Финансово-экономические возможности оценки инвестиционных вложений
Тема 3. Финансово-экономические возможности оценки инвестиционных вложений
3.1. Определение будущей и настоящей стоимости денежных средств
В основе концепции стоимости денег во времени лежит следующий основной принцип: денежная единица сейчас стоит больше, чем денежная единица, которая будет получена в будущем, например через год, так как он может быть инвестирован и это принесет дополнительную прибыль. Данный принцип является наиболее важным положением во всей теории финансов и анализе инвестиций. На этом принципе основан подход к оценке экономической эффективности инвестиционных проектов.
Данный принцип порождает концепцию оценки стоимости денег во времени. Суть концепции заключается в том, что стоимость денег с течением времени изменяется с учетом нормы прибыльности на денежном рынке и рынке ценных бумаг. В качестве нормы прибыльности выступает норма ссудного процента или норма выплаты дивидендов по обыкновенным и привилегированным акциям.
Учитывая, что инвестирование представляет собой обычно длительный процесс, в инвестиционной практике обычно приходится сравнивать стоимость денег в начале их инвестирования со стоимостью денег при их возврате в виде будущей прибыли. В процессе сравнения стоимости денежных средств при их вложении и возврате принято использовать два основных понятия: настоящая (современная) стоимость денег и будущая стоимость денег.
Будущая стоимость денег представляет собой ту сумму, в которую превратятся инвестированные в настоящий момент денежные средства через определенный период времени с учетом определенной процентной ставки. Определение будущей стоимости денег связано с процессом наращения (compounding) начальной стоимости, который представляет собой поэтапное увеличение вложенной суммы путем присоединения к первоначальному ее размеру суммы процентных платежей. В инвестиционных расчетах процентная ставка платежей применяется не только как инструмент наращения стоимости денежных средств, но и как измеритель степени доходности инвестиционных операций.
Настоящая (современная) стоимость денег представляет собой сумму будущих денежных поступлений, приведенных к настоящему моменту времени с учетом определенной процентной ставки. Определение настоящей стоимости денег связано с процессом дисконтирования (discounting), будущей стоимости, который (процесс) представляет собой операцию обратную наращению. Дисконтирование используется во многих задачах анализа инвестиций. Типичной в данном случае является следующая: определить какую сумму надо инвестировать сейчас, чтобы получить например, $1,000 через 5 лет.
Таким образом, одну и ту же сумму денег можно рассматривать с двух позиций:
а) с позиции ее настоящей стоимости
б) с позиции ее будущей стоимости
Причем, арифметически стоимость денег в будущем всегда выше.
Рекомендуемые материалы
В процессе анализа инвестиционных решений принято использовать сложные проценты. Сложным процентом называется сумма дохода, которая образуется в результате инвестирования денег при условии, что сумма начисленного простого процента не выплачивается в конце каждого периода, а присоединяется к сумме основного вклада и в следующем платежном периоде сама приносит доход.
Основная формула теории процентов определяет будущую стоимость денег:
, (3.1)
где P - настоящее значение вложенной суммы денег,
F - будущее значение стоимости денег,
n - количество периодов времени, на которое производится вложение,
r - норма доходности (прибыльности) от вложения.
Простейшим способом эту формулу можно проинтерпретировать, как определение величины депозитного вклада в банк при депозитной ставке r (в долях единицы).
Существо процесса наращения денег не изменяется, если деньги инвестируются в какой-либо бизнес (предприятие). Главное, чтобы вложение денег обеспечивало доход, то есть увеличение вложенной суммы.
Пример 1. Банк выплачивает 5 процентов годовых по депозитному вкладу. Согласно формуле (4.1) $100, вложенные сейчас, через год станут
.
Если вкладчик решает оставить всю сумму на депозите еще на один год, то к концу второго года объем его вклада составит
,
или по формуле (4.1)
.
Процесс наращения стоимости $100 по годам можно представить в виде таблицы
| Год | Обозначение | Стоимость денег |
| 0 | P | $100 |
| 1 | F1 | $105 |
| 2 | F2 | $110.25 |
| 3 | F3 | $115.76 |
| 4 | F4 | $121.55 |
| 5 | F5 | $127.63 |
Настоящее (современное) значение стоимости определенной будущей суммы денег определяется с помощью формулы
, (3.2)
которая является простым обращением формулы (3.1).
Пример 2. Пусть инвестор хочет получить $200 через 2 года. Какую сумму он должен положить на срочный депозит сейчас, если депозитная процентная ставка составляет 5%.
С помощью формулы (3.2) легко определить
.
Величина r интерпретируется как ставка дисконта и часто называется просто дисконтом.
Рассмотренный в примере (3.2) случай можно интерпретировать следующим образом:
$181.40 и $200 - это два способа представить одну и ту же сумму денег в разные моменты времени - $200 через два года равносилен $181.40 сейчас.
3.2. Влияние инфляции при определении настоящей и будущей стоимости денег
В инвестиционной практике постоянно приходится считаться с корректирующим фактором инфляции, которая с течением времени обесценивает стоимость денежных средств. Это связано с тем, что инфляционный рост индекса средних цен вызывает соответствующее снижение покупательной способности денег.
При расчетах, связанных с корректировкой денежных потоков в процессе инвестирования с учетом инфляции, принято использовать два основных понятия
- номинальная сумма денежных средств,
- реальная сумма денежных средств.
Номинальная сумма денежных средств не учитывает изменение покупательной способности денег. Реальная сумма денежных средств - это оценка этой суммы с учетом изменения покупательной способности денег в связи с процессом инфляции.
В финансово-экономических расчетах, связанных с инвестиционной деятельностью, инфляция учитывается в следующих случаях:
- при корректировке наращенной стоимости денежных средств,
- при формировании ставки процента (с учетом инфляции), используемой для наращения и дисконтирования,
- при прогнозе уровня доходов от инвестиций, учитывающих темпы инфляции.
В процессе оценки инфляции используются два основных показателя:
- темп инфляции Т, характеризующий прирост среднего уровня цен в рассмотренном периоде, выражаемый десятичной дробью,
- индекс инфляции I (изменение индекса потребительских цен), который равен 1+Т.
Корректировка наращенной стоимости с учетом инфляции производится по формуле
(4.3)
где
- реальная будущая стоимость денег,
Fn - номинальная будущая стоимость денег с учетом инфляции.
Здесь предполагается, что темп инфляции сохраняется по годам.
Если r - номинальная ставка процента, которая учитывает инфляцию, то расчет реальной суммы денег производится по формуле:
, (3.4)
то есть номинальная сумма денежных средств снижается в (1+Т)n раза в соответствии со снижением покупательной способности денег.
Пример 3. Пусть номинальная ставка процента с учетом инфляции составляет 50%, а ожидаемый темп инфляции в год 40%. Необходимо определить реальную будущую стоимость объема инвестиций 200,000 тыс. руб..
Подставляем данные в формулу (4.4), получаем

Если же в процессе реального развития экономики темп инфляции составит 55%, то

Таким образом, инфляция “съедает” и прибыльность и часть основной суммы инвестиции, и процесс инвестирования становится убыточным.
В общем случае при анализе соотношения номинальной ставки процента с темпом инфляции возможны три случая:
- r = T : наращение реальной стоимости денежных средств не происходит, так как прирост их будущей стоимости ПОГЛОЩАЕТСЯ инфляцией
- r > T : реальная будущая стоимость денежных средств возрастает несмотря на инфляцию
- r < T : реальная будущая стоимость денежных средств снижается, то есть процесс инвестирования становится УБЫТОЧНЫМ.
Взаимосвязь номинальной и реальной процентной ставок.
Пусть инвестору обещана реальная прибыльность его вложений в соответствии с процентной ставкой 10 %. Это означает, что при инвестировании 1,000 тыс. руб.. через год он получит 1,000 х (1+0.10) = 1,100 тыс. руб.. Если темп инфляции составляет 25 %, то инвестор корректирует эту сумму в соответствии с темпом: 1,100 х (1+0.25) = 1,375 тыс. руб.. Общий расчет может быть записан следующим образом
1,000 х (1+0.10) х (1+0.25) = 1,375 тыс. руб..
В общем случае, если rр - реальная процентная ставка прибыльности, а Т - темп инфляции, то номинальная (контрактная) норма прибыльности запишется с помощью формулы

Величина rз + rзT имеет смысл инфляционной премии.
Часто можно встретить более простую формулу, которая не учитывает “смешанный эффект” при вычислении инфляционной премии

Эту упрощенную формулу можно использовать только в случае невысоких темпов инфляции, когда смешанный эффект пренебрежимо мал по сравнению с основной компонентой номинальной процентной ставки прибыльности.
3.3. Наращение и дисконтирование денежных потоков
Поскольку процесс инвестирования, как правило, имеет большую продолжительность в практике анализа эффективности капитальных вложений, обычно приходится иметь дело не с единичными денежными суммами, а с потоками денежных средств.
Вычисление наращенной и дисконтированной оценок сумм денежных средств в этом случае осуществляется путем использования соответствующих формул (3.1) и (3.2) для каждого элемента денежного потока.
Элемент денежного потока принято обозначать CFk (от Cash Flow), где k - номер периода, в который рассматривается денежный поток. Настоящее значение денежного потока обозначено PV ( Present Value), а будущее значение - FV ( Future Value).
Используя формулу (3.1), для всех элементов денежного потока от 0 до n получим будущее значение денежного потока
(3.5)
Пример 4. После внедрения мероприятия по снижению административных издержек предприятие планирует получить экономию $1,000 в год. Сэкономленные деньги предполагается размещать на депозитный счет (под 5 % годовых) с тем, чтобы через 5 лет накопленные деньги использовать для инвестирования. Какая сумма окажется на банковском счету предприятия?
Решим задачу с использованием временной линии.

Таким образом, через 5 лет предприятие накопит $5,526, которые сможет инвестировать.
В данном случае денежный поток состоит из одинаковых денежных сумм ежегодно. Такой поток называется аннуитетом. Для вычисления будущего значения аннуитета используется формула
, (3.6)
которая следует из (3.5) при CFk = const и CF0 = 0.
Расчет будущего значения аннуитета может производиться с помощью специальных финансовых таблиц. Дисконтирование денежных потоков осуществляется путем многократного использования формулы (3.2), что в конечном итоге приводит к следующему выражению:
(3.7)
Пример 5. Рассмотрим денежный поток с неодинаковыми элементами CF1=100, CF2=200, CF3=200, CF4=200, CF5=200, CF6=0, CF7=1,000, для которого необходимо определить современное значение (при показателе дисконта 6%). Решение проводим с помощью временной линии:

Дисконтирование аннуитета (CFj = const) осуществляется по формуле
(3.8)
Пример 6. Предприятие приобрело облигации муниципального займа, которые приносят ему доход $15,000, и хочет использовать эти деньги для развития собственного производства. Предприятие оценивает прибыльность инвестирования получаемых каждый год $15,000 в 12 %. Необходимо определить настоящее значение этого денежного потока.
Решение проведем с помощью таблицы:
| Год | Множитель при 12% | Поток денег | Настоящее |
| 1 | 0.893 | $15,000 | $13,395 |
| 2 | 0.797 | $15,000 | $11,955 |
| 3 | 0.712 | $15,000 | $10,680 |
| 4 | 0.636 | $15,000 | $9,540 |
| 5 | 0.567 | $15,000 | $8,505 |
| 3.605 | $75,000 | $54,075 |
По результатам расчетов мы видим, что
- дисконтированное значение денежного потока существенно меньше арифметической суммы элементов денежного потока,
- чем дальше мы заходим во времени, тем меньше настоящее значение денег: $15,000 через год стоят сейчас $13,395; $15,000 через 5 лет стоят сейчас $8,505.
Современное значение бесконечного (по времени) потока денежных средств определяется по формуле:
, (3.9)
3.4. Сравнение альтернативных возможностей вложения денежных средств с помощью техники дисконтирования и наращения
Техника оценки стоимости денег во времени позволяет решить ряд важных задач сравнительного анализа альтернативных возможностей вложения денег. Рассмотрим эту возможность на следующем примере.
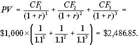
Пример 7. Комплексное пояснение к временной стоимости денег. Рассмотрим поток $1,000, который генерируется какой либо инвестицией в течение 3 лет. Расчетная норма прибыльности инвестирования денежных средств предприятия составляет 10 %.

Попытаемся последовательно ответить на ряд вопросов, связанных с различными ситуациями относительно этого потока и его использования.
Какова современная стоимость этого потока?

Какова будущая стоимость $2,486.85 на конец 3 года? (то есть если бы мы вложили деньги в банк под r = 10% годовых)?

Какова будущая стоимость потока денежных средств на конец 3-го года?

Мы получили одинаковые ответы на второй и третий вопросы. Вывод очевиден: если мы инвестируем в какой-либо бизнес $2,486.85 и эта инвестиция генерирует заданный поток денег $1,000, $1,000, $1,000, то на конец 3-го года мы получим ту же сумму денег $3,310, как если бы просто вложили $2,486.85 в финансовые инструменты под 10% годовых.
Пусть теперь величина инвестиции составляет $2,200, а генерируемый поток такой же, что приводит к концу 3-го года к $3,310.
Инвестирование $2,200 в финансовые инструменты под 10% даст, очевидно,
. Значит нам более выгодно инвестировать в данном случае в реальный бизнес, а не в финансовые инструменты.
Как изменится ситуация, если норма прибыльности финансового вложения денег r станет выше, например 12%.
По-прежнему мы инвестируем $2,486.85 в бизнес, и это приводит к потоку денежных средств $1,000 каждый год в течение 3-х лет. Современное значение этого потока

уменьшилось и стало меньше исходной суммы инвестиций $2,486.85.
Сравним будущее значение исходной суммы $2,486.85 и потока денежных средств, который генерирует инвестирование этой суммы в бизнес:
;

1.5 Характер государственности - лекция, которая пользуется популярностью у тех, кто читал эту лекцию.
Выводы, которые можно сделать на основе сравнения этих значений таковы:
a) инвестирование суммы $2,486.85 в финансовые инструменты под 12% годовых приведет к $3,493.85 через 3 года,
б) инвестирование суммы $2,486.85 в бизнес, который генерирует денежный поток $1,000 каждый год в течение 3-х лет, приведет к $3,374.40 к концу 3-го года.
Очевидно, что при норме прибыльности 12% инвестировать в бизнес не выгодно.
Данный вывод имеет простое экономическое объяснение. Дело в том, что инвестирование денег в финансовые инструменты начинает приносить доход сразу же, начиная с первого года. В то же время, инвестирование денег в реальные активы позволяет получить первую $1,000 только к концу первого года, и она приносит финансовый доход только в течение оставшихся двух лет. Другими словами, имеет место запаздывание сроков начала отдачи в случае инвестирования реальные активы по сравнению с инвестицией в финансовые инструменты. И если при норме прибыльности 10 процентов оба варианта вложения денег равносильны в смысле конечной суммы “заработанных” денег, то увеличение нормы прибыльности делает инвестицию в финансовые инструменты более выгодной.
Возвратимся к количественному сравнению эффективности альтернативного вложения денег.






















