Капитализация
Лекция 38. Капитализация
РАЗДЕЛ 0. У БАРБОСА ЕСТЬ ВОПРОСЫ. Иметь или не иметь?
БАРБОС. Имущество, имущество... Хозяин с другом частенько говорит про имущество. Имущество - это то, что имеешь. А что я имею? Намордник... От него мне никакой пользы. Это, вероятно, не мое имущество, скорее всего - хозяина. Другое дело - подстилка. Или будка на даче. Вот это вещи полезные.
ИГОРЬ. Скажи, пожалуйста, мой предприимчивый друг, ты ведь покупал швейные машины для своей мастерской?
АНТОН. Конечно.
ИГОРЬ. А также ткань, нитки, фурнитуру?
АНТОН. Ну, да. Но только ткань, нитки и фурнитуру я постоянно покупаю, а швейные машины я купил.
ИГОРЬ. Ты меня правильно понял. Я хотел поговорить с тобой о капитальных ресурсах, т. е. о производственных ресурсах длительного пользования. Ведь швейная машина используется не так, как ткань.
АНТОН. Конечно. Швейная машина будет служить несколько лет, и с ее помощью будет сшито много курток, брюк и плащей.
Рекомендуемые материалы
ИГОРЬ. Иначе говоря, потребляется не сама машина, а ее услуги. Нельзя ли было бы купить не машину, а только услуги?
БАРБОС. Купить услуги машины без самой машины - прекрасная мысль. Я, признаться, очень не люблю кошек. Но испытываю определенную симпатию к Чеширскому коту. Его улыбка особенно приятна тем, что не требует присутствия самого кота.
АНТОН. В принципе можно. Если взять машину в аренду. В этом случае я покупал бы ее услуги, так сказать, в чистом виде.
ИГОРЬ. И регулярно платил бы за них арендодателю - собственнику машины.
АНТОН. А собственник регулярно получал бы доход, ничего для этого не делая.
ИГОРЬ. Как сказать. Чтобы получать этот доход, он должен был бы предварительно купить машину. Точнее, право собственности на машину. Машина у тебя, а право собственности - у него.
БАРБОС. Голова идет кругом... Всюду чеширские коты...
АНТОН. И обходится это право недешево.
ИГОРЬ. Да, ему пришлось бы отказать себе в каких-то потребительских удовольствиях: может быть, в путешествии, а может быть, в покупке нового телевизора.
АНТОН. Ну, он не навсегда отказывается от потребительских благ. Он их перераспределяет во времени. Можно сказать, что он единовременно платит за весь будущий поток доходов.
ИГОРЬ. То есть он руководствуется теми же мотивами, что и человек, предлагающий деньги взаймы: он отказывается от потребления сейчас для получения дохода потом. Цена, которую он платит, - это, как говорят, капитализированный поток будущих доходов. Ну, а ты зачем купил машины? Ты ведь не сдаешь их в аренду.
АНТОН. Да, но теперь я пользуюсь услугами машин и никому ничего за них не плачу.
ИГОРЬ. Кстати, твоя мастерская использует и капитальные ресурсы совсем другого рода.
АНТОН. Что ты имеешь в виду?
ИГОРЬ. Разработки дизайнера, конструктора, технолога.
АНТОН. Да, верно. У нас прекрасный дизайнер. Мы сейчас шьем по его моделям, и спрос на наши вещи невероятно вырос. Лист бумаги с его эскизом имеет для нас громадную ценность.
БАРБОС. Чувствуется, что любимый писатель Антона - Станислав Ежи Лец. Ведь это его слова: "Исписанная бумага ценится значительно дороже или значительно дешевле чистой - в зависимости от того, кто ее исписал".
ИГОРЬ. Вот видишь. Стало быть, и этот лист бумаги тоже имущество твоей мастерской, и притом весьма ценное. К тому же оно не ломается и не изнашивается.
АНТОН. Да, но устаревает. Надеть прошлогоднюю куртку еще можно, но продать - уже нельзя.
ИГОРЬ. Кстати, куртка - ведь тоже ресурс более или менее длительного пользования.
АНТОН. Да, только не производственный, а потребительский. Ресурс потребления. Каждый раз, надев в ветреную погоду свою уютную куртку, ты потребляешь ее услуги.
ИГОРЬ. Когда мы во втором выпуске говорили о потребительском поведении, мы молча предполагали, что домашнее хозяйство покупает только блага, так сказать, текущего потребления - хлеб, зрелища и так далее.
АНТОН. Давай уточним. Что значит "блага текущего потребления"?
ИГОРЬ. Изволь. С нашей точки зрения, это те блага, которые приносят полезность только в том же периоде, в котором они приобретены. Но потребитель покупает и капитальные блага - мебель, бытовую технику, книги. Ты, кажется, собирался купить велосипед?
АНТОН. Велосипед, между прочим, можно взять напрокат. Как ты полагаешь, в каких случаях выгоднее купить, а в каких - взять напрокат?
ИГОРЬ. Здесь могут быть самые разные обстоятельства. Если ты обычно велосипедом не пользуешься, но друзья приглашают тебя в путешествие на велосипедах на пять дней, то тебе выгоднее взять его напрокат. За те дни, которые ты оплатишь, ты проведешь в седле много времени и проедешь много километров.
АНТОН. Нет, это не для меня. Я люблю иногда прокатиться полчасика, когда есть настроение.
ИГОРЬ. В таком случае тебе лучше купить. Зачем тебе оплачивать почти постоянно простаивающий велосипед?
БАРБОС. Как все-таки хорошо иметь будку в собственности и целыми днями бегать по улице, не думая о том, что будка стоит пустая. И только когда идет дождь, вспоминать, что у тебя есть собственная крыша!
РАЗДЕЛ 1. Цена права собственности
В каких единицах измеряется цена ресурса?
Вопрос может показаться странным, ответ - очевидным: в денежных единицах за единицу ресурса. Скажем, в рублях за тонну, за кубометр и т. д.
Тем не менее мы зададимся этим вопросом, чтобы уточнить некоторые положения теории факторных рынков средствами анализа размерностей. Такой подход хорошо зарекомендовал себя в так называемых точных науках, и если экономика претендует на точность, ее утверждения должны выдержать и испытание методом размерностей.
Как мы знаем, цена спроса фирмы на ресурс определяется величиной предельной выручки от предельного продукта ресурса. Рассматривая функционирование фирмы, мы измеряем выручку денежной суммой, получаемой в единицу времени, и выражаем, например, в руб./мес. Допустим, что фирма использует наряду с другими ресурсами бензин и машины.
Дополнительная выручка измеряется в руб./мес., дополнительное использование бензина - в л/мес. Таким образом, единицей измерения предельной выручки от предельного продукта бензина, а стало быть - и цены бензина, служит:

Именно в этих единицах и выражается цена, по которой производятся покупка и продажа бензина.
Обратимся теперь к цене машины. Дополнительное количество привлекаемых машин измеряется, естественно, в машинах, а дополнительная выручка, как и ранее, - в руб./мес.
Таким образом, для предельной выручки от предельного продукта машин и для их цены получаем в качестве единицы измерения:

Но цена, по которой продаются и покупаются машины, не выражается в рублях за машино-месяц (или в рублях в месяц за машину). В таких единицах выражается цена аренды машины. Таким образом, те принципы формирования цен производственных ресурсов, которые рассмотрены в предыдущих лекциях настоящего выпуска, определяют не цену покупки машины, а цену ее аренды.
Сказанное относится к любым капитальным ресурсам и объясняется характером их производственного использования: они служат в течение более или менее длительного времени, и объем производства связан с количеством ресурса, имеющимся в наличии во время производственного процесса. Можно сказать, что в производственном процессе потребляются не сами капитальные ресурсы, а их услуги, измеряемые количеством ресурса и временем его использования. Ясно, что если в течение месяца фирма потребила услуги оборудования в количестве 30 станко-месяцев, то это равносильно использованию фирмой 30 станков.
Возможность взять и сдать в аренду капитальный ресурс означает существование рынка проката ресурса, или рынка услуг этого ресурса. В то же время станкостроительные заводы не продают станко-часы, строительные фирмы не сдают дома в аренду. Они продают станки и дома покупателям, которые становятся собственниками приобретенного ресурса. Таким образом, существование рынка проката капитального ресурса предполагает наличие также рынка, на котором продаются и покупаются права собственности на этот ресурс.
Какова цель такого приобретения?
Во-первых, собственник может сдать принадлежащий ему ресурс в аренду и затем в течение срока его службы получать доход в виде арендной платы.
Во-вторых, право собственности может приобрести владелец фирмы, применяющей данный ресурс для своих производственных нужд. В величину неявных затрат фирмы войдут альтернативные затраты привлечения собственного капитального ресурса на уровне арендной платы - как неполученный доход от сдачи в аренду. Но никаких выплат за использование собственного ресурса фирма не производит. Если за базу для сравнения принять аренду ресурса, то величина экономических затрат останется без изменения, а владение ресурсом на правах собственности окажется равносильным получению дохода в размере арендной платы.
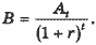
Таким образом, право собственности на капитальный ресурс в любом случае дает собственнику возможность получать доход - явный или неявный - в размере арендной платы. В момент приобретения ресурса покупатель вносит плату в размере капитальной цены (цены права собственности) ради получения в будущем распределенного во времени дохода, определяемого величиной прокатной (арендной) цены. Сделка окажется в интересах покупателя, если ценность ожидаемого дохода покрывает разовый расход в момент покупки. Это условие устанавливает связь между ценами ресурса на двух рынках, т. е. между капитальной и прокатной ценами. Для выяснения того, каким образом формируется капитальная цена, рассмотрим следующую схему использования некоторого ресурса, скажем, станка. Допустим, что домашнее хозяйство покупает станок и сдает его в аренду фирме на весь срок службы. Отметим два обстоятельства. Во-первых, домашнее хозяйство приобретает по существу только право собственности. Станок прямо с завода, где он изготовлен, или, может быть, со склада торгующей организации доставляется в цех фирмы-арендатора и устанавливается там. Собственник может никогда его не видеть. Он только вносит деньги на покупку.
В этом отношении его положение аналогично положению заимодавца: тот, положив деньги в банк или дав их взаймы другим способом, может не интересоваться тем, чту с ними происходит в дальнейшем. Оба заинтересованы лишь в получении дохода, один - от сдачи станка в аренду, другой - от предоставления денег в пользование. Во-вторых, при покупке капитального блага домашнее хозяйство вносит деньги сейчас, а доход получит потом. В этом также аналогия с предоставлением денег взаймы: домашнее хозяйство, приняв решение о покупке бесполезного в бытовом обиходе права собственности на станок, тем самым произвело акт межвременного выбора: оно перераспределило во времени свой доход, расходуемый на потребление. Таким образом, участие в рынке заемных средств в качестве кредитора и в рынке капитальных благ в качестве покупателя - альтернативные, конкурирующие друг с другом способы поведения. Это обстоятельство позволяет утверждать, что сегодняшняя ценность будущих доходов для покупателя ресурса определяется теми же самыми условиями, что и для кредитора. Напомним эти условия. Пусть на рынке заемных средств сложилась норма дохода r за определенный период (например, за год). Доход At через t лет кредитор может получить, дав сегодня взаймы сумму B, удовлетворяющую равенству:
At = B(1 + r)t,
так что:

Это и есть сегодняшняя ценность дохода At, ожидаемого черезt лет. Нам удобно будет в дальнейшем наряду с нормой дохода r использовать другую характеристику изменения ценности во времени - коэффициент дисконтирования[1] за тот же период:
|
|
Если через 1, 2, ..., T лет ожидается получение дохода соответственно A1, A2, ..., At, то сегодняшняя ценность такого потока доходов есть величина:
|
|
Допустим теперь, что At - это величина арендной платы за пользование станком в течение t-го года его эксплуатации. Если свойства станка (производительность, затраты по эксплуатации) с течением времени не изменяются, то величина арендной платы может быть постоянной в течение всего срока службы. Но если станок стареет, производительность его снижается, а уход за ним стоит все дороже, то арендатор не согласится платить за старый станок столько же, сколько за новый, и размер арендной платы будет понижаться, так что в общем случае величины At могут быть различными.
Будем считать, что арендная плата вносится в конце каждого года. Тогда равенство (2) будет выражать сегодняшнюю ценность для инвестора дохода от сдачи станка в аренду.
Пусть P обозначает капитальную цену станка. Захочет ли потенциальный инвестор его купить? Если P > PV, то - нет: тот же доход он может получить, дав взаймы сумму, равную PV, т. е. меньшую, чем нужно заплатить за станок.
Но если капитальная цена ниже сегодняшней ценности аренды, то такая ситуация означает отсутствие равновесия на рынках аренды и покупки станков. Выгодность покупки станков привлечет обладателей свободных денег, что повысит спрос на рынке покупки станков и тем самым повысит капитальную цену. Это с одной стороны. С другой стороны, повысится предложение станков, сдаваемых в аренду, а это снизит их прокатную цену, а значит, величину PV.
В том же направлении произойдет также сдвиг равновесия на рынке заемных средств.
Отказ части домашних хозяйств от предоставления кредитов ради приобретения станков сократит предложение на рынке заемных средств и тем самым вызовет повышение нормы дохода r (понижение коэффициента дисконтирования); это, как показывает равенство (2), опять-таки повлечет за собой снижение PV. Таким образом, в равновесной ситуации на совершенных рынках выполняется равенство , так что правую часть равенства (2) можно рассматривать как значение равновесной капитальной цены:
|
|
В уже упоминавшемся частном случае, когда At = A = const, выражение для капитальной цены упрощается:
|
|
Используя известную формулу для суммы геометрической прогрессии, получим:
|
|
или, окончательно:
| P = A / R (1 - dT). (4) |
Теперь покажем, что полученные результаты носят достаточно общий характер.
Во-первых, при других формах использования капитального ресурса результаты оказались бы теми же самыми. Если бы фирма, располагая достаточными денежными средствами, сама приобрела станок, то альтернативные затраты его производственного использования равнялись бы арендной плате, не полученной фирмой, и должны были бы уравновешиваться неполучаемым процентным доходом от альтернативного использования денежных средств (их можно было бы положить в банк). Если же фирма, не имея своих средств, берет для покупки станка деньги в кредит у банка, то, возвращая долг с процентами в размере арендной платы, фирма должна обеспечить банку (а следовательно, его вкладчикам) получение дохода на уровне нормы.
Проиллюстрируем сказанное числовым примером. Пусть срок службы станка - 3 года, арендная плата - 1000 тыс. р./год; норма дохода по займам составляет 25% в год, так что норма дисконта равна 1/(1+0.25) = 0.8. Тогда в соответствии с равенством (4) равновесная цена станка равна:
P = 1000/0.25(1 - 0.83) = 1952 тыс. р.
Допустим, что фирма берет эту сумму в кредит, обязуясь вернуть долг с 25% годовых в течение 3 лет и выплачивая в качестве возврата долга сумму, равную арендной плате.
Долг к концу 1-го года вырастет до величины 1952·1.25 = 2440 тыс. р., из которых 1000 тыс. р. будет тут же уплачена. Итак, остаток долга к концу 1-го года составит:
1925·1.25 - 1000 = 1440 тыс. р.
К концу 2-го года:
1440·1.25 - 1000 = 800 тыс. р.
Наконец, к концу 3-го года:
800·1.25 - 1000 =0,
фирма полностью рассчиталась с кредитором.
Во-вторых, коэффициент дисконтирования, связывающий прокатные цены с капитальными, - один и тот же для всех капитальных благ, будь то оборудование, земля, строения или компьютерные программы: его величина регулируется рынком заемных средств. Причина этого состоит в том, что денежные средства могут свободно перераспределяться между рынком заемных средств и рынками собственности на все конкретные капитальные ресурсы (напомним, что рынки по предположению являются совершенными). Все эти рынки тесно взаимосвязаны и в совокупности могут рассматриваться как единый рынок - рынок капитала. Структура такого рынка схематически показана на рис. 1.
Проанализируем некоторые принятые нами допущения. Утверждая, что коэффициент дисконтирования один и тот же для всех капитальных благ, мы исходили из того, что покупатель ресурса точно знает величину своих будущих доходов. Но будущее, особенно отдаленное, таит в себе значительную неопределенность. Покупатель рискует не получить ожидаемого дохода. Обычное свойство потребителя - несклонность к риску - означает, что он согласится на рискованное вложение своих средств лишь при условии, что норма процентного дохода окажется больше, чем для вложения с гарантированным исходом, и тем больше, чем выше уровень риска. Не углубляясь здесь в эту проблему, ограничимся лишь констатацией того обстоятельства, что рынок выравнивает доходности (и, следовательно, коэффициенты дисконтирования) для вложений с одинаковым уровнем риска. Таким образом, уровень доходности, формирующий сегодняшнюю ценность предстоящих доходов, зависит, помимо прочих обстоятельств, от риска вложения.

Рис. 1. Рынок капитала. Сдвиг равновесия на рынке заемных средств смещает равновесие на рынках капитальных ресурсов A, ..., D. Сдвиг равновесия на любом из рынков капитальных ресурсов смещает равновесие на рынке заемных средств и тем самым воздействует на рынки остальных ресурсов.
Далее. При обсуждении формирования капитальной цены ресурса мы предполагали, что домашнее хозяйство покупает право собственности на определенный вид ресурса и предоставляет этот ресурс фирме. В действительности домашнее хозяйство гораздо чаще покупает все ресурсы, которые использует фирма. Разумеется, один человек редко приобретает имущество фирмы целиком. Обычно он покупает небольшую его часть. Если фирма принадлежит акционерному обществу, выпустившему 1000 акций, то покупка одной акции означает приобретение права собственности на имущества фирмы, включающего все используемые ею капитальные ресурсы. Рыночная цена акции при этом должна составлять тысячную долю цены имущества фирмы.
Имущество фирмы представляет собой целостный комплекс различных ресурсов, удачное сочетание которых может обеспечить извлечение значительного дохода из их совместного использования. Цена имущества фирмы, как это следует из изложенного выше, определяется сегодняшней ценностью предстоящих доходов.
[1] Термин "дисконтирование" (от англ. discount - скидка) возник в сфере вексельного обращения. По истечении срока погашения векселедержатель получает номинальную сумму. Цена векселя при его покупке ниже номинала на величину, зависящую от времени, оставшегося до истечения срока погашения.
РАЗДЕЛ 2. Вечные и изнашиваемые ресурсы
Вернемся к рассмотренному выше случаю: ресурс в течение всего срока службы сохраняет неизменными свои эксплуатационные свойства, и арендная цена все время остается постоянной. Чем дольше прослужит такой ресурс, тем больше в общей сложности он принесет дохода и тем больше он должен стоить. Капитальная цена такого ресурса описывается равенством (4), в котором влияние срока службы выражается членом dT. Графически зависимость представлена на рис. 2 для значений: A = 100 и r=25 % в год (d = 0.8). С увеличением срока службы цена, естественно, возрастает, но d < 1, и при неограниченном увеличении срока службы величина dT стремится к нулю.
Соответственно капитальная цена стремится к пределу:
| P = A / r (5) |
который может рассматриваться как цена ресурса с бесконечным сроком службы.
Существуют ли такие "вечные" ресурсы? Да, существуют. Примером может служить земля, в особенности если нас интересует не ее плодородность, наличие в ней полезных ископаемых и т. п., а лишь возможность использовать территорию для размещения того или иного производства. В этом отношении с землей с течением времени ничего не произойдет, и равенство (5) показывает цену купли-продажи земли в зависимости от величины арендной платы.

Рис. 2. Зависимость капитальной цены от срока службы ресурса.
Кроме того, существуют "почти вечные" ресурсы. График рис. 2 показывает, что для r = 25 % в год при сроке службы 15 лет цена практически не отличается от предельной. Так как 0.820 ≈ 0.01, срок в 20 лет можно считать "практически бесконечным", если нас устраивает относительная погрешность в 0.01 (с учетом неопределенности будущего нас устроил бы и более грубый результат). Нетрудно подсчитать, что при r = 10 % в год "практическая бесконечность" наступит через 48 лет. Такие сроки службы не являются чрезмерно большими для зданий и многих сооружений, так что и они могут быть включены в число "почти вечных" ресурсов. Теперь обратимся к вопросу о цене подержанного ресурса. Этот вопрос будет нас интересовать не сам по себе. С его помощью нам удастся понять, как изменяется ценность капитального ресурса в течение его срока службы. Допустим, некто решает купить станок; полный срок службы станка составляет T периодов, а возраст станка на момент покупки равен s. Покупатель руководствуется теми же мотивами, что и при покупке нового станка, и равновесная цена станка в возрасте s (обозначим ее Ps) определяется оставшимся до конца срока службы потоком доходов, которые получит новый собственник:

Здесь учтено, что к концу t-го периода владения станком новым собственником возраст станка будет s+t, и доход за этот период составит As+tЗаметим, что равенство (6) описывает также цену нового станка (его возраст при покупке равен нулю), так что выражение (3) может рассматриваться как частный случай при s = 0; цену нового ресурса теперь уместно обозначить P0. Цена нового ресурса называется его первоначальной ценностью. С возрастом ценность ресурса изменяется. Ценность ресурса, достигшего возраста s, определяется равенством (6) и называется остаточной ценностью. Остаточная ценность - это та цена, по которой ресурс мог бы быть продан в том или ином возрасте, вне зависимости от того, будет ли он продан в действительности. В течение срока службы ресурса его ценность изменяется от первоначальной до нуля (при s = T). Величина снижения ценности ресурса за s-й период его службы называется обесценением; для этой величины будем использовать обозначение Ds. В силу определения:
Ds = Ps-1 - Ps.
Выражение для обесценения в течение s-го периода легко получить с помощью следующего рассуждения. Допустим, некто приобретает ресурс в возрасте , в течение одного периода владеет им, получает арендный доход As и продает по цене Ps. Выручка от продажи также является его доходом, так что цена, по которой он купил ресурс, должна удовлетворять равенству:

откуда:

Таким образом:
|
|
В предыдущем разделе мы рассмотрели числовой пример формирования цены ресурса, который служит три года и ежегодно приносит доход, равный 1000 тыс. р. При процентной ставке 25% в год его первоначальная ценность составила 1952 тыс. р. Его обесценение в течение 1-го года составит D1 = 1000 - 0.25·1952 = 512тыс. р., остаточная ценность P1 = 1952 - 512 =1440 тыс. р. Приведем без комментариев следующие результаты:
D2 = 1000 - 0.25·1440 = 640 p.;
P2 = 1440 - 640 = 800 p.;
В итоге станок за три года полностью обесценился: 1952 - (512 + 640 +800) = 0. Сравните промежуточные значения остаточной ценности с ежегодными остатками долга в рассмотренном случае, когда под покупку станка брался кредит и погашался ежегодно в размере арендной платы.
Обесценение, как правило, положительная величина. С течением времени остающийся предстоящий поток доходов сокращается; возможно, ухудшаются также эксплуатационные характеристики ресурса. Но не исключена возможность возрастания остаточной ценности ресурса в отдельные периоды. Допустим, некоторый станок в течение 1-го года эксплуатации приносит небольшой доход из-за того, что его нужно приспособить к работе в данных условиях, устранить скрытые дефекты изготовления и т. д. В течение 1-го года станок "созревает". Если A1 < rP0, то "зрелый" станок в возрасте одного года будет иметь остаточную ценность, превышающую первоначальную, так что D1 < 0.
Перечисленные выше причины обесценения носят технологический характер. Для снижения ценности ресурса по этим причинам раньше использовался термин "физический износ". Но существуют и иные причины обесценения, связанные с условиями хозяйствования. За время функционирования ресурса может снизиться спрос на его услуги. Обычная причина этого связана с появлением в ходе технического прогресса ресурса-субститута, более дешевого или более продуктивного. Кроме того, возможно падение спроса на продукт, производимый с использованием данного ресурса.
Обесценение, вызванное хозяйственными причинами, обозначалось термином "моральный износ".
Оборудование подвержено обесценению под влиянием и физических, и хозяйственных причин. А такие ресурсы, как защищенные авторскими правами конструктивные или технологические решения, компьютерные программы и т. д., физически не стареют, но устаревают и обесцениваются, вытесняясь более совершенными.
РАЗДЕЛ 3. Цена раба
Человек рождается свободным. Но человечество пережило эпохи, когда рабство было нормой. Труд является фактором, который покупают регулярно в каждом периоде производства. Покупая раба, производитель получал в свое распоряжение его труд на очень долгий срок, он приобретал как бы большой запас этого фактора. В хозяйстве существовало два рынка - невольничий рынок, где рабы покупались, и рынок, где их можно было взять напрокат. Как же происходило ценообразование на этих рынках? В условиях рабовладения рабочая сила становится объектом капиталовложений, способом связывания капитала (таким же, как земля или оборудование). Попробуем представить себе, что означает обычный невольник с точки зрения потока затрат и доходов, связанных с его использованием. Предположим, что он живет 45 лет (для раба античного мира это даже слишком много, а для раба Америки ХIХ в. - мало). Отложим этот отрезок времени на оси абсцисс (рис. 3), а на оси ординат будем изображать потоки затрат и доходов. До 5-6 лет ребенка нужно только кормить и одевать. Приблизительно в 6 лет он начинает работать - сначала его производительность невысока, но с каждым годом увеличивается.
На определенном году жизни, обычно это происходит в промежутке между 10 и 15 годами, выручка от продажи его продукта начинает превышать текущие затраты - невольник начинает приносить прибыль (выделено жирным). Этот разрыв продолжает увеличиваться и становится главным источником покрытия расходов тех лет, когда раб прибыли не приносит. К 20 годам невольник достигает зрелого возраста - он и ест, и работает как взрослый раб. До 40 лет он работает в полную силу, причем его производительность немного повышается, достигая максимума в 30 лет. Но потом невольник постепенно теряет работоспособность и в последние несколько лет приносит хозяину опять одни убытки.
Сколько должен стоить такой источник дохода?

Рис. 3. Затраты на содержание и выручка от продажи продукции раба в течение его жизни.
Давайте сначала разберемся с принципами формирования спроса. Когда кто-то хочет купить раба, его совершенно не интересует, чту было истрачено на него и чту было получено от продажи его продукта до этого. Он купит раба только в том случае, если это капиталовложение принесет ему отдачу не меньшую, чем альтернативное вложение денег, например предоставление в долг под проценты. Поэтому максимальная цена раба любого возраста, которую согласится заплатить покупатель, будет равна чистой сегодняшней стоимости будущего потока затрат и доходов. Для раба из нашего примера, достигнувшего 15 лет, это NPV потоков за следующие 25 лет использования, а в возрасте 35 лет это капитализированная прибыль оставшихся 5 лет использования. На рис. 4 изображено изменение этой оценки раба на протяжении всей его жизни. Наибольшего значения эта величина достигает в промежутке между 18-20 годами жизни невольника - как раз в это время его и стараются купить[2].

Рис. 4. Изменение NPV будущих затрат и выручки на протяжении жизни раба.
Поэтому и мы остановимся на рынке рабов этого возраста. Поскольку каждый следующий раб, применяемый любым производителем, приносит все меньший прирост продукта (что выражается в уменьшении длины всех отрезков, изображающих выручку на рис. 3), NPV будущего потока прибыли у него будет меньше, чем у предыдущего. Это означает, что производители будут согласны купить каждого следующего раба за все меньшую цену.
Если мы нанесем на график последовательно убывающую NPV дополнительных рабов для всего хозяйства, то у нас получится не что иное, как кривая спроса на рабов этого возраста (рис. 5).

Рис. 5. Спрос и предложение на рынке 20-летних рабов.
P - цена раба; Q - число рабов.
А что должны получить продавцы, чтобы им было выгодно "выращивать" рабов? Чем определяется предложение на этом рынке?
Обратите внимание, что до года продаж, за исключением последних 2-3 лет, тот, кто "выращивал" раба, имел одни убытки, которые можно рассматривать как последовательно совершаемые инвестиции в объект, который предстоит продать в 20-летнем возрасте.
Если их привести к моменту продажи, то мы получим цену продавца PS, - только зная, что он получит сумму не меньше этой, продавец будет "выращивать" невольника на продажу.
Предположим, что затраты по "выращиванию" раба у всех рабовладельцев одинаковые и приведенные к 20-му году его жизни равны PS. Так число 20-летних рабов в каждый момент времени ограничено, кривая предложения имеет форму, показанную на рис. 5 (кривая S).
В ситуации, представленной на рис. 5, видно, что установится цена PE, превышающая PS.
При этом продавцы рабов получат дополнительную выручку сверх затрат на "выращивание" невольников (заштрихованный прямоугольник на рис. 5), экономическую ренту. Но экономической прибылью она являлась бы только в том случае, если бы продавцы "выращивали" рабов из ничего (например, находили в капусте) или если бы источником рабов были войны и производители подсчитывали бы NPV затрат на покупку и доставку пленных. В нашем случае эта прибыль является просто дополнительной отдачей от женщин-рабов. Поэтому цена женщины должна формироваться таким образом, чтобы включать в капитализированном виде чистую прибыль от продажи в будущем ее детей. Тогда вся выручка от продажи невольников будет для продавцов нормальной отдачей на вложенный капитал.
Рассмотрим рынок, где рабов брали и давали напрокат. В этом случае нам придется на оси абсцисс (рис. 6) отложить число всех рабов в хозяйстве в возрасте от 20 до 40 лет.
Предположим, что все рабы имеют одинаковые способности и все они будут обязательно либо использованы своими владельцами, либо отданы напрокат другим производителям.
Предложение рабов абсолютно неэластично (кривая S на рис. 6). А спрос на рабов определяется их предельной производительностью и выражается кривой МР (каждый следующий раб, используемый в хозяйстве, приносит все меньшую отдачу). Пересечение этих двух кривых дает стоимость предельного продукта рабов на всех видах производств, которая и будет равновесной прокатной платой.

Рис. 6. Определение прокатной платы за использование раба средней производительности.
R - прокатная плата; Q - число рабов.
В каком соотношении находится прокатная плата с ценой раба? Ответ зависит от того, кто несет расходы по содержанию раба - хозяин или использующий раба производитель. Так как скорее всего эти расходы выпадут на долю последнего, прокатная плата будет равна выделенному участку вертикальных отрезков на рис. 3 т. е. прибыли от использования предельного раба. Она должна быть достаточной для того, чтобы владелец раба получил необходимую отдачу на вложенный капитал.
Давайте теперь заглянем в историю мирового хозяйства и посмотрим, не противоречит ли вышеизложенная теория сохранившимся историческим сведениям.
Впервые рабство оформилось в довольно устойчивый способ производства с рынком рабов, рынком их продуктов, рынком капитала в V-IV вв. до н. э. в Древней Греции и вo II-I вв. до н. э. в Древнем Риме (переход рабства из так называемого "патриархального" в "классическое").
Как правило, главным источником рабов в обоих случаях были войны этих государств со своими соседями. За войском следовали работорговцы, которые покупали за бесценок пленных у своих солдат и отправляли их на продажу на родину, получая ту самую капитализированную ренту.
В античном мире рабов покупали для двух видов использования - в доме и на производстве. В первом случае древний римлянин или грек покупал себе слугу, т. е. вкладывал деньги в "говорящий предмет длительного пользования". Сейчас мы так покупаем стиральную машину, кухонный комбайн, пылесос, телевизор, магнитофон и, наконец, автомобиль. А древние состоятельные люди покупали себе прачку, кухарку, уборщицу, танцовщицу, музыканта и носильщиков. В данном случае мы совсем ничего не можем сказать о расчетах покупателя, так как отдача была не денежная, а непосредственно в виде полезностей. Конечно, и здесь покупатель сравнивал ожидаемые выгоды с ожидаемыми затратами, но это уже предмет теории потребления, и в частности ее раздела о потреблении демонстративном. Но спрос потребителей участвовал в образовании общего спроса на рабов и сказывался в конечном счете на их более высокой цене.
Интересно, что цены на женщин, которые использовались именно в домашнем производстве развлечений, были в античном мире несколько выше, чем на мужчин.
Денежная оценка их искусства развлекать оказывалась больше прибыли, приносимой представителями другой половины человечества. Создание семей у рабов в периоды расцвета этих государств выгодным не было (пленные рабы обходились дешевле), и цена рабынь не включала капитализированной прибыли от продажи их детей.
А для этой другой половины существовало множество различных способов занятости. В сельском хозяйстве покупка рабов была одним из видов капиталовложений наряду с покупкой земли, скота и инвентаря. В ремесленном производстве рабы производили все, начиная от изготовления мечей и щитов и заканчивая выделкой флейт и кифар. Древние греки настолько отдалялись от производства, что покупаться и продаваться могли целые мастерские со всем персоналом, включая главного управляющего. Рабы проникали даже в торговлю и банковское дело, выполняя роль агентов своих хозяев.
Сколько же стоили эти рабы? Известно, что во времена Ксенофонта (ок. 435-355 гг. до н. э.) в Афинах средняя цена неквалифицированного раба составляла 2 мины.[3] Она могла колебаться от 1.5 до 2.5 мины, но именно это среднее значение чаще всего встречается в источниках. 2 мины составляла выкупная цена после Персидских войн (479-435 гг. до н. э.), что является не чем иным, как альтернативными затратами продажи пленника на внутреннем рынке.
В работе Ксенофонта "О доходах города Афины" сохранились сведения о широко распространенной прокатной плате[4] за использование одного раба на серебряных рудниках - еще одно место применения рабов, где некоторые греки владели тысячами невольников. Все говорит о том, что это была довольно устойчивая система, которая дает нам возможность проверить вышеизложенные принципы ценообразования.
Прокатная плата 1 обол в день представляла собой именно чистую выручку, так как содержал рабов весь период найма тот, кто их использовал. Таким образом, максимально возможная прибыль в год составляла 360 оболов (0.6 мины).
Срок службы рабов был небольшим, так как и продолжительность их жизни тогда была короче и работа на рудниках очень вредной. Поэтому мы можем взять за основу 10 лет эксплуатации (хотя минимальная продолжительность могла составлять 5 лет, а максимальная - 15).
Процентная ставка для того времени колебалась в пределах 12-18% годовых, но могла подниматься в отдельных случаях до 30%. Для расчетов мы можем взять 20%. Таким образом, в среднем случае (при 10 годах службы раба, 20%-ной ставке процента и прокатной плате 0.6 мины в год за одного раба) по уже известной вам формуле получаем:

что достаточно близко к указываемой источниками цене 2 мины. При более или менее правдоподобных значениях показателей n, r или H цена раба могла колебаться в пределах от 1.3 до 2.8 мины.[5]
2 мины стоил неквалифицированный раб. Конечно же, рабы, обученные какому-нибудь ремеслу или искусству, стоили дороже, так как давали повышенную отдачу по сравнению с необученными. Согласно исследованиям известного историка,[6] в период между Пелопоннесской войной (434-404 гг. до н. э.) и завоеваниями Александра Македонского (334-325 гг. до н. э.) в Древней Греции рабы-ремесленники стоили 3-4 мины, руководители мастерских ("менеджеры" античного производства) - 5-6 мин, рабы, обладающие выдающимися способностями или знаниями, - 10-15 мин, а самые красивые наложницы или танцовщицы - 20-30 мин. По мнению Ксенофонта, уже упомянутый Никий заплатил целый талант за особенно способного ("талантливого") управляющего рабами на его копях.
В III в. до н. э. начинается расцвет другого античного государства - Древнего Рима.
Успешные войны обеспечивают большой приток невольников, и к II в. до н. э. число рабов уже достигает 40% всего населения, а вилла с 20-30 рабами становится основной формой организации земледелия.
К сожалению, мы ничего не знаем о прибыльности этих хозяйств. Главные "учебники по бизнесу" того времени, которые чаще всего носили название "О сельском хозяйстве",[7] содержали подробнейшее описание образцовой виллы с указанием необходимого количества работников, скота, инвентаря - всего вплоть до последнего гвоздя. Но там ничего не говорилось о прибыльности хозяйств и о том, как нужно покупать рабов. "Раб должен работать или спать" - вот главное правило, которым должен был руководствоваться хороший хозяин. Покупая рабов, древние римляне (а также и греки), вероятно, просто ориентировались на приблизительную прибыльность уже существующих хозяйств (что, однако, не мешало ценам на рабов устанавливаться под воздействием принципов, изложенных выше).
Сама цена раба в Древнем Риме хорошо известна - 400-500 денариев. Известно также, что "выращивание" рабов на продажу было неэффективно - оно обходилось примерно в 2 раза дороже, чем покупка захваченного в плен чужеземца. В периоды особо успешных войн невольничьи рынки настолько переполнялись рабами, что цена падала в несколько раз.[8]
Зато в момент наивысшего расцвета Римской империи завоевательных походов становится гораздо меньше, цены на рабов начинают ползти вверх (раб стоит уже 600-700 денариев) и рабовладельцы постепенно становятся заинтересованнымив "выращивании" собственных невольников, поощряя создание у них семей.
Во II в. н. э. рабство в Римской империи начинает идти на убыль, а в V в. совсем исчезает вместе с самой империей. Возможность для возникновения хозяйства, основанного на широком использовании рабов, появляется через тысячу с лишним лет вместе с открытием и освоением европейцами двух континентов - Африки и Америки. Первая обладала неограниченным количеством беззащитного чернокожего населения, а вторая - богатыми запасами незанятой плодородной земли. Сама Европа являлась большим и постоянно растущим рынком для заморских благ - табака и сахара. Оставалось только привести эту машину в действие - переселить часть африканцев в Америку и запустить производство дефицитных продуктов.
Нравы отважных мореплавателей были далеки от совершенства, тем более что часть из них просто была пиратами или контрабандистами. С середины XV в. негров начинают вывозить в Европу, а еще через полвека - в Америку. Заработал экономический механизм обмена трех континентов, названный впоследствии "треугольной торговлей". Дешевые мануфактурные товары Европы - африканские негры - сахар и табак - дешевая мануфактура и т. д.
Сколько стоила жизнь африканца в этом обмене? Он стоил очень дешево на побережье Африки и очень дорого на плантациях за океаном. Трансатлантическая работорговля всегда приносила огромную прибыль. Очевидно, на протяжении всех четырех веков существования этой системы спрос на продукцию плантаций рос быстрее, чем возможность отрасли "трансатлантическая работорговля" увеличивать доставку рабов.
Из чего состояли издержки работорговцев? Вначале негров доставали просто путем разбойничьих захватов, затем стали покупать (сами африканцы доставляли соплеменников на невольничьи корабли). Обмен был бартерным. Пленного негра можно было купить за десяток шляп, несколько брусков железа или пару ружей.
Прибыльность работорговли была настолько высока, что пленников нисколько не берегли. Невольничьи корабли пересекали океан, набитые африканцами как бочки сельдью, и в среднем до берега не доезжала 1/3 пленников. Но если, например, португальским работорговцам на побережье Африки негр обходился в 1-2 испанских доллара, а продавали его в Рио-де-Жанейро по 150-200 дол., то и смертность в 80% не грозила обернуться убытком.
Что интересно, для определения возрастного состояния невольника (а значит, и прибыли, которую можно было потом выжать из него на плантации) был придуман стандарт - Pieza d'India, так называемая единица индийского товара. Ей соответствовал африканец в возрасте 30-35 лет и имеющий рост выше 180 см. Если на вид негру было больше 35, тогда три таких невольника записывались в торговых книгах как две Pieza d'India. Несколько детей могли приравниваться к одной единице и т. д.[9]
Почему в качестве эталона, обладающего максимальной ценностью, был выбран именно 30-летний негр? Потому, что больше 5-7 лет при той системе эксплуатации, которая существовала до ХIХ в., невольник не выдерживал, и следовательно, при прочих равных условиях 30-летний раб давал максимальную отдачу.
Каждые несколько лет население Вест-Индских островов, состоявшее на 80-90% из чернокожих, обновлялось. Дешевизна привозимых пленников делала невыгодным создание семей, поэтому женщин и вывозили в 4 раза меньше и стоили они на 20-30% меньше, чем мужчины.
К счастью для африканцев, в начале ХIХ в. трансатлантическая торговля начинает сокращаться. В 1807 г. Англия и Соединенные Штаты Америки запрещают работорговлю (но не рабство). Часть работорговцев продолжает заниматься этим нелегально, но с начала ХIХ в. контрабандный вывоз негров в Северную Америку перестает быть главным источником рабов на этом континенте. Отношение к ним изменяется. Теперь плантаторы используют негров бережнее, чтобы продлить срок их работы, и поощряют браки между ними (совсем как в Древнем Риме). К 1860 г. чернокожее население в США уже составляет 4 млн человек, хотя контрабандой было ввезено за эти годы всего около полумиллиона. Период 1830-1860 гг. является временем существования наиболее развитой и отлаженной системы использования рабского труда.
Система использования рабов в южных штатах США в 1800-1860 гг. была исследована американскими экономистами в 50-60-х гг. нашего века - тогда шла дискуссия о жизнеспособности и экономической эффективности рабства на Юге перед началом Гражданской войны. Усилия ученых были направлены на вычисление внутренней нормы отдачи на инвестиции в производство хлопка с помощью невольников. На данных из работ этих авторов[10] мы и можем еще раз проверить механизм ценообразования на рабов.
К 1840 г. средняя продолжительность жизни негров была уже ничуть не меньше, чем у белых, и составляла 40 лет. Так как мы хотим рассчитать цену 20-летнего раба, нам нужно знать ожидаемую продолжительность его предстоящей жизни в этом возрасте - она составляла около 30 лет. Следовательно, покупая 20-летнего раба, плантатор рассчитывал эксплуатировать его именно этот срок.
В уже указанный период средняя цена 20-летнего раба составляла 900-950 дол., а 20-летней девушки - 800-850 дол. Попробуем учесть основные элементы потока затрат и выручки и рассчитать цену раба уже известными методами.
Отдача от мужчин состояла целиком из выручки от продажи произведенного ими хлопка.
Количество хлопка, которое мог произвести раб в год, зависело от качества земли и организации производства и колебалось от 3 до 8 тюков.[11] Таким образом, в среднем по производительности хозяйства на одного раба приходилось 5 тюков хлопка в год.
Цены на хлопок были подвержены конъюнктурным колебаниям, но среднее значение составляло 9 центов за фунт. Таким образом, один раб производил продукции примерно на 180 дол. в год.
Из этой выручки нам нужно прежде всего вычесть текущие затраты на содержание раба, составлявшие от 25 до 45 дол. в год в зависимости от того, какая часть питания и одежды производилась на самой плантации. Мы возьмем за основу 45 дол.
Оставшиеся 135 дол. должны включать в себя возмещение расходов на землю и орудия.
Земля служила от 10 до 40 лет, а когда она истощалась, ее просто бросали и покупали новый участок. 10 лет служила плохая алабамская земля, стоившая 6 дол. за акр и требовавшая 30-35 акров для занятости одного раба. Это означало, что каждые 10 лет нужно было инвестировать по 200 дол. При средней ставке процента 8% это означает, что нормальной отдачей от такой земли будет 30 дол. в год. Черноземная почва Миссисипи, служащая 40 лет и стоящая 35-40 дол. за акр, требовалась в меньшем количестве - ее нужно было 17 акров. Итого, такие условия требовали разового вложения на 40 лет 660 дол., нормальной отдачей для которых было бы 55 дол. в год. Так как мы имеем дело со средними условиями, возьмем за основу 45 дол. Инвестиции в инструменты и прочие приспособления (плуги, телеги, вагончики и т. д.) требовались в размере 25 дол. на одного рабочего раз в 15 лет, т. е. должны были давать отдачу 2 дол. в год. Итого, за вычетом всех необходимых расходов по обеспечению занятости одного раба, он давал в среднем 88 дол. чистой ежегодной выручки. Теперь мы можем рассчитать, сколько должен был стоить раб, чтобы отдача составила не менее 8% при 30 годах его жизни.

Мы надеемся, что предмет нашего рассуждения не показался читателю кощунственным - все это существовало в действительности. Мы только хотели показать, как экономические законы действовали даже в таких системах, как рабство. Как сказал Адам Смит, "самая священная и неприкосновенная собственность есть право каждого человека на собственный труд". Не говоря уже о праве на личную свободу.
[2] Валлон А, История рабства в античном мире. М., 1941. С. 80-90; Сочинения Ксенофонта. Киев, 1995. Т. 5. С. 186.
[3] В Древней Греции 6 оболов = 1 драхме, 100 драхм = 1 мине, а 60 мин = = 1 таланту.
[4] "Мы <...> давно слышали, как Никий, сын Никерата, владел в рудниках тысячею рабов; их он отдал в наем финикийцу Соссию под условием, чтобы тот платил с каждого ежедневно 1 обол чистого дохода и сдал обратно то же самое число рабов. У Гиппоника было 600 рабов, которых он отдавал в наем тем же способом, и они приносили ежедневно мину чистого дохода. У Филемонида было 300, приносивших полмины; и у других так же..." (Сочинения Ксенофонта. Т. 5. С. 186). Система была настолько устоявшейся, что Ксенофонт был склонен даже абсолютизировать выгодность серебряных рудников и предлагал государству купить рабов и использовать их там для пополнения казны.
[5] Например, при r = 30% (повышенные альтернативные затраты) P = 1.43 мины, а при r = 12% (пониженные альтернативные затраты) Р = 2.83 мины. При n = 5 годам Р = 1.49 мины, а при n = 15 годам Р = 2.33 мины.
[6] Валлон А. Указ. соч.
[7] Катон М. П. О земледелии М. ; Л., 1950; Варрон Марк Теренций. О сельском хозяйстве. М., 1957; Колумелла Люций Юний Модерат. О сельском хозяйстве. М., 1957.
[8] "Во время особо удачных войн раба иногда продавали за 4 денария..." (Кузищин В. И. История Древнего Рима. М., 1987. С. 107).
[9] Абрамова С. Ю. Африка : Четыре столетия работорговли. М., 1992.
[10] Fogel R., Engerman S. L. The economics of slavery // The reinterpretation of American economic history/ Ed. by R. Fogel, S. L. Engerman. New York, 1971; Conrad A. H., Meyer J. R. The economics of slavery in the Ante-Bellum South. Ibid.; Yasuba Y. The profitability and the United States // Ibid.
[11] "Тюк", или "кипа" (bale), составлял около 400 фунтов хлопка.
РАЗДЕЛ 4. Лизинг
В разделе 1 обсуждалась связь рынков аренды и прав собственности на ресурсы. В отношении некоторых ресурсов у фирм наряду с возможностью приобретения необходимых средств производства имеется другая возможность - взять их в аренду.
Существует много разновидностей аренды, различающихся между собой по типам ресурсов, срочности и иным характеристикам. Здесь речь пойдет об одном из видов, сложившемся на рынке аренды капитальных ресурсов, так называемом лизинге. Термин "лизинг" происходит от английского глагола "to lease", означающего "нанимать", "брать в аренду". Существует ряд определений этого понятия, так или иначе трактующих его как аренду имущества. Однако в хозяйственной практике под лизингом обычно понимают долгосрочную аренду оборудования, машин, транспортных средств и сооружений производственного назначения. Необходимо подчеркнуть, что лизинг - аренда предпринимательская (аренда квартиры - это не лизинг).
Общий механизм лизинга сравнительно прост. Он предусматривает предоставление арендодателем (лизингодателем) арендатору (лизингополучателю) имущества в пользование на определенный срок. За пользование имуществом лизингополучатель производит согласованные периодические платежи. При этом право собственности на имущество сохраняется за лизингодателем. По своему содержанию лизинг порождает отношения, подобные кредитным, и сохраняет сущность кредитной сделки. С другой стороны, по форме лизинг схож с инвестициями, так как лизингодатель и лизингополучатель оперируют с капиталом не в денежной, а в производительной форме.
Прежде чем перейти к более подробному рассмотрению лизинга, расскажем немного об истории его развития.
Лизинг представляет собой сравнительно молодой вид финансовых операций. Первые лизинговые сделки стали осуществляться в XIX в. Так, в Англии особую роль в этом сыграло развитие железнодорожного транспорта и каменноугольной промышленности.
Собственники каменноугольных копей вначале покупали вагоны для перевозки угля, однако вскоре стала очевидна невыгодность такого финансирования. Выработка угля увеличивалась, открывались новые шахты, требовалось все больше вагонов. Небольшие предприятия решили воспользоваться этой ситуацией для выгодного вложения капитала.
Они покупали железнодорожные вагоны для угля и сдавали их в лизинг. Стали появляться компании, единственной целью которых был лизинг железнодорожных вагонов. При составлении договора они стали включать в него опцион (право) на покупку, предоставлявшийся пользователю по истечении срока лизинга. Широкое распространение лизинг получил в США. Многие исследователи ведут отсчет истории лизинга с 1877 г., когда американская компания "Белл телефон К°" приняла решение о сдаче телефонных аппаратов в аренду.
Но отцом современного американского лизинга считается Генри Шонфельд. В 1952 г. он создал компанию для единственной конкретной сделки. Очень быстро он убедился в том, что эта форма таит в себе многие, еще не раскрытые возможности. Он стал организатором известной лизинговой компании "Юнайтед стейтс лизинг корп". Вскоре появилось множество последователей Шонфельда, также открывших для себя преимущества получения доходов от сдачи имущества в аренду. Так, лизинг стал быстро осваиваться в странах континентальной Европы. Например, в 1962 г. была зарегистрирована первая немецкая лизинговая компания "Дойче лизинг ГМБХ". Развитие лизинга привело к появлению законодательных актов, регулирующих эти сделки. В Германии действует Федеральный закон о лизинге 1972 г. Так как лизинг обладает стимулирующим действием как на производителей капитальных ресурсов, так и на их потребителей (развивающиеся фирмы, модернизирующиеся производства и т. д.), государственные органы ряда стран стали вводить различные налоговые льготы для этих сделок.
Предпринятые государствами меры по регулированию лизинговых операций и накопленный опыт способствовали значительному росту числа специализированных лизинговых компаний. Основным видом деятельности этих компаний стало приобретение различных капитальных ресурсов исключительно с целью их сдачи в аренду, т. е. лизинговые операции. Лизингу присущи три основные черты. Первая - долгосрочность, обусловленная длительным сроком службы объектов лизинга. Вторая - высокая стоимость объектов лизинга. И третья - возможность выкупа объекта лизинга лизингополучателем по остаточной стоимости в конце срока контракта.
Рассмотрим, что же представляет собой лизинговая сделка. Классической считается трехсторонняя сделка, участниками которой выступают лизингодатель, лизингополучатель и поставщик имущества. Предположим, что некая фирма A, производящая какой-либо продукт, испытывает потребность в новом оборудовании.
Потребность может быть обусловлена рядом факторов, например расширением рынка сбыта, необходимостью замены износившегося оборудования и т. д. Однако собственных средств фирмы недостаточно для покупки. В этом случае фирма, зная поставщика необходимого оборудования, обращается в специальную лизинговую компанию B с предложением о поставке оборудования на условиях лизинга. Руководство лизинговой компании, проанализировав все необходимые данные, решается на осуществление этого проекта и приобретает требуемое оборудование у поставщика C. Одновременно с покупкой компания B заключает с фирмой A лизинговый контракт, и поставщик передает фирме A оборудование.
За пользование оборудованием фирма A производит периодические платежи лизинговой компании В. Эти платежи должны возмещать амортизацию оборудования и процент на вложенный лизингодателем в сделку капитал. В зависимости от условий лизингового контракта возможны платежи за какие-либо дополнительные услуги лизингодателя (например, ремонт, наладку оборудования). Часто в лизинговой сделке присутствуют и иные участники, такие как страховая компания (страхующая лизинговые платежи, риски, связанные с имуществом), банк или банковский консорциум (финансирующий покупку имущества, например морских судов).
Таким образом, за счет участия лизинговой компании В поставщик С продает свой товар, а фирма A получает необходимое оборудование.
Однако фирма A могла бы получить оборудование и иным способом. Например, купив его на деньги, взятые в кредит. Возможно, что ей удалось бы согласовать приемлемый график выплат процентов и кредита, а в качестве залога было бы выставлено приобретаемое оборудование. В чем же преимущества лизинга? Попробуем ответить на этот вопрос, предположив равенство прибылей, получаемых фирмой A от покупки на кредитные ресурсы и от использования механизма лизинга.
Во-первых, основные средства производства, приобретаемые в лизинг, дают возможность уменьшить инвестиционный риск и риск, связанный с устареванием оборудования. "Аренда - на время", в то время как "покупка - навсегда". Это особенно актуально для фирм, которые высоко оценивают указанные риски, либо для фирм, которым оборудование необходимо на определенный срок для осуществления какого-либо инвестиционного проекта. Во-вторых, периодические лизинговые платежи увязаны со всем сроком аренды, что облегчает финансовое и производственное планирование. В-третьих, предусматриваемая лизинговым контрактом в конце срока возможность возврата или приобретения по остаточной стоимости облегчает принятие решений, связанных с реструктуризацией производства. В-четвертых, при невыполнении проекта, как правило, трансакционные затраты, связанные с возвратом лизингового оборудования, меньше, чем затраты по продаже этого оборудования и расчетам по кредиту.
Однако для осуществления лизинговой сделки необходим капитал, который может быть направлен и в иные сферы инвестирования. Чтобы капитал был направлен именно в финансирование лизинга, инвестор должен видеть те преимущества, которыми обладает эта сфера по сравнению с другими. Рассмотрим привлекательность лизинга с точки зрения инвестора.
Как мы уже упоминали, лизинговая компания часто прибегает к кредитному финансированию со стороны банков, банковских консорциумов, что обусловлено значительной капиталоемкостью сделок. По существу вопрос о направлении денежных ресурсов решается структурами, финансирующими сделки лизинговой компании; внутри же компании решается вопрос об оптимальном распределении ресурсов между возможными проектами.
С точки зрения банка кредитование лизинга можно представить в двух формах: 1) кредитование конкретной сделки лизинговой компании; 2) кредитование лизинговой компании в целом как "портфеля" проектов. В первом случае четко прослеживается целевое назначение кредита, во втором - происходит снижение общего риска проектов за счет диверсификации вложений лизинговой компании. Оба случая позволяют говорить о кредитовании лизинга как о сравнительно надежном виде кредитования.
Следующим преимуществом для банка, кредитующего сделки, является то, что в случае провала проекта заботы по реализации объекта лизинга (или его повторной сдачи в лизинг) лежат на лизинговой компании. Компании, в силу ее специализации, легче распорядиться объектом лизинга в случае его возврата, что приводит к снижению трансакционных издержек. Эти обстоятельства повышают надежность финансирования лизинга с точки зрения инвестора.
Конечно, возможные преимущества для лизингополучателя, лизинговой компании и банка в их реальном выражении проявляются в каждой конкретной ситуации по-разному.
Накопленный опыт финансового менеджмента предоставляет ряд альтернатив как по вариантам кредитования, так и по различным схемам лизинга. Виды лизинга можно было бы классифицировать и по объектам сделок, по объему обслуживания, по составу участников и т. п. Но мы опишем три основные формы, сложившиеся в мировой практике, в которых отражаются экономико-технологические аспекты проведения лизинговых сделок.
Первая форма - операционный лизинг, при котором имущество сдается в аренду на сроки, значительно меньше его полезной работы. В течение срока контракта не происходит полной окупаемости имущества. В случае, если арендатор захочет выкупить имущество в конце срока аренды, выкуп производится по остаточной стоимости имущества. Можно выделить две основные причины выбора такой формы лизинга: лизингополучателю необходимо имущество на определенный срок или лизингополучатель высоко оценивает риск устаревания имущества.
Вторая форма - финансовый лизинг. В противоположность операционному финансовый лизинг предполагает аренду полностью на срок окупаемости имущества, т. е., помимо причитающихся процентов, лизингодатель целиком восстанавливает затраты на покупку имущества в течение срока контракта.
Третья форма - возвратный лизинг (от англ. - lease-back). Сущность этой формы состоит в том, что фирма изначально продает лизинговой компании имеющееся у нее имущество (оборудование, машины и т. д.), а затем использует его, но уже на условиях аренды ("берет его обратно"). Таким образом, фирма единовременно получает требуемую ей денежную сумму, возвращаемую затем с процентами в форме арендных платежей.
Рекомендация для Вас - Контрольные карты и управление процессом.
В заключение отметим, что лизинговые сделки сегодня занимают значительное место в общем объеме инвестиций. Начав свое стремительное развитие в 50-х гг. ХХ в., лизинг стал мощным инструментом финансового управления, в том числе и на международном рынке. Это стало возможным благодаря Оттавской конвенции о международном финансовом лизинге, принятой в мае 1988 г. В настоящее время на лизинговые операции в развитых странах приходится 25-30% инвестиций. Среди европейских стран самую значительную долю лизинговых операций имеют Ирландия (46% от общего объема), Великобритания (около 36%), Чехия. Для России лизинг является пока новым видом бизнеса.
ЗАДАЧИ.
1. Придумайте пример такого потока доходов, связанного с использованием капитального ресурса, что обесценение в течение каких-либо периодов принимает отрицательные значения.
2. Земельный участок стоит 1000 р., а сдача его в аренду приносит доход 100 р. /год. Определить процентную ставку.
3. Орошение земельного участка требует первоначальных затрат в размере 1000 р./га и текущих затрат в размере 50 р./га-год. Процентная ставка равна 10% в год. Какова минимальная цена предложения участка?
4. Первоначальная цена станка 1000. Станок служит 5 лет и равномерно обес-ценивается, т. е. обесценение за каждый год работы составляет 1000/5 = 200. Процентная ставка составляет 0.25 в год. Определить поток доходов.



(1)
(2)
(3) 

(7) 


















