Транспортная обеспеченность и система управления транспортом
Тема 3. Транспортная обеспеченность и система управления транспортом.
1. Показатели транспортной обеспеченности и доступности.
Выделяют шесть основных факторов, влияющих на выбор вида транспорта. Руководствуясь ими, ниже дается оценка различных видов транспорта (табл. 1.2). Наилучшему значению соответствует единица.
Таблица 1.2
Оценка различных видов транспорта по основным факторам, влияющим на выбор вида транспорта
| Вид транспорта | Факторы, влияющие на выбор вида транспорта | |||||
| Время доставки | Частота отправлений груза | Надежность Рекомендуемые материалыРазработка финансово-экономической модели предприятия Вариант 3 - ДЗ - Предприятие «Химия» решает освоить выпуск стирального порошка с использованием своего технологического оборудования FREE ДЗ - Титульный лист -62% Теория функций комплексного переменного Задачи по кредитам, процентным ставкам В составе персонала фирмы 1/5 часть составляют основные производ-ственные рабочие. Их труд оплачивается сдельно Средняя расценка – 20 д.е. за единицу продукции. Труд остальных оплачивается повременно. Средний оклад – 1000 д.е./мес. Фирма предполагает соблюдения графика доставки | Способность перевозить разные грузы | Способность доставить груз в юбую точку территории | Стоимость перевозки | |
| Железнодорожный | 3 | 4 | 3 | 2 | 2 | 3 |
| Водный | 4 | 5 | 4 | 1 | 4 | 1 |
| Автомобильный | 2 | 2 | 2 | 3 | 1 | 4 |
| Трубопроводный | 5 | 1 | 1 | 5 | 5 | 2 |
| Воздушный | 1 | 3 | 5 | 4 | 3 | 5 |
Источник: Котлер Ф. Основы маркетинга.
Исследования показывают, что при выборе вида транспорта первоочередное внимание уделяется следующим факторам:
♦ надежности соблюдения графика доставки;
♦ времени доставки;
♦ стоимости перевозки.
Необходимо подчеркнуть, что вышеприведенные данные могут быть использованы только для первоначальной ориентации пригодности тех или иных видов транспорта условиям конкретной перевозки. Принятие окончательного решения должно быть обосновано технико-экономическими расчетами.
В качестве основного критерия выбора транспортного средства принимаются комплексные транспортные издержки. Транспортные издержки — это затраты на транспортировку продукции от места производства до непосредственных потребителей, выполняемую как транспортом общего пользования, так и собственным транспортом. Они являются дополнительными издержками, связанными с продолжением процесса производства в сфере обращения.
К основным статьям транспортных издержек относятся:
♦ Оплата транспортных тарифов и различных сборов транспортных организаций.
♦ Затраты на содержание собственного транспорта.
♦ Стоимость погрузочно-разгрузочных работ.
♦ Затраты на экспедирование и охрану.
♦ Затраты, связанные с подачей и уборкой транспортных средств и т. д.
♦ Расходы по взвешиванию грузов.
При дифференцированном определении размера транспортных издержек учитывается вид перевозимого груза, величина одной отправки (мелкая, контейнерная, повагонная и т. д.), а также схема перевозки: одним или последовательно несколькими видами транспорта.
Попутно отметим, что определение рационального радиуса перевозки грузов тем или иным транспортом основывается на сопоставлении расчетных (ожидаемых) величин комплексных транспортных издержек при доставке грузов с баз, складов и распределительных центров только автомобильным, железнодорожным и другим видом транспорта или в смешанном сообщении.
Практика показывает, что очень важным при выборе вариантов транспортного обслуживания является наличие соответствующей инфраструктуры. Так, отсутствие подъездных железнодорожных путей воздействует на увеличение рационального радиуса прямых автомобильных перевозок. Особенно это касается мелких отправок продукции. Указанный радиус при данных условиях составляет в среднем примерно 230-330 км. При наличии же подъездных путей в пункте отправки и у потребителя соответствующий радиус колеблется от 150 до 230 км. Необходимо подчеркнуть, что решение о целесообразности перевозки тем или иным транспортом не должно основываться только на транспортных издержках. Необходимо учитывать и другие факторы, которые в некоторых ситуациях могут быть решающими, например скорость доставки, надежность доставки и пр.
Выгодность перевозки грузов различными видами транспорта определяется путем сопоставления, во-первых, суммарных расходов предприятия на перевозку грузов, а во-вторых, общих затрат на содержание производственных запасов, размеры которых в зависимости от применения того или иного вида транспорта могут меняться в довольно широких пределах.
Как уже отмечалось, важнейшим фактором, влияющим на выбор вида транспортных средств, является время доставки. Чтобы определить в каждом конкретном случае наиболее оптимальный временной критерий, необходимо провести соответствующие расчеты. Так, время доставки грузов различными видами транспорта можно определить по следующим формулам:
для железнодорожного транспорта
;
для морского транспорта
,
;
для речного транспорта

для автомобильного транспорта

где
время на начально-конечные операции (сутки, ч);
L — расстояние перевозки (км, миль);
— эксплуатационная скорость (км/ч);
Vkom — коммерческая скорость (миль/сут);
Vcут — эксплуатационная скорость судов, работающих на дальней линии (миль/сут);
а — коэффициент использования грузоподъемности;
Дг - грузоподъемность судна;
М — средневзвешенная суточная норма грузовых работ в порту отправления и назначения (т/сут);
— норма пробега вагона или судна в сутки;
— время на дополнительные операции на железнодорожном, морском и речном транспорте (сут);
о — время на накопление, формирование и отправление грузов (сут).
Большое влияние на время доставки груза оказывает категория скорости (режим скорости).
У участников логистического процесса в данном вопросе также есть право выбора.
Категория скорости представляет собой режим перемещения грузовых потоков, который определяется особенностями грузов и условиями соответствующих договоров.
Различают следующие категории скорости:
♦ большая;
♦ грузовая;
♦ пассажирская.
В транспортной логистике категория скорости является одним из признаков, по которому формируют грузовые потоки. Например, ускоренное продвижение на железных дорогах грузов, принятых к перевозке большой скоростью, достигается организацией специальных ускоренных грузовых поездов; грузовой скоростью — обычных грузовых поездов; пассажирской — внеочередной постановкой вагонов с грузами в пассажирские поезда.
Средняя скорость продвижения грузов, перевозимых с большой скоростью, на 20~30% больше, чем перевозимых с грузовой скоростью. В том случае, когда перевозка какого-либо груза допускается только определенной скоростью, грузоотправитель обязан сделать об этом отметку в перевозочном документе.
Ранее уже отмечалось, что потребитель при разработке заготовительной политики должен для себя выбрать наиболее выгодную форму материально-технического обеспечения (транзитную, складскую).
С другой стороны, продуцент, основываясь на маркетинговых исследованиях, при выработке сбытовой политики должен определиться в выборе форм поставок. Выбор потребителя и продуцента по этим вопросам во многом обусловливает выбор вида транспорта и транспортных средств. Однако со своей стороны транспортная логистика также в большой степени влияет на выбор формы снабжения или поставок. Например, через предоставление льготных тарифов, установление нормативов отправки, транзитных норм, санкций за недогруз транспортного средства и т. д.
Отправка представляет собой единицу наблюдения перевозок грузов. Иначе говоря, отправка — это партия груза, принятая к перевозке по одному перевозочному документу от конкретного грузоотправителя конкретному грузополучателю. В процессе транспортировки отправка должна быть неделимой. При необходимости в установленном порядке может быть произведена ее переадресовка или реконсигнация.
В транспортной логистике различают следующие категории отправок:
♦ пакетная;
♦ контейнерная;
♦ вагонная;
♦ маршрутная;
♦ групповая;
♦ судовая;
♦ сборная;
♦ мелкая отправка.
С позиций логистики по каждой оправке обязательно следует учитывать не только род груза, но и категорию скорос-ти, провозную плату и некоторые другие характеристики, о которых будет сказано далее.
В основе многих отправок, осуществляемых с помощью привлечения транспорта общего пользования, лежат транзитные нормы, которые устанавливаются транспортными организациями в зависимости от вида продукции, а также грузовместимости и грузоподъемности имеющихся у них в наличии транспортных средств.
Транзитная норма — это минимальное количество (масса) груза, принимаемого к перевозке транспортом общего пользования или иным перевозчиком.
Транзитные нормы, радиус обслуживания потребителей и другие факторы ставят перед грузоотправителем выбор: воспользоваться собственным транспортом (если он есть) или обратиться к услугам перевозчиков.
Производя выбор вида транспорта, необходимо знать его грузоподъемность и грузовместимость.
Под грузовместимостью транспортного средства понимают суммарный объем помещений транспортного средства, используемых для размещения и перевозки грузов.
У морских и речных судов различают:
♦ теоретическую грузовместимость;
♦ зерновую грузовместимость для сыпучих грузов;
♦ киповую грузовместимость для штучных грузов;
♦ грузовместимость для жидких грузов.
На железнодорожном транспорте в отношении грузовых вагонов различают:
♦ полный объем вагона;
♦ погрузочный (полезный) объем вагона.
Полный (геометрический) объем вагона равен произведению длины, ширины и высоты данного вагона.
Погрузочный (полезный) объем представляет собой используемую часть полного объема. Погрузочный объем может быть больше полного объема при загрузке вагона выше борта.
Соотношение полного объема вагона и его грузоподъемности характеризует удельный объем, т. е. часть объема, которая приходится на 1 тонну грузоподъемности (м3/т). Для анализа грузовместимости рассчитывают коэффициент использования грузовместимости. Это показатель, который отражает часть полного объема грузовых помещений транспортных средств, используемого для размещения груза.
У грузовых вагонов коэффициент использования грузовместимости рассчитывается как частное от деления погрузочного объема на полный объем.
На судах морского и речного флотов коэффициент (степень) использования грузовместимости определяется по следующим формулам:
а) для простого рейса (при перевозке грузов между двумя портами)
б) для сложного рейса (при перевозке грузов между несколькими портами, в каждом из которых производится погрузка или выгрузка).

где
— коэффициент использования грузовместимости;
— масса отдельных партий груза;
— объем, занимаемый каждой партией груза (м3);
— дальность перевозки отдельных партий груза (км);
L — средняя дальность перевозки груза;
W — грузовместимость судна (т).
Грузоподъемность подвижного состава — это один из показателей мощности транспортного средства. Он измеряется количеством грузов в тоннах, которые им могут быть приняты к перевозке.
На практике часто используется понятие удельной грузоподъемности, т. е. части грузоподъемности, которая приходится на 1 м3 полного объема грузовых помещений. Эта величина является обратной удельному весу. Если плотность груза меньше удельной грузоподъемности транспортного средства, то грузовместимость используется полностью, а грузоподъемность недоиспользуется. Если же плотность груза больше удельной грузоподъемности, то полностью используется последняя, но недоиспользуется грузовместимость.
На железнодорожном транспорте повышение грузоподъемности вагона без увеличения числа осей ограничивается допустимой нагрузкой на путь. Разрабатываются технические нормы загрузки вагонов, которые делятся на:
♦ общесетевые и
♦ местные.
Эти нормы зависят от плотности груза, его формы и рода. За недогруз вагона до технической нормы виновная сторона (грузоотправитель, экспедитор или др.) уплачивает штраф.
Грузоподъемность морских и речных судов — это максимальное количество грузов (в тоннах), которое судно может принять к перевозке. Для получения максимальной грузоподъемности необходимо правильно установить допустимую осадку судна (при погружении по грузовую марку) и строго нормировать все судовые запасы.
Дедвейт (или полная грузоподъемность) определяется по формуле

где Вп — водоизмещение судна с полным грузом (т);
BQ — водоизмещение судна без груза (т).
Водоизмещение определяется массой или объемом воды, вытесняемой плавающим судном.
Различают полную и чистую грузоподъемность судна.
Полная грузоподъемность (Д) — это сумма массы служебного (вода, топливо, провиант...) и перевозимого груза.
Чистая грузоподъемность (ДТ) равна массе перевозимого груза:

где С — масса всех судовых запасов. Грузоподъемность автотранспорта определяется его конструкцией и указывается в техническом паспорте автомобиля, прицепа, полуприцепа. Средняя грузоподъемность ходового автомобиля зависит от структуры парка подвижного состава и коэффициента использования парка транспортных средств по выпуску.
Для анализа использования грузоподъемности транспортных средств в логистике рассчитываются соответствующие коэффициенты.
Коэффициент использования грузоподъемности подвижного состава — это показатель степени использования грузоподъемности автомобиля, вагона, судна, самолета.
Коэффициент использования грузоподъемности автомобиля характеризует использование номинальной грузоподъемности автомобиля в статике и динамике.
Статический коэффициент рассчитывается как отношение загрузки автомобиля в тоннах к его номинальной грузоподъемности в момент окончания погрузки.
Данный показатель "за одну ездку" определяется делением количества фактически перевезенного груза на номинальную грузоподъемность автомобиля.
Этот же показатель "за смену" определяется делением объема перевозок на произведение номинальной грузоподъемности и количества выполненных за смену ездок.
Динамический коэффициент использования грузоподъемности рассчитывается как отношение фактических тонно-километров на возможные тонно-километры при полном использования грузоподъемности.
Попутно отметим, что тонно-километр является единицей измерения грузооборота транспорта. Она характеризует перемещение 1 т груза на расстояние 1 км.
Коэффициент использования грузоподъемности вагона исчисляется делением средней статистической нагрузки вагона на его среднюю грузоподъемность.
Коэффициент удельной грузоподъемности вагона определяется как отношение грузоподъемности вагона к его полно-му объему. Чем ниже удельная грузоподъемность, тем шире номенклатура грузов, которые могут перевозиться в вагоне данного типа с полным или близким к полному использованием его грузоподъемности.
Коэффициент использования грузоподъемности судна равен частному от деления величины тонно-километров (тонно-миль), фактически выполненных судном за отчетный период, на количество тоннаже-километров (тоннаже-миль) в порожнем и груженом состоянии за этот период.
Отметим, что тоннаже-километр — это единица измерения пройденного расстояния грузовыми самоходными и несамоходными судами с учетом их грузоподъемности. Для самоходного флота данный показатель дается в группировке:
♦ тоннаже-километры, пройденные в груженом состоянии вверх;
♦ тоннаже-километры, пройденные в груженом состоянии вниз;
♦ тоннаже-километры, пройденные всего в груженом состоянии;
♦ тоннаже-километры, пройденные в порожнем состоянии в оба направления.
У несамоходных судов пройденное расстояние учитывается в тоннаже-километрах, а также в километрах по видам работ ("с грузом", "порожним" и "всего") и с подразделением на: вверх, вниз, в оба направления.
Тоннаже-миля исчисляется как произведение 1 т груза, перевезенной на расстояние 1 мили. Одна морская миля равна 1,852 км, поэтому 1 тонно-миля приравнивается к 1,852 тонно-километра.
Коэффициент использования коммерческой грузоподъемности самолета характеризует использование его нормативной коммерческой грузоподъемности. Он определяется делением приведенных тонно-километров на предельный объем приведенных тонно-километров.
Приведенный тонно-километр — это показатель, характеризующий объем всей выполненной отдельными видами транспорта работы по перевозке грузов и пассажиров. Приведение выполняется суммированием тонно-километров (и пассажиро-километров). На воздушном транспорте для этой цели используется коэффициент, равный 0,09.
Вообще данный показатель используется не только для вышеназванных расчетов, но также для анализа производительности труда на транспорте. Например, производительность труда работников железных дорог может быть измерена количеством приведенных тонно-километров, приходящихся на одного работника эксплутационного контингента. Для этих целей приведенные тонно-километры рассчитывают суммированием грузооборота (или удвоенного пасса-жирооборота).
Практически проблемы выбора в транспортной логистике возникают по каждому аспекту управления материальными потоками. Не менее актуальным, наряду с выбором вида транспорта и подвижного состава, является решение задач оптимальной маршрутизации и планирования грузопотоков в транспортных системах.
Транспортные средства и транспортные коммуникации характеризуются высокой капитальностью. Поэтому вполне справедливым является утверждение большинства ученых-экономистов о том, что высокая инвестиционная составляющая по транспорту оправдывается только при эффективном его использовании.
Постоянный рост объемов перевозок товаров автомобильным транспортом, в том числе принадлежащим торговым организациям и предприятиям, вызывает необходимость более эффективного его использования. К числу факторов, определяющих более интенсивное использование автомобильного транспорта, относятся: улучшение использования грузоподъемности транспортных средств; повышение коэффициента сменности работы транспорта; сокращение простоев; улучшение использования пробега; ускорение погрузочно-разгрузочных работ.
Для оценки эффективности работы автомобильного транспорта используются технико-экономические показатели.
Так, использование парка подвижного состава можно оценить при помощи коэффициентов технической готовности и выпуска.
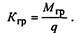
Коэффициент технической готовности (Кr) подвижного состава к работе определяется по формуле:

где АДг — автомобиле-дни в готовом для эксплуатации состоянии;
АДС — списочные автомобиле-дни подвижного состава в автохозяйстве.
Коэффициент выпуска подвижного состава (Кв) можно определить по формуле

где АДЭ — число автомобиле-дней эксплуатации.
Указанные показатели можно улучшить за счет повышения уровня технической готовности автомобилей, постоянно обновляя парк подвижного состава, своевременно проводя профилактические и ремонтные мероприятия.
Для определения степени использования грузоподъемности транспортных средств можно применить статический и динамический коэффициенты.
Статический коэффициент (Кс) определяется отношением

где
— количество фактически перевозочного груза;
— номинальная грузоподъемность автомобиля.
Динамический коэффициент (
) определяется отношением

где Рт.ф — фактическая транспортная работа, ткм;
Рн — количество тонно-километров, которое можно было выполнить при полном использовании номинальной грузоподъемности автомобиля.
Улучшению использования грузоподъемности автотранспортных средств в значительной степени способствует применение рациональных приемов размещения грузов в кузове автомобиля, хорошо продуманная разработка маршрутов их доставки.
К сожалению, многие авторы этими показателями и ограничиваются, что, на наш взгляд, не способствует более широкой оценке уровня использованных автомобилей.
В данном случае из поля зрения выпадает такой фактор, который характеризует уровень организации перевозок. Ведь не секрет, что в ряде случаев автомобиль, поехав за товаром, приезжает ни с чем, сделав холостой пробег. А в других случаях транспортировка организована так, что товар перевозится в обоих направлениях: в одну сторону для себя, в другую — попутный груз сторонних организаций.
Даже перевозку собственных грузов в ряде случаев можно организовать так, что машина будет загружена в оба конца рейса.
Например, выезжая за товаром, автомобиль можно загрузить тарой, освободившейся после реализации товара. Это позволит сократить транспортные расходы предприятия и в целом издержки обращения.
Поэтому мы предлагаем для оценки работы транспортных средств использовать и такой показатель, как коэффициент полезного пробега (Кп), который должен исчисляться по следующей формуле:

где
— пробег с грузом, км,
Пп — общий пробег, км.
И конечно же, для оценки работы транспортных средств следует использовать такой обобщающий показатель, как собственность одного тонно-километра. В нем заложены все факторы, характеризующие уровень использования автомобиля.
Например, если себестоимость тонно-километра низкая, то это наглядно свидетельствует не только об экономном использовании ресурсов, но и о грамотной организации перевозок, хорошем техническом состоянии автомобилей и их высокой технической готовности. Если же себестоимость высокая, то данная оценка будет совершенно противоположной.
В условиях перехода к рынку, когда цены на энергоносители, в том числе на бензин и дизельное топливо, резко возросли, особое внимание должно быть обращено и на такой показатель, как расход топлива на 100 километров пробега автомобиля.
Этот показатель, как, впрочем, и другие, необходимо анализировать не только в динамике за несколько лет, но и сопоставлять с такими же показателями по другим родственным предприятиям, а также с нормативными данными.
В частности, по всем маркам автомобилей имеется в числе других технических данных и такой показатель, как норма расхода горючего на 100 километров пробега.
Улучшению использования автомобилей в значительной степени способствуют применение рациональных приемов размещения грузов в кузове автомобиля, хорошо продуманная разработка маршрутов их доставки, выбор наиболее подходящего для перевозки конкретного товара, типа автомобиля и его грузоподъемности.
Важное условие роста эффективности использования автотранспорта — повышение сменности его работы, чего можно добиться путем продления времени работы экспедиционных складов и диспетчерских служб, а также созданием условий для ночного завоза товаров в торговые предприятия.
При этом необходимо учесть, что эффективность перевозок зависит от большого количества факторов. Речь идет в первую очередь о том, что не осе грузы в одинаковой степени используют грузоподъемность транспортных средств. В этой связи все народно-хозяйственные грузы по степени использования грузоподъемности транспортных средств делятся на 4 класса. К первому классу отнесены грузы обеспечивающие загрузку транспорта на 100%, ко второму — на 85%, к третьему — на 63% и, наконец, к четвертому отнесены грузы, которые обеспечивают использование грузоподъемности транспорта менее чем на 45%. Классификация всех народнохозяйственных грузов дана в экономических справочниках. Атак как торговые предприятия одновременно перевозят грузы различных классов, но нормативы для расчетов установлены применительно к конкретному классу грузов, то в практике планирования перевозок определяют средний класс перевозимых грузов по следующей формуле:

где:
К — средний класс перевозимых грузов; O1, 02, 03 — вес отдельных видов грузов, тн.
K1, K2, К3 — класс отдельных видов грузов (берется из справочников).
Показатели по перевозкам во многом зависят от типа дорог, по которым осуществляются перевозки. В этой связи все автомобильные дороги России делятся на три группы.
К первой группе относятся дороги с твердым покрытием и с односторонним движением при наличии разделительных полос. Ко второй группе относятся дороги также с твердым покрытием, но и со встречным движением. Таких дорог в России больше, чем первой группы.
Наконец, к третьей группе дорог относятся грунтовые дороги, каких в России еще больше.
Наиболее высокие нормативы по использованию транспорта установлены для первой группы дорог, и наоборот — самые низкие установлены для третьей группы дорог.
Издержки по транспортировке товаров во многом зависят от средней дальности их перевозок. Чем меньше расстояние перевозок, тем ниже транспортные издержки, и наоборот.
Все эти факторы и показатели необходимо учитывать при планировании рациональной организации перевозок товаров.
2. Показатели густоты транспортной сети для железнодорожного, автомобильного и для всех видов транспорта.
Органическими частями транспортной сети являются железные дороги, морские и судоходные речные пути, автомобильные дороги, трубопроводы для транспортирования нефти и газа, сеть воздушных линий. Помимо путей сообщения, транспорт располагает и средствами для перемещения продукции - это автомобили, локомотивы, вагоны, суда и другой подвижной состав. К техническим устройствам и сооружениям транспорта относят станции, депо, мастерские, ремонтные заводы, предприятия технического обслуживания и т.д.
В зависимости от стратегии и задач фирмы, компании производят выбор транспорта для доставки продукции. При этом учитывают размещение производства, технико-экономические особенности различных видов транспорта, определяющие сферы их рационального использования. Технико-экономические особенности различных видов транспорта и их сферы рационального использования систематизированы в (табл. 5) [5].
В настоящее время в России происходят разгосударствление и приватизация транспортного и складского хозяйства. Интенсивно формируется рынок транспортных и транспортно-экспедиционных услуг. Так, по данным Министерства транспорта РФ, на территории России услуги автомобильного транспорта клиентам предлагает свыше 366 тыс. автохозяйств, речного транспорта - 4,8 тыс. перевозчиков, морского транспорта - свыше 1,1 тыс. судовладельцев, воздушного транспорта - свыше 200 перевозчиков с различными видами собственности. Если проанализировать ситуацию по видам транспорта, как по грузообороту, так и по объему перевозок, то наблюдается тенденция к снижению по всем видам транспорта.
Таблица 5
Технико-экономические особенности различных видов транспорта и сферы их рационального использования
| Вид транспорта | Особенности транспорта | Сфера применения | |
| Достоинства | Недостатки | ||
| 1 | 2 | 3 | 4 |
| 1. Железнодорожный | Высокая провозная и пропускная способность; регулярность перевозок; невысокая себестоимость перевозок | Большие капиталовложения на сооружение пути; большие затраты металла | Практически не ограничена |
| 2. Морской | Обеспечивает массовые межконтинентальные перевозки грузов; низкую себестоимость; практически неограниченную пропускную способность | Зависимость от естественно-географических и навигационных условий, создание портового хозяйства | Практически не ограничена |
| 3. Речной | Высокая провозная способность; невысокая себестоимость перевозок; небольшие капиталовложения на организацию судоходства | Неравномерность глубин, сезонность работы, небольшая скорость перевозки | Практически не ограничена |
| 4. Автомобильный | Большая маневренность и подвижность; высокая скорость доставки груза; небольшие капиталовложения в освоение малого грузооборота на короткие расстояния | Низкая производительность труда; низкий уровень эксплуатационных показателей; плохое состояние дорожной сети | На короткие расстояния до 300 км |
| 5. Воздушный | Высокая скорость доставки; самый короткий путь следования | Высокая себестоимость перевозки | Практически не ограничена |
Можно сделать три вывод: во-первых, не работает промышленность, во-вторых, идет перераспределение перевозок и, в-третьих, отсутствуют приписки на перевозимую продукцию.
К этому следует добавить, что парк транспортных средств находится в неудовлетворительном состоянии. Технические характеристики эксплуатируемых транспортных средств и систем значительно отстают от современного мирового уровня и, в первую очередь, по экономичности, безопасности, техническому состоянию и другим показателям. Степень износа транспортных средств в целом по транспортному комплексу составляет свыше 50%, а по воздушным судам - 70%. Спад производства, рост цен, инфляция и снижение платежеспособности клиентуры способствует снижению инвестиций в развитие транспорта. Поэтому резко уменьшены запуски и обновление транспортных средств.
Каждый из перечисленных выше видов транспорта имеет свою материально-техническую базу, документацию и технико-эксплуатационные показатели работы. Детально все эти элементы изучают специалисты транспорта, а работники логистики должны иметь представление о тех элементах, которые встречаются им в практической деятельности при решении логистических задач.
Железнодорожный транспорт. Вагонный парк состоит из пассажирских и грузовых вагонов. Грузовые вагоны подразделяются на универсальные (крытые, полувагоны, платформы, цистерны) и специализированные, приспособленные для перевозок определенного вида груза (изотермические, цементовозы, кислотные и др.). Крытые вагоны используют для перевозки ценных грузов, и грузов, боящихся атмосферных осадков; полувагоны - для массовых наволочных и лесных грузов; цистерны - для наливных грузов (бензин, керосин, молоко и др.). Тяжеловесные и крупногабаритные грузы перевозят в транспортерах грузоподъемностью 400 т. Каждый тип вагона характеризуется грузоподъемностью, вместимостью, массой тары вагона и другими показателями. Грузоподъемность определяется количеством груза в тоннах, которое может быть погружено в данный вагон в соответствии с прочностью его ходовых частей, рамы и кузова, вместимостью - произведением длины вагона на его ширину и высоту.
Важнейшим элементом роста производительности вагонного парка является полное использование грузоподъемности и вместимости вагонов. О степени использования грузоподъемности и вместимости вагона при перевозке того или иного груза можно судить по соответствующим коэффициентам.
Коэффициент использования грузоподъемности Кгр определяется отношением массы груза в вагоне Мгр (т) к его грузоподъемности q (т) :

Коэффициент вместимости Квм рассчитывают как частное от деления объема груза в вагоне Vгр(м3) на вместимость вагона


Чем ближе к единице значение этих коэффициентов, тем выше показатель грузоподъемности или вместимости вагона.
Сравнительно часто отправитель предъявляет к перевозке грузы, обладающие объемной различной плотностью. Раздельная их перевозка приводит к тому, что при перевозке высокоплотного груза грузоподъемность вагона используется хорошо, а вместимость - недостаточно. Противоположный результат получается при перевозке груза, обладающего небольшой объемной плотностью: вместимость вагона используется хорошо, а грузоподъемность - недостаточно.
Особое значение имеют технические нормы загрузки вагонов. Техническая норма загрузки - количество груза, которое должно быть загружено в вагон данного типа при наилучшем использовании его грузоподъемности и вместимости. Ввиду того, что учесть все разнообразие грузов, способов их подготовки и погрузки нельзя, разрабатываются местные технические нормы. Эти нормы согласовываются с грузоотправителями. Техническую норму загрузки определяют для тарных грузов с учетом их свойств и схемы укладки, а для навалочных и насыпных рассчитывают отдельно для перевозки в крытых вагонах и на открытом подвижном составе.
Техническую норму загрузки вагонов определяют по формулам:
для крытых вагонов:

для открытых:

где Vв - полный объем вагона, м3;
kв - коэффициент использования объема вагона при перевозке данного груза;
Vг - объем основной части груза, м3;
Vш - объем «шапки», м3.
р - массовая плотность груза, т/м3.
Для выполнения грузовых, коммерческих и других операций железная дорога имеет грузовые станции, которые оснащены грузовыми устройствами и сооружениями.
Грузовая станция - комплекс путевых и грузовых устройств, технических и служебных помещений, предназначенных для выполнения соответствующих грузовых и коммерческих операций. Она производит операции по приему, погрузке и выдаче грузов и багажа.
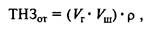
Морской и речной транспорт. Основными показателями, характеризующими речные и морские суда, являются водоизмещение, грузоподъемность, грузовместимость, размеры судов (длина, ширина, высота борта) и осадка в груженом и порожнем состояниях.
Водоизмещение (массовое и объемное) определяется массой или объемом воды соответственно, вытесняемой плавающим судном.
Грузоподъемность судна - это его перевозочная способность, выраженная в тоннах.
Дедвейт (или полная грузоподъемность) - количество тонн груза, которое может принять судно сверх собственной массы до осадки по летнюю грузовую марку.
Дедвейт определяется по формуле:

где Вп - массовое водоизмещение судна с полным грузом, т;
Вц - массовое водоизмещение судна без груза, т.
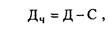
Различают полную и чистую грузоподъемность судна. Полная грузоподъемность Д - это сумма массы служебного (вода, топливо, провиант) и перевозимого груза.
Чистая грузоподъемность Дч равна массе перевозимого груза:

где С - масса всех судовых запасов, т.
Грузовместимость - это способность судна вместить груз определенного объема. Различают грузовместимость одинарную, когда объем всех грузовых помещений, используется единовременно, и составную, или двойную, когда грузовые помещения используются равновременно, по очереди. В зависимости от рода перевозимых грузов определяют грузовместимость для грузов тарно-упаковочных, штучных и сыпучих.
Одним из показателей, характеризующих эксплуатационные качества судна, является удельная грузовместимость Vуд, м3/т, которая определяется:

Для выполнения операций по погрузке и выгрузке приему и выдаче грузов, организации перевозок и обслуживанию флота имеются морские и речные порты и пристани.
Портом называют прибрежный пункт, имеющий удобные водные подходы для судов, связанный со стороны береговой территории с железнодорожным и безрельсовым транспортом и оснащенный соответствующими сооружениями, устройствами и оборудованием, обеспечивающими быструю погрузку и разгрузку судов, вагонов и автотранспорта, навигационное обслуживание судов, культурно-бытовое обслуживание и экипировку судов.
Автомобильный транспорт. Материально-техническая база автомобильного транспорта состоит из подвижного состава (автомобили, тягачи, прицепы и полуприцепы), автотранспортного предприятия и автомобильных дорог.
Грузовые автомобили различают по грузоподъемности: особо малой - до 0,5 т, малой - от 0,5 до 2 т, средней - от 5 до 15 т и особо большой - более 15т.
Автомобили-тягачи - это автомобили, приспособленные для буксировки прицепов.
Целесообразность использования подвижного состава того или иного типа определяется его эксплуатационно-техническими качествами и конкретными условиями эксплуатации. К эксплуатационно-техническим качествам автомобиля относят его характеристику по габаритам и массе, проходимость, устойчивость и маневренность, подвижность, динамические качества и экономичность.
Показателями эффективности подвижного состава могут быть себестоимость, производительность, энергоемкость, материалоемкость и др.
Для осуществления перевозок грузов на автомобильном транспорте имеются автотранспортные предприятия (АТП), - это транспортные предприятия комплексного типа, осуществляющие перевозку грузов или пассажиров, хранение, техническое обслуживание и ремонт подвижного состава, а также обеспечение транспортных средств эксплуатационными материалами. Наряду с АТП существуют и гаражи-стоянки, станции технического обслуживания, авторемонтные мастерские, автозаправочные станции.
Все грузы, принимаемые к перевозке, независимо от вида сообщения должны иметь маркировку, одинаковую для всех видов транспорта.
3. Основные принципы управления транспортом в условиях рыночной экономики.
Для транспортной компании, как, впрочем, и для любой другой, правильный подбор кадров — залог успешного функционирования бизнеса. Стратегический менеджмент (директора, руководители подразделений и отделов) задает направления развития и определяет краткосрочные цели в соответствии с корпоративной стратегией, оперативный (начальники отделов и подразделений) обеспечивает их достижение путем непосредственного управления и контроля процесса, а конкретные исполнители (диспетчеры, планировщики, водители, экспедиторы) осуществляют физическую реализацию отдельных операций. Для каждого из этих уровней иерархии существуют свои критерии, на которые нужно опираться при подборе людей, чтобы они максимально полно соответствовали предъявляемым к ним требованиям, а также свои методы стимулирования. В данной главе будут описаны основные принципы кадровой политики предприятия, схемы мотивации персонала разного уровня, а также методы построения сложных транспортных процессов, в которых кадры действительно решают все. Для того чтобы построить грамотную кадровую политику, прежде всего следует осознать, что миссия отдела кадров не ограничивается поиском, набором и расстановкой персонала. Кроме этих, несомненно важных функций, носящих оперативный характер, перед кадровой службой стоит целый ряд долгосрочных задач. На разных предприятиях список такого рода задач и их приоритетность могут различаться в силу специфики процесса, однако можно выделить и те, которые являются общими для всех. К ним, в частности, относятся:
• проектирование организационной структуры бизнеса;
• формирование и совершенствование корпоративной культуры фирмы;
• формирование и поддержание благоприятного психологического климата и устранение внутрифирменных конфликтов;
• поддержание ротации кадров на оптимальном уровне;
• адаптация новых работников на предприятии;
• сплочение коллектива в единую команду;
• создание системы профессиональной подготовки кадров (обучение, тренинги, семинары);
• построение и регулярный анализ адекватности мотиваци-онных схем;
• оценка деятельности сотрудников (мониторинг профессионального развития, аттестация).
Создание оптимальной организационной структуры, заполнение штата предприятия профессионалами высокого класса, формирование командного духа в коллективе и в целом внедрение логистического подхода к управлению предприятием начинается с соблюдения отделом кадров ряда четких принципов. Среди множества рекомендаций, которые дают профессиональные кадровики, можно выделить следующие.
1. Ориентация на развитие. В постоянно меняющейся рыночной среде способность трансформироваться под влиянием внешних факторов весьма важна для поддержания конкурентоспособности. Для обеспечения активного развития предприятия кадровые отделы не должны ограничиваться заботой об удовлетворении потребности в трудовых ресурсах лишь текущего рабочего процесса, а работать на перспективу, формируя команды, способные достичь стоящих перед предприятием стратегических целей.
2. Заменимость сотрудников любого уровня. Увольнение отдельного работника не должно повлечь за собой невыполнение какой-либо функции или помешать стабильному течению процесса. В идеальной ситуации каждый сотрудник предприятия должен быть способен выполнять функции вышестоящего, нижестоящего и нескольких работников своего уровня.
3. Точный расчет численности. Требуемое количество сотрудников в каждом подразделении должно быть заранее рассчитано в соответствии со среднесрочной прогнозной оценкой объемов работы и актуальными нормативами времени на выполнение всего перечня операций.
4. Экономичность. Данный параметр ставит целью снижение доли затрат на систему управления (к которой в частности относится и кадровый блок) в общем объеме издержек за счет достижения наибольшей эффективности и экономичности процесса работы с персоналом. Основной принцип — любое увеличение затрат на человеческие ресурсы должно быть обусловлено адекватным ростом прибыли предприятия.
5. Прогрессивность. Кадровая служба должна следить за новейшими тенденциями в сфере управления персоналом, чтобы впитывать удачный мировой опыт и оперативно модернизировать собственные подходы и методы.
6. Иерархичность. Какой бы сложной ни была организационная структура транспортного предприятия, должна соблюдаться четкая иерархическая структура подчинения отдельных функциональных элементов.
7. Автономность. Должна быть обеспечена самостоятельность структурных подразделений и их руководителей. Из механизма принятия решений, входящих в компетенцию линейного руководителя, должны быть исключены многоступенчатые согласования с вышестоящими инстанциями. Конечно, цель согласований— снижение возможности должностных злоупотреблений, но на практике они оборачиваются внутрифирменной бюрократией, затрудняющей реакцию системы на внешние факторы. 8. Согласованность. Одновременно с автономностью подразделений следует обеспечить возможность оптимального взаимодействия между различными звеньями системы как по вертикали, так и по горизонтали, что позволит согласовать их действия, снизить количество конфликтующих между собой целей, исключить дублирование усилий, улучшить координацию, увеличить скорость информационных потоков, повысить качество стратегического и оперативного планирования.
9. Адаптивность. Кадровая служба должна быть способна оперативно трансформировать свою деятельность в соответствии с целями транспортного подразделения и условиями его работы.
4. Формы взаимодействия и конкуренции различных видов транспорта.
Форма и методы взаимодействия различных видов в технической и технологической организационной, экономической областях, сферах.
1.Техническая область – согласование пропускной и перерабатывающей способности систем и устройств по которым следуют потоки грузов и пассажиров, в учете взаимных требований и увязка параметров подвижного состава и контейнеров по габаритам, грузоподъемности, в местности в целях эффективного использования перегрузочных средств и удобства персадки пассажиров, создание стыкуемых технических средств связи для работников различных видов транспорта управляющих перевозочным процессам перевалкой грузов и пересадкой пассажиров во внутритранспортных узлах (терминалах).
Пример:
1 создание паромов морских в шарной мере, дорожных эстакад и пересечений в разных уровнях.
2 технологическая область взаимодействий – это организация комплексной системы эксплуатации различных видов транспорта:
пример – создание и согласование контактных графиков работы участвующих видов транспорта грузоотправителей и грузополучателей, составление взаимоувязанных с интересами пассажиров удобных расписаний прибытия и отправления различных видов транспорта.
3 организационная сфера. Охватывает управленческую и информационную области взаимодействия различных видов транспорта.
Пример: организация аналогичных перевозок с единым диспечерским пунктом (центром) оперативное информирование и регулирование подачи вагонов, судов, автомобилей к местам погрузки, выгрузки и перевалки грузов в транспортных узлах; организация подачи билетов для пассажиров нескольких видов транспорта и согласование транспортно – эксплуатационного обслуживания клиентуры при смежных перевозках.
4 Экономическая область взаимодействие включает в себя: разработку и согласование прогнозов спроса на транспортные услуги различными видами транспорта, находящимися в государственной и частной.
5 правовая область включает в себя решение правовых вопросов касающихся взаимоотношений между различными видами транспорта и между органами транспорта и клиентуры.
Основная масса грузовых и пассажирских перевозок осуществляется с участием 2-х и более видов транспорта. Так 80% грузов, прибывающих в порты, передается на железную дорогу (на речных 50%). Практически вся нефть из трубопроводов передается на другие виды транспорта, а автомобиль взаимодействует со всеми видами транспорта, особенно велик его вес для пассажирских перевозок. Пунктами взаимодействия являются транспортные узлы. Раньше транспортные узлы в силу своего исторического развития, ведомства, частные владения, география, топография строились без учета быстрого перехода грузов с одного вида на другой. Транзитный пассажир покупал новые документы на провоз груза и проезд. Груз в этих пунктах перегружался. Только с введением смешанного прямого сообщения владельцы груза освобождались от заботы перегружать свой товар. Во взаимодействии различных видов транспорта должна возродиться ЕТС (единая транспортная система).
Основы взаимодействия. В большинстве государств мира рациональное взаимодействие основных видов транспортных коммуникаций находится в государственной собственности. Взаимодействие различных видов транспорта заключается в слаженной и согласованной работе транспорта в общем перевозочном процессе. Это взаимодействие зависит от многих условий правового, экономического, технического, технологического, организационного и управленческого характера.
Правовой аспект совершенствования юридических и правовых отношений
Основные документы, определяющие взаимоотношения, обязанности, права и ответственность транспорта и клиентуры, грузоотправителей и грузополучателей:
- железнодорожный устав РФ
- кодекс торгового мореплавания
- устав внутреннего водного транспорта
- устав автомобильного транспорта
- воздушный кодекс.
Кроме того в кодексе имеются другие положения ведомства и министерства транспорта "О взаимном имуществе, ответственности организации морского транспорта и отправления за невыполнением планов перевозок, экспортирования и импортирования грузов и т.д."
Экономический аспект
Этот аспект очень важен.
1) Разработка единых планов перевозки грузов и пассажиров (годовые, оперативные, на квартал, месяц), что позволяет заранее подготовить подвижной состав или зарезервировать. Особенно велика задержка грузов при передаче их с железной дороги на речной транспорт.
2) Установление согласованных тарифов на перевозки разного вида транспорта. Необходимо создать систему унифицированных тарифов, которые стимулировали бы клиентуру и транспорт к смешанным перевозкам.
3) Введение единой номенклатуры грузов; разработка унифицированных планов и отчетных показателей; экономические показатели, характеризующие качество и эффективность перевозки грузов и пассажиров должны быть едиными:
- себестоимость и стоимость перевозок
- производительность труда
- потребные капитальные вложения
- степень использования подвижного состава и др.
До сих пор на всех видах транспорта имеются разные методики.
5. Транспортная документация.
Обобщенный перечень документов, сопровождающих груз:
• Товарно-транспортная накладная
• Счет-фактура
• Акт загрузки автотранспортного средства
Сертификат качества, если грузы имеют промышленное происхождение• Карантинный сертификат, если грузы имеют растительное происхождение
Сертификат о происхождении
• Доверенность на перевозку
• Накладные
• Сводные ведомости (перечень мест, поштучный перечень
продукции с заводскими номерами)
Товарно-транспортная накладная — документ, подтверждающий заключение договора перевозки, характеризующий перевозимый груз, место его погрузки и разгрузки, протяженность маршрута перевозки и содержащий отметки грузоотправителя и грузополучателя.
Будучи основным документом на перевозку груза, товарно-транспортная накладная также служит основанием:
• для списания товарно-материальных ценностей у грузоотправителя;
• для оприходования этих товарно-материальных ценностей у грузополучателя;
• для учета транспортной работы и других услуг, предоставляемых транспортным предприятием для грузоотправителей и грузополучателей;
• для проведения расчетов между транспортным предприятием и его клиентурой за предоставленные услуги.
Товарно-транспортная накладная содержит следующие данные: дата и место составления накладной; наименование и адрес отправителя груза; наименование и адрес перевозчика; дата и место принятия груза;
место, предназначенное для доставки (место назначения); наименование и адрес получателя груза; общепринятое обозначение характера груза и род его упаковки, а в случае перевозки опасных грузов — их обычно принятое обозначение;
вес груза брутто или выраженное в других единицах измерений количество груза;
число грузовых мест, наличие их специальной маркировки, нумерация мест; • платежи, связанные с перевозкой (провозные платежи, дополнительные платежи, таможенные пошлины и сборы), и другие платежи, взимаемые с момента заключения договора перевозки и до момента сдачи груза получателю;
• сведения о наличии инструкций, требуемых для выполнения процедуры таможенного оформления и других процедур. Товарно-транспортная накладная может содержать также дополнительные данные:
• указание, что перегрузка в процессе перевозки не разрешается;
• платежи, которые обязан осуществить отправитель;
• сумма, подлежащая оплате при сдаче груза к перевозке; объявленная стоимость груза;
• инструкции отправителя перевозчику относительно страхования груза;
• согласованный сторонами договора срок, в течение которого осуществляется перевозка;
• перечень документов, переданных перевозчику отправителем груза.
Путевой лист характеризует выполнение водителем производственных заданий (перевозок), а также учитывает режим работы водителя и автотранспортного средства, расход горюче-смазочных материалов. Служит для оперативного учета. Путевой лист содержит следующие сведения:
1) фамилия, имя, отчество водителя;
2) номер водительского удостоверения;
3) фамилия, имя, отчество диспетчера, выдавшего путевой лист, и его подпись;
4) результат технического осмотра автотранспортного средства механиком;
5) результат медицинского осмотра водителя;
6) показания спидометра при выезде автотранспортного средства на маршрут и возврате с маршрута;
7) марка и количество выданного топлива;
8) род перевозимого груза;
9) время выезда и возврата автотранспортного средства;
10) маршрут движения автотранспортного средства. Перечень личных документов, которые должен иметь водитель при выполнении международных перевозок: 1. Служебный заграничный паспорт с действительными сроками въездных и выездных виз стран, по которым осуществляется поездка.
2. Удостоверение международного образца на право управления автомобилем.
3. Справка на право вывоза иностранной валюты.
4. Медицинский страховой полис.
5. Кредитная заправочная карточка (рекомендуется). Перечень документов на автомобиль, которые должен иметь
водитель при выполнении международных перевозок:
1. Путевой лист.
2. Свидетельство о регистрации автотранспортного средства в ГИБДД.
3. Сертификаты пригодности автотранспортного средства к международной перевозке грузов по экологическим и техническим требованиям.
4. Свидетельство о допущении автотранспортного средства к международной перевозке грузов под таможенными печатями и пломбами.
5. Талон о прохождении технического осмотра в ГИБДД.
6. Документы о страховании гражданской ответственности владельца автотранспортного средства.
7. Разрешение на выполнение автомобильной перевозки на иностранной территории (выдается в АСМАП или стране нахождения).
8. Лицензионная карточка на право выполнения перевозок при международном сообщении.
9. Свидетельство о допущении автотранспортного средства перевозкам скоропортящихся или опасных грузов (при их перевозке).
10. Карнетде пассаж (гарантия временного ввоза транспортного средства в страны Ближнего и Среднего Востока с последующим вывозом).
Сертификат выдается на каждую партию экспортируемого товара, отгружаемого по одному перевозочному документу (накладной).
Сертификат качества выдается только на промышленные товары и составляется по установленной форме или форме, определенной заказчиком. Сертификат о происхождении — это подписанная декларация, объявляющая страну происхождения товара.
Перечень документов на груз, которые должен иметь водитель при выполнении международных перевозок:
1. Книжка МДП (карнет ТIR).
2. Товарно-транспортная накладная (грузовой манифест CMR с прилагаемыми грузоотправителем спецификациями, сертификатами, санитарным паспортом и другими сопроводительными документами (сертификат качества, карантинный сертификат, ветеринарный сертификат).
3. Грузовая таможенная декларация, оформленная грузоотправителем.
4. Справка о страховании ответственности перевозчика (копия страхового полиса).
5. Счет-фактура на груз.
6. Лицензия на экспорт и импорт грузов от Министерства внешнеэкономических связей РФ.
7. Комплект накладных для обратной загрузки транспортного средства.
Счет-фактура — документ, составляемый при отправке груза одним предприятием другому предприятию.
Счет-фактура содержит следующую информацию: реквизиты покупателя и продавца (наименование и адрес каждой из сторон, участвующих в сделке);
• номер счета-фактуры;
• номер и дата заключения контракта поставки и его условия;
• наименование и код товара по ТН ВЭД;
• вид и количество грузовых мест;
Обратите внимание на лекцию "9 Плата за жилое помещение и коммунальные услуги".
• масса груза брутто;
цена за единицу груза и общая стоимость товара;
• дата составления счета-фактуры;
• условия оплаты;
• штамп продавца.
Специальное разрешение — разовое разрешение на проезд автотранспортного средства, максимальная общая и (или) осевая масса или габаритные размеры которого превышают допустимые параметры, установленные для проезда по автомобильным дорогам.





















