С БЕЛКАМИ ПЛАЗМЫ | К α |
| Мин. | Час. | Мин. | ~% | ||
| Морфин | 9-19 | 3-4,5 | 30 | 26-36 (25-35%) | 7,9 |
| Меперидин | 7-17 | 3-4 | 15 | 58-82 | 8,5 |
| Фентанил | ~13 | 4-7 | 5-7 | 79-87 (» 80%) | 8,4 |
| Суфентанил | 10-13 | 2,5 | 3-4 | 93 | 8,0 |
| Алфентанил | 10-13 | 1,5 | 1-2 | 89-92 | 6,5 |
ФИЗИКО-ХИМИЧЕСКИЕ СВОЙСТВА НЕКОТОРЫХ ОПИОИДОВ
| ОПИОИД | Типичная доза в/в мг | Процент неионизированной фракции при рН 7,4 | Процент фракции, не связанной с белками | Коэффициент растворимости при рН 7.4 | Клиренс среднее значение (л/мин.) |
| Pethidine | 100 | 24 | 60 | 21 | 0,4-0,8 |
| Morphine | 10 | 5 | 80 | 1 | 0,8-1.2 |
| Methadone | 10 | 1 | 10 | 115 | 0.1-0,2 |
| Alfentanil | 0.5 | 89 | 10 | 130 | 0,2-0,6 |
| Fentanil | 0,1 | 9 | 20 | 950 | 0,8-1,3 |
| Sufentanili | 0,02 | 20 | 10 | 1730 | 0,5-1,0 |
| Naloxone | - | 72 | - | 34 | - |
ЭНДОГЕННЫЕ ОПИОИДЫ
Существуют четыре семейства эндогенных опиоидов: 1-3 семейства - у человека, 4-е у земноводных.
1-е семейство (β- эндорфины, в гипофизе) имеет больше сродство к мю- рецепторам (мю > сигмы, но не каппа);
2-е семейство (энкефалины, в сером веществе спинного мозга) больше сродство к сигма ( сигма > мю > каппа);
3-е семейство (динорфины ) больше сродство к каппа (каппа > мю > сигма);
4-е семейство – у земноводных (деморфины) – очень мощные, по сравнению с морфином, - более чем в 2000-5000 раз.
β-(бетта)эндорфины выделяются передним гипофизом (вместе с АКТГ) в ответ на повреждение или стресс. При в/в введении их мощность в 3- 4 раза больше морфина и анальгезия длится несколько часов, так как эти пептиды устойчивы к действию пептидаз. Энкефалины неустойчивы к их действию, поэтому анальгезия короткая.
КЛИРЕНС ОПИОИДОВ.
Высокий – фентанил, морфин, пентазоцин, налбуфин, буторфанол, бупренорфин.
Средний - петидин, суфентанил, алфентанил.
Низкий – метадон.
ТЕРАПИЯ БОЛИ.
МЕСТА ПРИЛОЖЕНИЯ ПРЕПАРАТОВ, ПРИМЕНЯЕМЫХ ДЛЯ КУПИРОВАНИЯ БОЛИ:
| Ноцицепторы | Нестероидные противовоспалительные препараты (кетанов, диклофенак) |
| Стимуляторы Аβ- волокон | Чрезкожная нервная стимуляция |
| Первичные ноцицептивные афферентные нейроны | Локальные анестетики |
| Дорзальные рога спинного мозга | Опиоиды, трициклические антидепрессанты, серотонин, кетамин |
| Высшие центры | Психологические состояния (эндорфины), плацебо (эндорфины), опиоиды, адренергические медиаторы |
| Тип волокон | Скорость проведения (м/с) | Диаметр (мкм) | Характеристика |
| Аα | 60-120 | 12-22 | Мышечные движения, быстрая сенсорная проводимость от мышц и сухожилий |
| Аβ | 50-70 | 4-12 | Ощущение прикосновения, вибрации,легкое давление. |
| Аγ | 35-70 | 4-12 | Интрафузальная проприоцепция |
| Аδ | 10-25 | 4-12 | Локализованная острая боль, чувство тепла, механическое повреждение |
| В | 3-30 | 1,5-4 | Вегетативная преганглионическая ноцицептивная афферентная – холод, механическое повреждение, хим. воздействие (стимуляция ) |
| С | < 3 | < 1,5 | Вегетативная постганглионарная -тупая боль. |
СРАВНЕНИЕ ДЕЙСТВИЯ И ЭФФЕКТИВНОСТИ ОПИОИДОВ И ЛОКАЛЬНЫХ АНЕСТЕТИКОВ ПРИ СПИНАЛЬНОМ ВВЕДЕНИИ
| 1. ДЕЙСТВИЕ: | ОПИОИДЫ | ЛОКАЛЬНЫЕ АНЕСТЕТИКИ |
| А) участок действия | Sub. Gelatinoza дорзальных рогов спинного мозга (также другие участки, имеющие опиоидные рецепторы – пери-акведуктальное серое вещество среднего мозга) | Нервные корешки и длинные тракты в спинном мозге |
| Б) тип блокады | Пресинаптическое и постсинаптическое угнетение возбуждения нейронных клеток (вероятно, через угнетение высвобождения субстанции Р*) | Блокада проводимости нервных импульсов в аксональной мембране (локальные анестетики разрывают аксональную проводимость посредством уменьшения частоты и степени деполяризации периферических нервов) |
| В) характеристика блока | “селективная” блокада болевой проводимости | Блокада симпатических и болевых волокон, зачастую также с потерей чувства осязания и двигательной функции |
| 2. ЭФФЕКТИВНОСТЬ (характеристика боли) | ОПИОИДЫ (эффективность блокады) | ЛОКАЛЬНЫЕ АНЕСТЕТИКИ (эффективность блокады) |
| А) Хирургическая боль | Частичное купирование | Возможно полное купирование |
| Б) Боль при родах | Частичное купирование | Полное купирование |
| В) Послеоперационная боль: -ранняя послеоперационная боль (первые 24 часа) -поздняя послеоперационная боль (более чем 24 часа) | Купирование (в высоких дозах) Неплохое купирование (низкие дозы) | Полное купирование Полное купирование |
| Г) Хроническая боль | Хорошее купирование | На практике мало пригодно |
ДОПОЛНЕНИЕ: Допамин усиливает анальгезию.
Норадреналин ослабляет анальгезию.
Клонидин (клофелин) системно и эпидурально вызывает и потенцирует анальгезию.
При эпидуральном введении угнетает высвобождении субстанции “Р” в дорзальных рогах. При системном введении потенцирует анальгезию, действуя супраспинально (посредством стимуляции “locus coeruleus”).
ИНТРАТЕКАЛЬНОЕ И ЭПИДУРАЛЬНОЕ ПРИМЕНЕНИЕ ОПИОИДОВ.
Два основных анатомических региона приложения анальгезии, опосредуемой через опиоидные рецепторы: головной и спинной мозг. Контроль супраспинальной ноцицептивной импульсации осуществляется периакведуктальным серым веществом среднего мозга (мю- и сигма- рецепторы). Основным участком действия интраспинально-применяемых опиоидов является пре- и постсинаптические рецепторы в желатинозной субстанции дорзальных рогов спинного мозга.
Опиоиды подавляют проводимость боли посредством угнетения возбуждения нейрональных клеток (вероятно, препятствуя высвобождению субстанции “Р”- мощного медиатора ноцицептивных импульсов). С-волокна легче блокируются опиоидами, чем А-сигма волокна, следовательно, спинально назначаемые опиоиды легче купируют “тупую “, чем “острую” боль.
Примечание:
С (ø <=1,5 мкм) – немиелинизированные волокна, отвечают за “тупую” боль.
А-δ (ø = 4-12 мкм) – миелинизированные, отвечают за “острую” боль.
С волокна оканчиваются в lamina II dorsolateral. tract (Lissauer΄s tract);
А-δ волокна оканчиваются в lamina 1 ,V. dorsolateral. tract
ФАКТОРЫ, УЧИТЫВАЕМЫЕ ПРИ НАЗНАЧЕНИИ ОПИОИДОВ
(ДЛЯ УМЕНЬШЕНИЯ РИСКА ПОСЛЕОПЕРАЦИОННОЙ ДЕПРЕСИИ ВЕНТИЛЯЦИИ)
1. Возраст – у пожилых повышенная чувствительность.
2. Длительность хирургического вмешательства – длительность действия выбранных опиоидов должна быть больше длительности хирургического вмешательства.
3. Назначение других депрессантов – анестетики и седативные могут потенцировать депрессию дыхания.
4. Легочные заболевания – депрессивное действие опиоидов на дыхательный центр может усугубить ДН. Противокашлевое действие (подавление кашлевого рефлекса) может ухудшить в послеоперационном периоде мукоцилиарный клиренс. Особое внимание следует уделить больным с хроническими заболеваниями дыхательных путей, с ожирением, ограниченной легочной экспансией (резко выраженный кифоз), т. к. назначение опиоидов у этих больных может вызвать ДН.
5. Эндокринная патология – повышена чувствительность к опиоидам у больных с гипотиреозом, болезнью Адиссона.
6. Патология печени – повышенная чувствительность к опиоидам у больных с циррозом печени и инф. гепатитом (ограничение метаболизма препарата).
7. Внутричерепная патология – назначение опиоидов может смазать клиническую картину и затруднить оценку. В связи с гиперкапнией, может вызвать повышение ВЧД. Снижает кровоток и уровень метаболизма в ЦНС.
8. Дополнительные данные: повышена чувствительность у следующих групп - слабоумие, прогрессирование злокачественного процесса, хронические инф. заболевания.
ДЕЙСТВИЕ ОПИОИДОВ НА ЦНС.
1. Анальгезия: вызванная опиоидами анальгезия оставляет нетронутыми другие сенсорные и моторные функции.
Больной может ощущать стимуляцию, но воспринимать ее как менее болезненную либо совсем безболезненную.
2. Эйфория (дисфория): при назначении опиоидов больным без болевого синдрома возникает скорее дисфория, чем эйфория.
3. Седация.
4. Бессознательность (анестезия). Непредсказуемо вызывается при высоких дозах опиоидов даже у молодых пациентов.
У критических больных опиоиды могут быть использованы в качестве единственного анестетика, но более типично
добавление ингаляционных и внутривенных анестетиков для облегчения общей анестезии.
5. Миоз.
6. Депрессия кашлевого рефлекса.
7. Судороги мало вероятны даже при применении больших доз опиоидов. Исключение составляет меперидин, который метаболизируется до нормеперидина (стимулятора ЦНС).
8. Тошнота и рвота: рвотные рефлексы, вызванные опиоидами, обусловлены стимуляцией хеморецепторов тригерной зоны, особенно у амбулаторных больных (возможно, задействован вестибулярный компонент). В равных анестетических дозах вероятность возникновения рвоты характерна для всех опиоидов. Высокие дозы опиоидов могут вызвать угнетение рвотного центра, что преобладает над стимуляцией хеморецепторов тригерной зоны.
КАРДИОВАСКУЛЯРНЫЕ ЭФФЕКТЫ ОПИОИДОВ:
- Брадикардия – обусловлена стимуляцией ядра n.vagus в продолговатом мозгу;
- Артериальная и венозная дилятация (ортостатическая гипотензия);
- Высвобождение гистамина;
1. Относительная устойчивость ССС и миокарда к высоким дозам опиоидов (исключая меперидин, имеющий негативный инотропный эффект даже в дозе 2 –2,5 мг/кг) - одна из причин использования опиоидов при анестезии у больных, подверженных возможной СС – депрессии, обусловленной газовыми анестетиками.
2. Назначение морфина, особенно быстрое введение, может вызвать освобождение гистамина (не характерно для фентанила и суфентанила).
ДЫХАТЕЛЬНЫЕ ЭФФЕКТЫ:
1. Повышение РаСО2
2. Уменьшение ЧД
3. Повышение ДО
4. Уменьшение МВЛ.
5. Снижение дыхательного ответа на СО2 (депрессия ствола мозга).
Все опиоидные агонисты вызывают доз – зависимую депрессию вентиляции (пик и длительность депрессии дыхания определяются фармакокинетикой каждого препарата). Например: пик депрессии дыхания, вызываемой в/в введением фентанила, возникает на 5- 10 мин (30 – 60 мин. для морфина). Коротко действующие опиоиды (фентанил) более применимы в качестве в/в опиоидов, т.к. они не вызывают длительной депрессии вентиляции. Депрессия вентиляции особенно выражена у пожилых и при совместном назначении других депрессантов ЦНС. Болевой раздражитель уменьшает выраженность угнетения дыхания, также уменьшает депресию дыхания, двигательные тактильные раздражители, но в ближайшем послеоперационном периоде. При устранении этих факторов (боль, движение) может возникнуть гиповентиляция.
ГЕПАТОРЕНАЛЬНЫЕ И ГАСТРОИНТЕСТИНАЛЬНЫЕ ЭФФЕКТЫ:
1. Хирургическая стимуляция (стресс) вызывает высвобождение ADH (antidiuretic hormon), приводящую к уменьшению мочеобразования, тогда как опиоиды блокируют это высвобождение.
2. Опиоиды могут вызвать задержку мочи.
3. Спазм сфинктера Одди, вызванный опиоидами, может вызвать боль, имитирующую стенокардию, может препятствовать визуализации контрастного вещества (непоступление контраста в duodenum) во время холангиографии, что может обусловливать ошибочное мнение о блокаде желчного протока конкрементами.
NB!! : - фармакологическая диагностика между спазмом сфинктера Одди, вызванным опиоидами и стенокардией –налоксон снимает биллиарную колику, обусловленную опиоидным спазмом сфинктера, но не влияет на angina pectoris, тогда как нитроглицерин снимает боль в обоих случаях.
4. Угнетение перистальтики желудка и кишечника - вызывает задержку опорожнения желудка, что повышает риск аспирации желудочного содержимого.
ЭНДОКРИННЫЕ ЭФФЕКТЫ: Высокие дозы опиоидов используются в анестезии для смягчения или блокады метаболического стресса в ответ на хирургическое вмешательство.
РЕПРОДУКТИВНЫЕ ЭФФЕКТЫ: Опиоиды не тератогенны. Морфин вызывает неонатальную депрессию, обусловленную повышенной проницаемостью ВВВ для морфия.
СКЕЛЕТНАЯ МУСКУЛАТУРА:
1. Все опиоиды (особенно фентанил и его аналоги) при в/в введении высоких доз (фентанил: 8мкг/кг)вызывают ригидность скелетной мускулатуры, особенно грудной клетки и живота. Ригидность скелетной мускулатуры проявляется как во время операции, так и в послеоперационном периоде.
2. Ригидность скелетной мускулатуры усугубляется добавлением N2О, либо быстрым введением опиоидов.
3. Ригидность торса может вызвать проблемы с вентиляцией (затруднена, неэффективна, невозможна), что требует применение миорелаксантов. Попытки обеспечить вентиляцию (при ригидности грудной клетки), используя высокие уровни положительного давления, могут привести к раздуванию желудка, что препятствует венозному возврату и развивается гипотензия.
ТОКСИКОЛОГИЯ:
Передозировка опиоидов => кома, миоз, депресия вентиляции. Смерть маловероятна, если вовремя предотвратить депресию вентиляциии и связанную с этим гипоксемию.
Лечение передозировки: ИВЛ с О2, налоксон 0,2-0,4 мг в/в каждые 2 – 3 мин до тех пор, пока у больного не восстановится дыхание. Также при передозировке опиоидами могут быть отек легких и судороги. Аллергические реакции не характерны (вероятно, обусловлено сходством с эндорфинами). Редко в месте иньекции – крапивница, гиперемия; изредка – пузыри
(вследствие местного высвобождения гистамина).
МОРФИН
(дураморф, астроморф) - высушенный сок незрелых головок мака.
Применение: премедикация, анальгезия, купирование боли ЦНС, анестезия либо диспное, обусловленное отеком легких и левожелудочковой недостаточностью.
Дозы: - анальгезия: в/в: 2,5-15 мг, дети - 0,05- 0,2 мг/кг (мах.15 мг),
в/м, п/к: 2,5-20 мг (дети 0,05-0,2 мах 15 мг)
per os: 10-30 мг каждые 4 часа при необходимости
ректально: 10-20 мг каждые 4 часа,
в/суст: 0,5-1 мг растворить в 10 мл 0,9% NaCl, либо 0,0625 – 0,25 % бупивакаина
спинально: 4-20 мкг/кг.
эпидурально: 2-5 мг; (40-100 мкг/кг) растворить в 10 мл свободного от консервантов физ. раствора, либо в р-ре лок. анест.
NB! – ОТЕК ЛЕГКИХ: в/в 0,05 – 0,1мг/кг, при необходимости добавить диуретики.
Элиминация: печеночный метаболизм.
Хранение: при комнатной температуре, защита от света и замораживания
Фармакология: действует на ЦНС и органы, содержащие гладкую мускулатуру, вызывает анальгезию, сонливость, эйфорию, доз-зависимую депрессию дыхания, изменение адренокортикального эффекта на стресс, уменьшение ОПС с незначительным воздействием на сердечный выброс. Терапевтический эффект при отеке легких - вторичный, вследствие увеличения емкости сосудистого русла. Эффект запора обусловлен нейро-пульсивными влияниями, т.е. против перистальтики ЖКТ.
Морфин (как и другие опиоиды), способен вызвать спазм желчных путей (сф.Одди) и повысить общее давление в желчных протоках. Угнетение кашлевого рефлекса - вследствие прямого воздействия на кашлевой центр. Морфин угнетает мозговой метаболизм, ВЧД. Высвобождение гистамина вызывает зуд после системного назначения. Интра-артикулярная анальгезия возникает в связи со связыванием остаточных рецепторов синовиальных оболочек. Постоянная “тупая” боль купируется легче, чем “острая” перемежающаяся.
Фармакокинетика:
Начало действия: в/в меньше 1 мин., в/м – 1-5 мин, эпидурально – 15- 60 мин.
Пик действия на ЦНС – 20 –30 мин.
Пик : при в/в ≈ 20 мин, в/м – 30 – 60 мин, п/к – 50 – 90 мин, per os – 30 – 60 мин, ректально – 20 – 60 мин, эпидурально, спинально – 90 мин.
Длительность действия: при в/м, п/к, в/в введении ≈ 4 часа (2 - 7 часов), при эпидуральном или спинальном – 6-24 часа.
Взаимодействие и токсичность: Угнетающее действие на ЦНС и кровообращение потенцируется алкоголем, наркотиками, антигистаминными препаратами, фенотиазидами, бутерофенонами, ингибиторами МАО, ТЦА.
! Морфин уменьшает действие диуретиков у больных с сердечной недостаточностью. Анальгезия, вызываемая морфином, усиливается и удлиняется α2- миметиками (адреналин, клофелин). Добавление эпинефрина к морфину при интратекальном
(эпидуральном ) применении повышает выраженность побочных эффектов и пролонгирует двигательный блок.
Руководство к применению:
1. Доза уменьшается у пожилых, гиповолемичных и хирургических больных, а также при сопутствующем применении седативных и др. наркотических препаратов.
2. Наркотический антагонист – налоксон (специфический антидот морфина). Доза: в/в 0,2–0,4мг и больше (титровать), однако отмена наркотического действия налоксона может снова привести к боли.
3. Спазм желчных путей может быть купирован налоксоном (в/в или в/м 0,2 – 0,4 мг), либо глюкагоном (0,25 мг).
4. Морфин проникает через плацентарный барьер и его применение в родах может вызвать угнетение дыхания у новорожденного.
5. Эпидуральное или спинальное применение морфина может вызвать реактивацию вируса herpes symplex (раздражение сенсорных нервов).
6. Нежелательные побочные эффекты при эпидуральном или в/в применении следующие: -отсроченное угнетение дыхания (до 16 – 24 часов) даже после однократной дозы, -зуд, -тошнота, -рвота, -задержка мочи.
7. Анестетические дозы морфина уменьшают эффект окситоцина.
ОСНОВНЫЕ ПОБОЧНЫЕ ЭФФЕКТЫ:
ССС: гипо- или гипертензия, брадикардия, аритмия.
Дыхание: бронхо- или ларингоспазм.
ЦНС: нарушение зрения, эйфория, дисфория.
Мочеполовая система: задержка мочи, спазм уретры (антидиуретический эффект).
ЖКТ: спазм желчных ходов, запоры. Тошнота, анорексия, рвота.
Мышечная система: ригидность мышц.
Аллергические реакции: зуд, сыпь.
ФЕНТАНИЛ
Применение: анальгезия.
Дозы: в/в, в/м – 25 – 100 мкг (0,7 – 2 мкг/кг), эпидурально: болюс – 1-2 мкг/кг растворить в 10 мл. физ. раствора, либо в растворе локального анестетика.
Индукция: эпидурально – 0,5-0,7 мкг/кг/час; спинально – болюсно 5- 20 мкг (0,1-0,4 мкг/кг),
В/в регионарная блокада: добавить 50 мкг (1 мкг/кг) фентанила к раствору локального анестетика(лидокаина,бупивакаина).
Блокада плечевого сплетения: добавить 50 – 100 мкг (1 – 2 мкг/кг) к 40 – 50 мл (0,5 –0,7 мл /кг) ЛА.
Элиминация: печень, легкие.
Форма выпуска: по 50 мкг в 1 мл. (амп. 0.005% - 1мл.)
Хранение: при комнатной температуре, в защищенном от света месте.
Фармакология: Производное фенилпиперидина, мощный опиоидный агонист. Быстрое начало и короткая длительность действия обуславливаются высокой жирорастворимостью (N – октановый коэф. растворимости фентанила при рН 7,4 = 950. (в сравнении: для морфина = 41)). Быстро покидает кровоток и легко растворяется в тканях.
Метаболизм: в печени, посредством диалкилации метаболизируется до норфентанила, который не обладает анальгетическими свойствами. Экскреция с мочой. Период полураспада и полувыведения удлиняется при заболеваниях печени и у пожилых, когда метаболизм ограничен.
Действие на ССС: Минимальное в дозах до 5 мкг/кг. Может вызвать незначительное снижение АД и ЧСС. Кардиостабилен. Однако при совместном назначении с другими препаратами (N2O, бензодиазепины) могут быть значительные гемодинамические нарушения.
ЦНС: снижается уровень метаболизма, мозгового кровотока, ВЧД. Усиливает действие локальных анестетиков при блокадах периферических нервных волокон. В комбинации с дроперидолом вызывает НЛА.
Дыхательная система: Вызывает доз-зависимое угнетение дыхания, которое может длиться дольше, чем анальгезия. Угнетение дыхания может иметь двухфазный характер, - второй пик депрессии дыхания возможен спустя 2 – 4 часа после введения фентанила.
Метаболический ответ на травму: В высоких дозах (50 мкг/кг) полностью блокирует эндокринный и метаболический ответ на травму. Однако глубокая и длительная депрессия дыхания в таких дозах требует ИВЛ в послеоперационном периоде. Мышечная ригидность при в/в введении обычно распространяется на грудную клетку и живот, но также на мышцы конечностей и подбородок. Эти проявления возможны при применении высоких доз фентанила (15 – 20 мкг/кг), купируются миорелаксантами.
Фармакокинетика:
Начало действия: в/в -30 сек, в/м – меньше 8 мин, эпидурально (спинально) - 4 – 10 мин, трансдермально – 12 – 18 часов
Пик эффекта: в/в – 5 –15 мин, в/м – меньше 5 – 15 мин, эпидурально (спинально) – 30 мин.
Длительность действия: в/в 30 –60 мин, в/м 1 –2 часа, эпидурально (спинально) – 1 – 2 часа, трансдермально – 3 дня
Токсичность и взаимодействие: Депрессия вентиляции и кровообращения потенцируется наркотиками, седативными, дыхательными анестетиками. Депрессия дыхания потенцируется амфетаминами, ингибиторами МАО, фенотиазидами и ТЦА. Анальгезия потенцируется и удлиняется α2 – агонистами, т.е. эпинефрином и клонидином. Добавление эпинефрина повышает токсические и побочные эффекты, удлиняет двигательный блок при спинальном введении.
РУКОВОДСТВО К ПРИМЕНЕНИЮ И ПРЕДОСТОРОЖНОСТИ:
1. У больных со стабильной гемодинамикой возможно применение анальгетических доз фентанила за 2 – 4 мин до ларингоскопии, что позволяет уменьшить прессорный ответ организма на лариногоскопию и интубацию, также это позволяет уменьшить дозу индукционного анестетика.
2. Дозу необходимо уменьшить у пожилых, больных с гиповолемией, у пациентов групп риска, при сопутствующем назначении седативных препаратов. Повторные дозы фентанила должны быть вводимы в сответствии с эффектом начальной дозы. Токсический эффект нивелируется налоксоном 0,2 – 0,4 мг. Высокие дозы фентанила могут вызвать повышение тонуса мышц. Проникает через плацентарный барьер (возможно угнетение дыхания новорожденного). При спинальном, каудальном и перидуральном применении побочные эффекты похожи на эффекты при применении морфина. Эти эффекты менее выражены, но более ранние. Купируются налоксоном, антигистаминными препаратами, метаклопрамидом 10 мг в/в (против тошноты).
Побочные эффекты: Гипотензия, брадикардия, угнетение дыхания, апное, головокружение, судороги, нарушение зрения, тошнота, рвота, нарушение эвакуации содержимого желудка, спазм желчных путей, миоз, ригидность скелетной мускулатуры.
СУФЕНТАНИЛ
– тиаминовый аналог фентанила, активнее его в 5-10 раз.
Фармакокинетика: высокая растворимость в липидах Þ быстрое прохождение через ГЭБÞ быстрое начало действия.
Как и у фентанила, быстрое перераспределение препарата в неактивные ткани (жир, мышцы) резко ограничивает его действие, особенно в небольших дозах. Быстро метаболизируется , продукты деалкилирования не обладают биологической активностью, метаболиты выделяются с мочой и калом. Вследствие значительной способности к коньюгации и образованию активных метаболитов с осторожностью назначать при почечной патологии!!!
Суфентанил интенсивно связывается с белками плазмы (90%), у пожилых может наблюдаться пролонгированное действие препарата.
Фармакологическое действие: как у фентанила, но более выражено седативное действие, несколько чаще развиваются брадикардия, миоз, угнетение дыхания, тошнота, рвота и спазм гладких мышц.
Применение: суфентанила цитрат для иньекций (50мкг/кг). Применение ограничено.
АЛФЕНТАНИЛ: производное фентанила (слабее в 5-10 раз, продолжительность действия на ½ короче).
Фармакокинетика: низкий рН(6.5) и малый объем распределения(209-211). Анальгезия после в/в введения – очень быстро (1-2мин). Это м. б. обусл. низкими величинами рКа, т. к. почти 90% ионизируется при рН = 7.4. Благодаря высокой ионизации быстро проникает через ГЭБ несмотря на слабую растворимость в липидах. Небольшая продолжительность действия обусловлена перераспределением в неактивные ткани и столь же быстрым, как и у суфентанила, метаболизмом в печени. С мочой выделяется менее 1% неизмененного алфентанила.
Т ½ b = 70-98мин.(у больных с циррозом печени = до 219мин)Þ усиление и удлинение действия препарата, при патологии почек выделение препарата не нарушается, но нарушение связывания с белками способно влиять на его распределение.
Применение: эпидуральная, в/в анестезия, контролируемая пациентом. Форма выпуска: р-р для иньекций(500мкг/мл).
НАЛОКСОН (наркан)
Применение: купирование наркотической депрессии, спазма сфинктера Одди, приём при передозировке кофеина, клонидина, декстраметофана, профилактика и лечение побочных эффектов, вызываемых опиоидами.
Дозы: при передозировке: в/в, в/м, п/к – 0,1 – 2 мг.(дети- 10 – 100мкг/кг),дробно, интервалы между введениями 2 – 3 мин. Максимальная доза – 10мг. (эффективнее вводить инфузионно 5 – 15 мкг/кг/час, титрованно).
Профилактика побочных эффектов опиоидов – в/в, в/м, п/к – 0,1 – 0,8мг.
Элиминация – печень.
Форма выпуска: 0,4 мг/мл, 1мг/мл, 0,02мг/мл (дети).
Хранение – при комнатной температуре.
Фармакология: Чистый антагонист опиоидов, конкурентно заменяет агонисты опиатов в мю-, сигма-, и каппа – рецепторах. Возможно применение у больных с септическим и кардиогенным шоком (блокада эндогенных эндорфинов). Не вызывает физическую зависимость.
Начало действия: в/в – 1 –2 мин, в/м и п/к – 2 –5 мин.
Пик эффекта: в/в, в/м, п/к – 5 –15 мин.
Длительность действия: 1-4 часа при в/в, п/к и в/м введении.
Токсичность: Снижает анальгезию, повышает активность симпатических нервов (тахикардия, гипертензия, аритмия, отек легких). При быстром в/в введении возможны тошнота, рвота, потливость. Если нет надёжного в/в доступа, - можно развести 1:1 с физ. раствором и вводить через эндотрахеальную трубку (быстро абсорбируется). С осторожностью применять у наркоманов (возможен абстинентный синдром).
НАЛТРЕКСОН: в отличие от налоксона, эффективен при приёме внутрь, оказывает выраженное антагонистическое в отношении опиоидов действие на протяжении 24ч.
Форма выпуска: таблетки 50мг. Применяют для лечения морфинистов.
ТИПЫ ОПИАТНОЙ РЕЦЕПЦИИ:
| РЕЦЕПТОР | АГОНИСТ | ЭФФЕКТ (при стимуляции) | АНТАГОНИСТ |
| μ | Β – эндорфин Мет-энкефалин Морфина гидрохлорид | Центральная и спинальная анальгезия, сопровождающаяся респираторной депрессией, брадикардией, запором, каталепсией | Налоксон Налорфин Налтрексон Налбуфин |
| δ | Лей–энкефалин (деларгин), налорфин | Стимуляция системных стресс – лимитирующих механизмов без анальгезии, сопровождается тахикардией, тахипноэ, мидриазом, тошнотой, дисфагией, галлюцинациями | Налоксон |
| κ | Пентозацин Динорфин Морфина гидрохлорид Фентанил Налбурфин | Спинальная анальгезия и седация, сопровождающаяся дисфагией, миозом, каппа – рецепторы активизируются при геморрагическом шоке | Налоксон |
| σ | Налорфин Пентозацин Энкефалины | Спинальная стресс – индуцированная анальгезия, сопровождающаяся регионарной депрессией и гипертензией. Сигма – рецепторная стимуляция участвует в гипотензивных механизмах септического и геморрагического шока | Налоксон Леваллорфан |
| ξ | - | При акупунктуре и выраженном стрессе. | - |
ТОРАДОЛ (кетанов, кеторолак) - не опиоид (нестероидный противовоспалительный препарат)
Показания: анальгезия.
Ударные дозы: в/м либо в/в медленно 30 – 60 мг (0,5 – 1 мг/кг);
Поддерживающие дозы: в/в. в/м – 15 – 30 мг (0.25 – 0,5 мг/кг) каждые шесть часов.
Максимальная общая доза – 150 мг (парентерально) – в первые сутки, 120мг – последующие сутки.
Максимальная доза per os: 40 мг/сут. При в/в введении необходимо вводить медленно, на разведении в течение 15 – 20 сек. ( уменьшение риска флебитов)
Элиминация: печень, почки.
Форма выпуска: 15 и 30 мг/мл, таблетки по 10 мг.
Хранение: при комнатной температуре, защита от света.
Фармакология: Относится к НПВП, обладает анальгетическим, противовоспалительным, антипиретическим свойством. Угнетает синтез простагландинов (периферическое действие). Анальгетическая мощность кетанова 30 мг при в/м введении аналогична дозе морфина – 9 мг, без его побочных эффектов. Per os: 10 – 20 мг эквивалентно аспирину в дозе 650 мг (либо ацетаминофену в дозе – 600 мг, или кодеину в дозе – 60 мг.). В отличие от опиоидов, не угнетает МАК газовых анестетиков. В клинических дозах не изменяет гемодинамику. Угнетает агрегацию тромбоцитов и удлиняет длительность кровотечения. Однако функция тромбоцитов восстанавливается через 36 – 48 часов после приема. Кетанов не уменьшает общего количества тромбоцитов и не изменяет протромбиновое время.
Особенности: в отличие от опиоидов, не угнетает функцию дыхания, не снижает моторику ЖКТ, не вызывает психомоторных эффектов и привыкания.
Побочные эффекты: 1).приём в дозах до 120г/сут. может привести к развитию кровоточащей язвы желудка (в период от 38-го до 248-го дня после начала лечения им)
2).увеличивает время кровотечения,
3).небольшое нефротоксическое действие
БУПРЕНОРФИН (Бупренекс)
частичный агонист, производное тебаина.
Фармакокинетика – высокая липидофильность, 96% связывается с белками сыворотки, но диссоциация с μ-рецепторами замедлена, поэтому продолжительность действия не совпадает с Т ½ β (= 3-5час.)
Фармакологическое действие – при в/в введении 0.3мг. эквивалентны 10мг. морфина. На μ-рецепторы он действует как частичный агонист, но его аффинитет к ним в 50 раз сильнее, чем у морфина.
Побочные эффекты – седация, сонливость, тошнота, рвота, угнетение дыхания (длительная, снимается только высокими дозами налоксона), на ССС оказывает подобное морфину действие.
Использование в клинике – в/м или в/в по 0.3мг. каждые 6час. (эффективно снимаются выраженные и тяжелые боли в послеоперационном периоде, болевой синдром при инфаркте, раке, почечной колике).В Европе выпускают для сублингвального применения (0.4-0.8мг.), обеспечивает хорошую послеоперационную анальгезию.Эпидурально – при кесаревом сечении, при ортопедических операциях. Форма выпуска – раствор 0.3мг/мл.
СТАДОЛ (буторфанол) – синтетический смешанный агонист-антагонист морфинового ряда. Агонистическое его действие выражено в 20 раз, антагонистическое – в 10-30 раз сильнее, чем у пентазоцина.
Фармакокинетика; быстро и полностью абсорбируется после внутримышечного введения. Уже спустя 5мин. распределяется ½ введенного препарата. Окончательное Т½a (время полураспределения) = 160мин. В процессе метаболизма образуются два неактивных метаболита – гидрокси- и нор- буторфанол. 25% дозы выделяется почками и 85% связывается с белками плазмы. Энтеральное введение неэффективно из-за метаболизма в печени.
Фармакология: слабый m-антагонист, к-агонист (выраженная анальгезия), слабый d-агонист (дисфория). Анальгетическая активность в 3-5 раз сильнее, чем у морфина. Вызывает седацию и диафорез, может подавлять дыхание, подобно пентазоцину, повышает общее АД, давление в легочной артерии и ЧСС. Влияние его на желчные пути выражено слабее, чем у m-агонистов. Обезболивающее действиеm-агонистов может оказаться малоэффективным, если перед этим пациент получал буторфанол. Он не устраняет депрессию дыхания, как это происходит при назначении налбуфина, но другие побочные реакции на m-агонисты (зуд) после парэнтерального введения стадола исчезают.
Показания: выраженные или сильные боли. В/м вводить в дозах 1-2мг., а в/в – по 0.5-2мг. Каждые 3-4часа Форма выпуска: только для парэнтерального применения в р-ре с концентрацией 1 или 2мг/мл. Хорош для эпидуральной анестезии, в частности при кесаревом сечении (2мг/10мл. нормального солевого раствора без консервантов). Эпидуральное введение дает также и седативный эффект, особенно в повышенных дозировках.
МЕТАДОН (ДОЛЬФИН)
– синтезирован еще во время Второй Мировой Войны немецкими фармацевтами.
Фармакокинетика: хорошо всасывается при энтеральном применении, в плазме обнаруживается через 30мин. после приема, апик его концентрации наступает через 4часа. Признаки анальгезии появляются через 30-60мин. после проглатывания, достаточная концентрация в крови после п/к введения достигается через 10мин., а пик концентрации в мозгу – через 1-2часа.
Биотрансформация – в печени, неактивные метаболиты выводятся с мочой и желчью. Прочно связывается сбелками крови и тканей, поэтому при повторных назначениях может накапливаться в тканях, постепенное высвобождение его оттуда поддерживает его содержание в крови и объясняет замедленный клиренс препарата. Т1/2b (полувыведение) после однократного в/в введения = 14часов, а ½ дозы выводится уже за 55ч. по мере истощения тканевых запасов препарата. При систем. приеме метадона Т1/2b = 22часа.
Фармакологическое действие: как у морфина. Продолжительность анальгезии не превышает 4-5часов, при повторных приемах наблюдается кумулятивный эффект. При длительном применении энтерально последующие дозы препарата надо снижать или увеличивать интервалы между приемами. Действенность энтер. применения к парэнтер. соотносится как 1:2.
Применение и фарм. эффекты: отличный анальгетик, наиболее пригоден для устранения хронических болей.
Форма выпуска: таблетки по 5 и 10мг., раствор (10мл. в чайной ложке), р-ры для иньекций (10мг/мл).
КЛАССИФИКАЦИЯ ОПИОИДОВ ПО ИХ АКТИВНОСТИ:
| АГОНИСТЫ | АГОНИСТ-АНТАГОНИСТЫ | АНТАГОНИСТЫ |
| Фенантреновые алкалоиды: Морфин Кодеин Тебаин Полусинтетические опиоиды: Диацетилморфин (героин) Гидрокодон Гидроморфон Оксикодон Оксиморфон Синтетические опиоиды: Производные фенилпиперидина: Меперидин Фентанил Суфентанил Алфентанил Производные морфинана: Леворфанол Производные пропиоанилида: Метадон Пропоксифен | Полусинтетические опиоиды: Бупренорфин Налбуфин Синтетические опиоиды: Бензоморфановые производные: Пентазоцин Производные морфинана: Буторфанол Дезоцин
| Налоксон Налтрексон |
КЛАССИФИКАЦИЯ ЭНДОГЕННЫХ ОПИОИДНЫХ ПЕПТИДОВ:
| ГРУППА | ПРЕДШЕСТВЕННИК | АНАТОМИЧЕСКАЯ ЛОКАЛИЗАЦИЯ |
| Энкефалины Лей-энкефалин Мет-энкефалин | Проэнкефалин А | Миндалевидное тело Гипоталамус – гипофиз Периакведуктальное серое вещество Ростовентральный продолговатый мозг Пластины Рекседа I, II, V, X ЖКТ Симпатическая нервная система Мозговой слой надпочечников |
| b-Эндорфин | Проопиомеланокортин | Дугообразное ядро основания гипоталамуса Гипофиз Ядро одиночного тракта Периакведуктальное серое вещество Голубоватое место |
| Динорфины Динорфин a-неоэндорфин | Продинорфин | Распределение такое же, как и у энкефалинов |
КЛАССИФИКАЦИЯ ТИПОВ РЕЦЕПТОРОВ И ИХ ПРЕДПОЛАГАЕМОЕ ДЕЙСТВИЕ:
| Типы рецепторов | Прототипы | Предполагаемое действие | |
| Эндогенные | Экзогенные | ||
| m1 (мю-1) m2 (мю-2) d (дельта) к (каппа) e (эпсилон) s (сигма) | b-эндорфин b-эндорфин энкефалин динорфин b-эндорфин ---------------- | морфин морфин ------------ кетоциклазоцин ------------ N-аллилнорметазоцин | супраспинальная анальгезия угнетение дыхания, влияние на ССС и моторику ЖКТ спинальная анальгезия спинальная анальгезия, седация гормоны психотомиметические реакции дисфория |
Анальгезические эквиваленты опиоидов
| Опиоиды | Пути введения | Эквианальгезические дозы |
| Морфин | Парентерально Энтерально | 10мг. 30мг. |
| Кодеин | Парентерально Энтерально | 130мг. 200мг. |
| Оксикодон | Парентерально Энтерально | 15мг. 30мг. |
| Леворфанол | Парентерально Энтерально | 2мг. 4мг. |
| Гидроморфон | Парентерально Энтерально | 1.5мг 7.5мг |
| Меперидин | Парентерально Энтерально | 75мг 300мг |
| Метадон | Парентерально Энтерально | 10мг 20мг |
| Фентанил | Парентерально Энтерально | 100мкг не выпускается |
Гипнотическое действие опиоидов (в порядке снижения активности)
Диацетилморфин = гидроморфон
Меперидин = налбуфин = пентазоцин
Морфин
Метадон
Кодеин
Фентанил
Противокашлевое действие опиоидов (в порядке снижения активности)
Диацетилморфин = фентанил = гидроморфон = гидрокодон
Метадон
Кодеин
Морфин
Леворфанол
Меперидин = пентазоцин
Потенциал наркотической зависимости опиоидов (в порядке снижения активности)
Диацетилморфин = оксиморфон
Фентанил = метадон
Леворфанол = морфин
Меперидин
Кодеин
Налбуфин = пентазоцин
Классификация опиоидов
| Агонисты | Агонисты / антагонисты | Антагонисты | |
| I. Phenanthrene alkaloids of opium (фенантрены) | |||
| Codeine | Methylnaltrexolone | ||
| Morphine (является пятикольцевым фенантреном) | |||
| Papaveretum (отн. к бензиллизохинолонам, совместно с носколином) | |||
| Thebaine (тебаин) | Buprenorphine | ||
| II. Semisynthetic alkaloids (полусинтетики) | |||
| Diamorphine, hydrochloride (диацетилморфин- heroin / героин) | |||
| Dihydrocodeine (гидрокодон) | |||
| Dihydromorphinone (гидроморфон) | |||
| Oxycodone (оксикодон) | |||
| Oxymorphone (оксиморфон) | Nalbuphine | Naloxone | |
| III. Synthetic agents (синтетические опиоиды) | |||
| A. Morphinans –морфинаны (производные морфина- четырехкольцовые) | |||
| A.1. Levorphanol (леворфанол) | A.2. Butorphanol (буторфинол) | ||
| A.3. | |||
| III.B. Benzomorphinans (бензоморфинаны- бензоморфановые производные) (трехкольцевые) | |||
| Meptazinol | |||
| Pentazocine (пентазоцин) | |||
| III. C. Phenylpiperidine derivatives (производные фенилпиперидина) (двухкольцевые) | |||
| Alfentanil | |||
| Fentanyl | |||
| Pethidine | |||
| Phenoperidine | |||
| Remifentanil | |||
| Sufentanil | |||
| Tramadol | |||
| III.D. Diphenylheptane derivatives (дифенилгептановые производные) | |||
| Dipipanone | |||
| Dextromoramide | |||
| Methadone (метадон) | |||
| Piritramide (пиритрамид) | |||
| Propoxyphene (пропоксифен) |
6.1. Значение стандартизации и сертификации - лекция, которая пользуется популярностью у тех, кто читал эту лекцию.
Пример: Алкалоидами опиума из класса бензилизохинолонов является:
| 1) папаверин (вазодилататор) 2) носкапин | не обладающие морфиноподобным действием |
Полусинтетики получают модифицируя молекулярную структуру функциональных групп.
Синтетические опиоиды возникает при прогрессирующем сокращении числа сливающихся колец молекулы морфина (морфин является пятикольцовым фенантреном, фентанил- является двухкольцовым фенилпипередином).




















