Действие электромагнитного излучения на вещество и ткани живых организмов
Действие электромагнитного излучения на вещество и ткани живых организмов
Ткани живых организмов по электрическим свойствам можно разделить на три группы, в соответствии с содержанием в них воды: на суспензию клеток и белковых молекул жидкой консистенции (кровь, лимфа), аналогичную суспензию, находящуюся в уплотненном состоянии (мышцы, кожа, печень, и т.п.) и ткани с малым содержанием воды (жир, кости).
Клетки, коллоидные частицы, молекулы белка и другие микрочастицы, будучи взвешены в растворе электролита, приобретают дипольный момент. Электрические заряды в тканях представлены также дипольными молекулами воды и ионами электролитов.
1.1.1. Свойства тканей в постоянных полях

В постоянном электрическом поле ткани в той или иной степени поляризуются – заряженные частицы перемещаются вдоль силовых линий, дипольные молекулы ориентируются в этом же направлении. Если постоянное напряжение приложено непосредственно к ткани, то в ней возникает электрический ток, связанный с ионной проводимостью.
Каждая клетка окружена мембраной, обладающей поверхностной емкостью в пределах 0.1÷0.3 мкФ/см2 и поверхностным сопротивлением до 10 кОм×см2. Межклеточная и внутриклеточная среды имеют сопротивления порядка 100÷300 Ом×см2 и диэлектрическую проницаемость около 80.
При постоянном напряжении мембрана ведет себя как изолятор и ток может протекать только во внеклеточной среде. Возможно явление электрофореза – переноса электрически заряженных частиц (клеток, макромолекул).

Рекомендуемые материалы
Дисперсия свойств тканей в переменных полях
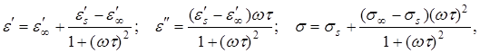
Имеются три частотных диапазона, в которых наблюдается изменение e’ и s’ (или r = 1/s или e’’) тканей в зависимости от частоты: a-дисперсия при низких частотах, b-дисперсия при радиочастотах и g-дисперсия при сверхвысоких частотах.
На низких частотах (в случае a-дисперсии) клеточные мембраны успевают зарядиться за один период ионами вне и внутри клетки. Следовательно, полный заряд велик и емкость ткани значительна, что эквивалентно высокой диэлектрической проницаемости ткани. Низкочастотные токи идут только во внеклеточной среде, что обуславливает низкую удельную проводимость тканей. С ростом частоты уменьшается емкостное сопротивление мембраны клетки и возрастает участие внутриклеточной среды в общей проводимости ткани. По мере возрастания частоты (b-дисперсия) e’ уменьшается до тех пор, пока период не становится столь малым, что мембраны не успевают заряжаться (для крови это происходит на 100 МГц).
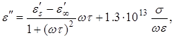
Характер g-дисперсии при частотах выше 1 ГГц удовлетворительно объясняется полярными свойствами молекулы воды. Кривые дисперсии достаточно хорошо согласуются с уравнениями Дебая

если в выражение для
ввести член, учитывающий ионную проводимость:
Если Вам понравилась эта лекция, то понравится и эта - Парижские революции (кратко).

где t – время релаксации для молекулы воды (порядка 10-11с), а s - ионная проводимость, не зависимая от частоты.
Параметры чисто жировых тканей практически не зависят от частоты в диапазоне выше 100 МГц, тогда как у тканей, состоящих из жировых клеток, окруженных электролитической средой, наблюдается дисперсия. Для костных тканей дисперсия удовлетворяет уравнениям Дебая при времени релаксации 0.7×10-11 с и с поправкой на ионную проводимость.
Поглощение энергии ЭМП в тканях и преобразование ее в тепловую
Преобразование энергии ЭМП в тепловую одна из возможных причин любых биологических эффектов, вызываемых ЭМП от низких частот до СВЧ. На этой основе были разработаны и получили широкое распространение методы применения ЭМП высоких, ультравысоких и сверхвысоких частот для лечения различных заболеваний.
В НЧ и ВЧ диапазонах преобразование энергии ЭМП в тепловую связано в основном с потерями проводимости, возникающими за счет выделения в тканях джоулева тепла индуцированными в них ионными токами.





















