Биоценоз экосистемы
Биоценоз экосистемы
1.1.1. Динамика биоценоза как результат межвидовых взаимодействий
Понятие о биоценозе, введенное К. Мёбиусом в 1877 г., сыграло важную роль в становлении системной концепции в экологии, сосредоточивая внимание исследователей на взаимодействиях между видами и возникающими вследствие этого целостными свойствами биологических сообществ. В отношении биоценоза сложились разные представления – от точки зрения Ф. Клементса (1928) и его последователей на биотическое сообщество как на организм высшего порядка (суперорганизм) до практического отрицания объективных оснований для концепции биоценоза в работах Л. Г. Раменского (1924), Г. Глизона (1926) и других исследователей.
В нашем понимании биоценоз – это совокупность всех популяций биологических видов, принимающих существенное участие в функционировании данной экосистемы. То есть биоценоз – это живая часть экосистемы.
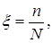
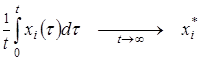
В каждый момент времени t биоценоз имеет определенное видовое богатство (видовую насыщенность), которое измеряется числом входящих в него популяций различных видов – n(t), и количественный состав, характеризуемый набором из n(t) чисел x1(t),…,xn(t)(t), обозначающих численности или плотности этих популяций.
Среди разнообразных группировок видов в пределах биоценоза наибольшее теоретическое и практическое значение имеют консорции, выделяемые на основе трофических и топических отношений, и гильдии, отражающие функциональную близость между видами.
Консорцией называется совокупность видов, связанных пищевыми или прочими (топическими, фабрическими и др.) связями с некоторым видом, называемым эдификатором или детерминантом консорции, в качестве которого обычно выступает растение-автотроф. Гильдия определяется как группа видов, использующих один и тот же класс ресурсов среды одинаковым способом. Таким образом, понятие «гильдия» и «трофическая группировка» оказываются синонимами.
1.1.2. Видовое разнообразие стационарных биоценозов
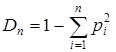
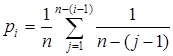
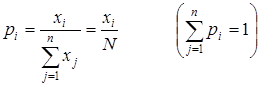
С каждым из n видов биоценоза сопоставим некоторый показатель значимости pi (i = 1,2,…,n), рассматриваемый как мера относительного доминирования или участия данного вида в сообществе или в его функционировании. В качестве показателя значимости вида может использоваться процентная доля вида в первичной продукции сообщества или доля дыхания данного вида в общем дыхании видов биоценоза. При рассмотрении сообществ, составленных из особей сравнимого размера, биомассы и метаболизма, в качестве показателя значимости (доминирования) допустимо использовать просто индекс относительного обилия, иногда выражаемый в процентах.
Рекомендуемые материалы
.
Из общего числа видов сообщества в целом обычно лишь немногие бывают доминирующими, то есть имеют значительную численность (большую биомассу, продуктивность и т.п.); большая же часть относится к редким видам. Правда, иногда доминантные виды отсутствуют, а имеется большое число видов со средним значением показателя значимости.
Видовое разнообразие слагается из двух компонентов:
1) видового богатства, которое характеризуется общим числом имеющихся видов
где
;
2) выравненности, основанной на относительном обилии или другом показателе значимости вида и положении его в структуре доминирования.
Видовое разнообразие увеличивается при увеличении размеров площади и при продвижении от высоких широт к экватору. В сообществах же, подвергающихся стрессовым воздействиям, видовое разнообразие невелико; но, кроме того, оно может снижаться в результате конкуренции в старых сообществах, существующих в стабильной физической среде.
Большую роль играют два других типа разнообразия:
1) структурное разнообразие;
2) генетическое разнообразие, то есть поддержание генотипических гетерозиготности (присутствие в хромосоме доминантных и рецессивных признаков), полиморфизма и другой генотипической изменчивости, которая вызвана адаптационной необходимостью в природных популяциях.
Уменьшение видового и генотипического разнообразия, происходящее вследствие деятельности человека, ставит на грань риска возможность будущих адаптаций как в природных экосистемах, так и в агроэкосистемах.

Для изучения видового разнообразия принято строить кривую относительного доминирования-разнообразия, введенную в рассмотрение Уиттэкером (1965): по оси x (абсцисс) отложена ранжированная последовательность номеров видов i от наиболее значимого до наименее значимого, а по оси y (ординат) – величина показателя зависимости pi соответствующего вида, обычно в логарифмическом масштабе.
Выделяют три основных типа поведения кривой относительного доминирования, соответствующих различным типам взаимодействий между видами в сообществе.
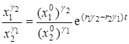
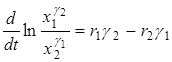
Кривая 1 отвечает ситуации, когда члены сообщества находятся в сильной зависимости от некоторого ресурса, распределенного вдоль одномерного континуума, причем имеет место случайное, но без пересечений распределение частных ниш видов вдоль координатной оси данного ресурса (так называемая модель «разломанного стержня » Р. Мак-Артура). Показатель значимости в этом случае ведет себя в соответствии с формулой
.
Подобный тип рангового распределения наиболее часто встречается в немногочисленных по числу видов группировках таксономически близких животных в четко ограниченных однородных биоценозах, как, например, группировка птиц, гнездящихся на ограниченном участке леса, а также справедлива для высших животных с активной конкуренцией, устойчивой численностью и высокой продолжительностью жизни.
Кривая 2, представляющая собой прямую, изображает случай так называемого «геометрического » распределения и соответствует следующей схеме относительного доминирования: первый вид занимает половину доступного пространства ниш, второй – половину оставшегося пространства (25% исходного) и т.д. В более общем случае существует фиксированное число с (0 £ с £ 1), такое, что
p1 = cp, где 
p2 = c(p - p1) = c(1 - c)p , p3 = c(p - p1 - p2) = c(1 - c)2 p
……………………
pi = c(1 - c)i-1 p
или в логарифмическом виде
log pi = (i - 1) log (1 - c) + log c + log p ,
откуда видно, что величина pi как функция ранга i изображается на полулогарифмической шкале прямой линией с угловым коэффициентом log (1 - c). Геометрическое распределение относительного доминирования обнаруживается в группировках, состоящих из небольшого числа видов, которые состоят в жесткой конкуренции за ограниченные ресурсы, нередко в суровых условиях внешней среды. Получаемую круто падающую прямую 2 можно рассматривать в качестве альтернативы для относительно пологой кривой 1, соответствующей распределению Мак-Артура.
Эти две кривые представляют крайние случаи, обычно же распределение в природе имеет вид промежуточной S-образной кривой 3, что указывает на более сложный характер дифференциации и перекрывания ниш. Распределение, изображаемое кривой 3, называется логнормальным. Это связано с тем, что гистограмма распределения логарифмов ln pi по октавам (диапазонам значений pi, отличающихся на границах в 2 раза) приближается по форме к нормальному распределению. Значения nj (число точек, попавших в данную октаву j) для различных октав с номерами j = …,-2,-1,0,1,2,… (где 0 – октава с наибольшим числом точек) могут быть аппроксимированы выражением
,

где s – мера рассеяния относительно модального класса j=0, которая для большинства анализируемых видовых группировок находится в пределах 1£s£5.
Логнормальное распределение относительного доминирования характерно для сообществ с высокой видовой насыщенностью, в условиях, когда «успех» того или иного вида определяется большим числом относительно независимых и однородных по силе влияния факторов. В этом случае ниши многомерны и перекрываются.
В общем расположение видов по степени значимости кривая доминирования не только точно отражает богатство и относительное обилие видов как компонентов видового разнообразия, но и объясняет, каким образом подразделяется пространство ниш. Чем выше кривая и чем более она уплощена, тем больше при данном числе видов общее разнообразие. Чем круче идет кривая, тем меньше общее разнообразие и сильнее доминирование одного или нескольких видов. В стрессовых ситуациях независимо от того, вызваны ли они естественными причинами (погодными условиями) или антропогенным воздействием, кривая становится более крутой. Таким образом, кривую доминирования можно использовать для оценки влияния нарушений на видовую структуру.
Кроме видового богатства и типа рангового распределения для характеристики сообществ используется так называемый показатель (индекс) разнообразия, который количественно отражает не только общее число видов, но и особенности количественного состава сообществ. К наиболее часто употребимым относят показатель разнообразия по Симпсону

показатель разнообразия по Шеннону

и показатель выравненности Пиелу
E = H / ln n .
Оба показателя разнообразия обладают тем свойством, что они принимают максимальное значение при равенстве долей всех видов в сообществе, то есть при p1 = p2 = … = pn = 1/n (
)

.
С другой стороны, когда доля какого-нибудь одного вида, например i-го, стремится к 1, а всех остальных – к нулю, оба показателя также стремятся к нулю:
, 
Из двух обобщенных индексов показатель Симпсона придает обычным видам больший вес, поскольку при возведении в квадрат малых значений pi получаются очень малые величины. Индекс Шеннона придает больший вес редким видам. Так как индекс Шеннона заимствован из теории информации и представляет собой формализацию, которая широко используется при оценке сложности и содержания информации в любых типах систем, он лучше всего подходит для целей сравнения в тех случаях, когда нас не интересуют компоненты разнообразия по отдельности.
При построении Ю. Одумом гистограммы для показателя разнообразия Симпсона для разных биоценозов выяснилось, что полученная гистограмма оказалась бимодальной: выделилась одна большая группа биоценозов с низким разнообразием (0.05 – 0.2) и другая большая группа со сравнительно высоким разнообразием (0.7 – 0.85). Во всей выборке не оказалось биоценоза с примерно равными значениями показателей относительного доминирования (p1 = … = pn = 1/n), когда индекс разнообразия приближается к своему максимальному значению, то есть к 1.
В группу с низким биотическим разнообразием попали: 1) экосистемы, находящиеся в состоянии стресса под действием внешних сил или притоков вещества или энергии, как в случае загрязненных рек или заливов, или экосистемы, активно регулируемые человеком, как посевы сельскохозяйственных культур или лесные плантации; 2) экосистемы, постоянно получающие большие количества высококачественной энергии или полезных веществ. Биоценозов со средним (около 0.5) разнообразием оказалось сравнительно мало.
Группы с высоким разнообразием образованы многими естественными экосистемами, не получающими извне концентрированной энергии или биогенных материалов и живущими только за счет солнца, например, степи, леса и большие озера.
Эти данные свидетельствуют о том, что видовое богатство и разнообразие биоценозов формируется в результате приспособления к силе и количественному составу приходящего энергетического потока. «Стратегия» природы состоит в увеличении разнообразия, но только до пределов, пока это не приводит к снижению эффективности использования ресурсов биоценоза. Следовательно, существует некоторый оптимум разнообразия, определяемый эффективностью экосистемы как энергетической машины. При больших внешних энергетических субсидиях в экосистеме эффективна простая, но специализированная структура с низким видовым разнообразием, способная использовать эти благоприятные условия более эффективно, чем менее специализированная совокупность видов.
В условиях ограниченного энергетического притока более выгодным для поддержания стационарного состояния экосистемы представляется высокий уровень разнообразия: порядка 0.7÷0.8. В этом случае достигается определенная надежность использования дефицитного источника энергии благодаря наличию многих альтернативных путей ее обесценивания.
1.1.3. Динамика популяций в биоценозах
Популяции в биоценозах обычно находятся в тесном взаимодействии. Одна популяция часто влияет на скорость роста или смертность другой. Так, члены одной популяции могут поедать членов другой популяции, конкурировать с ними за пищу, выделять вредные подавляющие развитие вещества или взаимодействовать с ними другим способом. Точно так же популяции могут быть полезными друг для друга, причем польза в одних случаях оказывается обоюдной, а в других – односторонней.
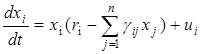
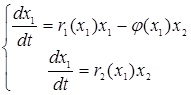
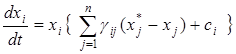
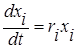
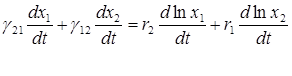
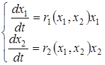
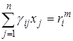
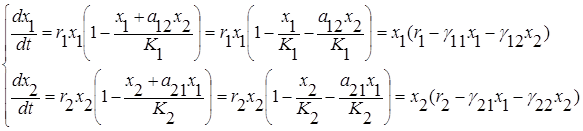
Для выяснения действий различных факторов в сложных природных ситуациях полезно пользоваться «моделями» в форме уравнений. Построение большинства моделей взаимодействия в биологических сообществах опирается на описание взаимодействия с помощью системы дифференциальных уравнений относительно численности видов xi(t). В предположении постоянства внешних и внутренних экологических факторов {v1,v2,…,vm} = const, а также без учета возрастной структуры популяций, динамику биоценоза, вызываемую межвидовыми взаимодействиями, можно описать с помощью системы дифференциальных уравнений вида
.
где функции fi(….) , стоящие в правых частях, представляют собой частные функции отклика абсолютных скоростей изменения плотности популяций на значения самих этих плотностей, равные разности абсолютных скоростей размножения и гибели при фиксированных значениях экологических факторов:
fi(x1,…,xn) = Bi(
,…,
, x1,…,xn) – Di(
,…,
, x1,…,xn).
То есть функции fi(…) описывают скорость изменения численности популяций в зависимости от структуры видовых взаимодействий.
Данная модель воспроизводит динамику видового состава биоценоза под влиянием одних биотических взаимодействий между популяциями, каждая из которых описывается на уровне полного внутрипопуляционного агрегирования, поскольку функции fi(…) зависят только от плотности популяций. Модели подобного типа называются биоценотическими моделями динамики популяций.
Предположим, что функции fi(…) не зависят явным образом от времени и рассматриваемая система дифференциальных уравнений является изолированной. Тогда из равенства xi = 0 вытекает fi(x1, x2,…, xi-1, 0, xi+1,…,xn) = 0 и fi(…) представимы в виде:
fi(x1, x2, …,xn) = xi ri(x1, x2, …,xn),
где ri(…) – удельная скорость изменения плотности популяции i-го вида (или обобщённый коэффициент прироста).
В простейшем случае в некоторой рассматриваемой области изменения плотностей популяций Xi= {xis£xi(t)£xie, i =1,.., n} удельные скорости изменения каждой популяции достаточно точно аппроксимируются линейными функциями плотностей
ri (x1, x2, …,xn) = rim -
,
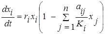
что приводит к системе уравнений
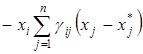
, (i= 1, 2, …, n).
Модели такого типа в литературе по экологии принято называть вольтерровскими. Здесь
- скорость естественного прироста в отсутствии остальных видов, то есть биотический потенциал i-го вида;
- показатели внутривидового взаимодействия, они отражают характер взаимодействия видов. Матрицу

обычно называют матрицей сообщества или матрицей взаимодействия. Коэффициенты
матрицы Г влияют на коэффициент естественного прироста численности i-го вида при отсутствии других видов. Если
>0, то говорят о наличии внутривидовой конкуренции или самолимитирования по численности i-го вида. Как видно, для случая одного вида данная система преобразуется к виду логистического уравнения, описывающего динамику популяций в среде с ограниченными ресурсами.
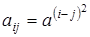
Влияние j-го вида на i-й вид задано с помощью произведения
в соответствии с гипотезой «встреч и эквивалентов ». Число встреч особей видов i и j за время dt равно
. В результате этих встреч происходит сокращение численности вида i на величину
, где
указывает на долю особей вида i, которые истребляются при встрече (0£
£1). В тоже время число особей вида j возрастает на величину
с некоторым коэффициентом пропорциональности, называемым эквивалентом. Таким образом, происходит немедленное преобразование биомассы вида i в биомассу вида j.
Представляет интерес нахождение стационарного состояния вольтерровской системы, то есть такой комбинации численностей популяций
, при которых производные
(скорости) обращаются в нуль. Положение равновесия вольтерровской системы должно удовлетворять системе уравнений
=0 (i= 1, 2, …, n).
Так как нас интересуют только положительные и ненулевые решения, то есть
, то искомое положение равновесия является решением системы уравнений
(i= 1, 2, …, n).
или в матричной форме
ГХ = R ,
где R =
, 
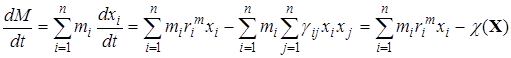
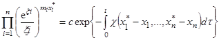
Рассмотрим проблему устойчивости получаемого решения вольтерровской системы. При исследовании таких систем Вито Вольтерра рассматривал два подкласса таких систем – консервативные и диссипативные.
Для указанного рассмотрения проанализируем, как изменяется общая масса биоценоза
,
где
– среднее значение биомассы особей вида i. На траекториях системы, задающей поведение скорости изменения численностей популяций
, общая биомасса сообщества будет изменяться в соответствии с уравнением
.
Если квадратичная форма
такова, что
,
то вольтерровская система называется консервативной. Если же квадратичная форма
положительно определена, система называется диссипативной.
Таким образом, для консервативных систем характерен неограниченный рост общей биомассы сообщества. В диссипативной системе рост общей биомассы замедляется вследcтвии влияния взаимодействия видов.
Для консервативной системы должно выполнятся:
, i, j = 1,2,…,n .
Таким образом, коэффициенты
и
имеют противоположные знаки или одновременно равны нулю.
Рассмотрим функцию Ляпунова вольтерровской системы

и вычислим производную этой функции вдоль траектории вольтерровской системы, представленной в соответствии с
в следующем виде
.
Имеем

или
.
Если система консервативна, то это выражение тождественно равно нулю. Функция V(X) является функцией Ляпунова для системы
=
и достигает минимального значения в точке
. Поскольку производная функции V(X) тождественно равно нулю для всех
, то положение равновесия X* устойчиво.
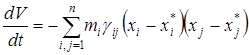
Для консервативных систем в случае невырождённости матрицы Г и при чётном n первый интеграл имеет вид

Отсюда следует, что при X* > 0 численности всех видов ограничены сверху и снизу положительными константами, и если X0 ≠ X*, то по крайней мере один вид имеет незатухающие колебания численности. Причём средние значения численности

Это свойство называется законом асимптотических средних.
В диссипативных системах квадратичная форма c(X) положительно определена. Отсюда следует, что все gii > 0, то есть все виды должны обладать самолимитированием. Это говорит о том, что классы консервативных и диссипативных систем не пресекаются. Ещё одним необходимым условием диссипативности является неравенство нулю определителя матрицы Г, откуда сразу следует единственность решения системы ГХ=R. И, наконец, последнее необходимое условие состоит в том, что все главные миноры матрицы Г положительны.
Если Х* > 0, то для диссипативных систем первый интеграл системы имеет вид
,
где xi = xi / xi*, c > 0. Поскольку квадратичная форма c положительно определена, то, как показал В. Вольтерра, Х(t) ® Х* при t®¥ при любих начальных значениях Х0 = Х(0) Î Rn+ .
Кроме того, на траекториях диссипативной системы получаем dV/dt £ 0 для всех Х(t) Î Rn+ , причём равенство dV/dt = 0 выполняется только при Х(t) = Х*. Это означает, что Х(t) ® Х* при t ® ¥, и положение равновесия асимптотически устойчиво при любых начальных данных из Rn+ , то есть областью асимптотической устойчивости является весь неотрицательный ортант.
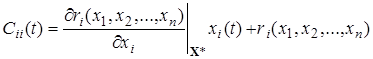
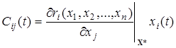
Для решения вопроса о локальной устойчивости получаемого стационарного состояния Х*=Г-1R необходимо установить вид структурной матрицы системы Лотки-Вольтерра в точке Х*. Элемент (ij) этой матрицы определяют влияние j-го вида на динамику i-го вида
.
Поскольку функция fi(…) представима в виде
,
то при i ¹ j имеем
,
а при i = j имеем
.
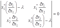
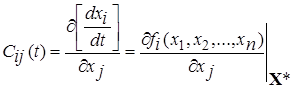
Таким образом, матрица С(t) = êêСij(t) êê (i = 1..n, j = 1...n) даёт исчерпывающую количественную характеристику всей совокупности биотических отношений между популяциями биоценоза в рассматриваемый момент времени t и поэтому называется структурной матрицей биоценоза.
Для системы Лотки-Вольтерра элементы структурной матрицы в стационарной точке Х* имеют вид
;
.
Теперь вопрос о локальной устойчивости точки Х* может быть решён путём применения одного из известных критериев, например, критерия Рауса-Гурвица.
1.1.4. Классификация биотических взаимодействий
Структурную матрицу биоценоза С(t) удобно использовать для классификации биотических взаимодействий между видами. Рассматривая пару видов (i,j), качественную характеристику взаимодействий между ними характеризуют парой знаков элементов структурной матрицы биоценоза Сij и Сji, то есть вводят в рассмотрение пару символов
,
каждый из которых может принимать значения "+", "0" или "-", в зависимости от направления влияния численности одного вида на скорость роста другого вида.
Выделяют следующие пары взаимодействий видов:
| влияние первого вида на второй | влияние второго вида на первый | ||
| 1. | Нейтрализм | 0 | 0 |
| 2. | Аменсализм | - | 0 |
| 3. | Комменсализм | + | 0 |
| 4. | Конкуренция | - | - |
| 5. | Жертва-эксплуататор | + | - |
| 6. | Паразитизм | + | - |
| 7. | Протокооперация | + | + |
| 8. | Мутуализм | + | + |
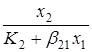
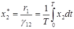
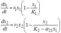
1.1.5. Аменсализм (-, 0)
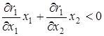
К этому типу взаимодействия ((-,0) или (0,-)) относятся межвидовые отношения самой различной природы, проявляющиеся в том, что один из видов взаимодействующей пары в биоценозе оказывает отрицательное воздействие на рост другого (С21 < 0), хотя сам не испытывает существенного влияния с его стороны (С12 » 0).
Аменсализм во взаимоотношениях растений связан с выделением одним из видов органического ингибитора, подавляющего рост другого вида; во взаимоотношениях микроорганизмов – с выделением одним из видов специфического вещества – антибиотика, отрицательно воздействующего на другие микроорганизмы (антибиоз), во взаимоотношениях между микроорганизмами, растениями и животными – с выделением одним из видов токсинов.
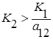
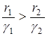
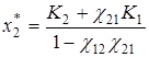
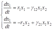
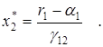
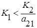
Динамика двухвидовой системы с аменсализмом описывается системой уравнений

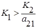
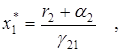
где K2 – ёмкость среды для второго вида при отсутствии первого, а коэффициент a21 показывает, на сколько уменьшается ёмкость среды при увеличении плотности первого вида на единицу. При К2/К1 > a21 существует единственное устойчивое стационарное состояние
, при котором сосуществуют оба вида и к которому сходятся решения из любого начального состояния ( x10, x20 ) > 0. При К2/К1 < a21 система имеет единственное устойчивое стационарное состояние ( х1* , х2* ) = ( К1, 0), при котором численность второго вида равна нулю.
На фазовой плоскости для анализа траекторий системы строят две линии, на которых одна из компонент скорости изменения обращается в ноль:
.

Таким образом, если коэффициент ингибирования a21 относительно мал (a21< К2/К1), оба вида могут существовать, хотя стационарное значение численности аменсала снижается (по сравнению с К2) до более низкого значения К2 - a21К1. Если же коэффициент ингибирования достаточно велик (a21 > К2/К1), то происходит полное вытеснение вида-аменсала.
1.1.6. Комменсализм (+, 0)
К этой категории относятся разнообразные случаи отношений между двумя видами, когда первый вид, называемый «хозяином », положительно воздействует на второй, называемый «комменсалом », хотя последний никак не влияет на «хозяина». Наиболее распространенная форма комменсализма, (которую, порой, не совсем правильно называют «нахлебничеством »), когда комменсал тем или иным способом получает от хозяина пищу, обеспечивая тем самым свое существование. Кроме того, положительное влияние хозяина на комменсала может заключаться в предоставление жилища («квартиранство »), укрытия, места для прикрепления; наконец, хозяин может способствовать распространению и размножению комменсала, выполняя роль переносчика его взрослых особей или зародышей («форезия »).
В зависимости от способности комменсала существовать самостоятельно, не пользуясь услугами хозяина, различают факультативный и облигатный комменсализм.
Математическая модель облигатного комменсализма имеет вид:
= r1x1 (1 -
)
= r2x2 (1 -
) ,
где K2 – емкость среды для комменсала при отсутствии хозяина,
– коэффициент, показывающий, насколько увеличится K2(x1) = K2 +
x1 при увеличении плотности x1 на единицу. Для этой модели существует единственное устойчивое состояние (
) = ( K1, K2 +
K1).

Мутуализм (+, +)
Отношением мутуализма между двумя видами называется взаимно положительное влияние их друг на друга, которое, в конечном счете, проявляется в том, что увеличение численности любого из них вызывает увеличение скорости роста численности другого.
Иногда путают понятия мутуализма и симбиоза. В строгом смысле термин «симбиоз » охватывает все случаи тесного и устойчивого сожительства организмов разных видов, то есть комменсализм, эксплуатацию (паразитизм) и мутуализм. В то же время, некоторыми авторами это понятие применяется в более узком смысле, как синоним мутуализма.
Мутуалистические отношения между видами достаточно широко распространены в природе и играют заметную роль в функционировании и эволюции экосистем. Одним из ярких примеров мутуализма в природе является лишайник, который, как оказалось, представляет собой взаимовыгодное сожительство водоросли и гриба. Особенно важными с точки зрения влияния на функционирование экосистем являются мутуалистические взаимодействия зеленых растений (главных производителей органического вещества) с азотофиксирующими микроорганизмами (прокариотами) и грибами, которые осуществляют биологическую фиксацию атмосферного азота.
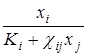
При математическом описании динамики мутуализма целесообразно, также как для аменсализма и комменсализма, исходить из логистического уравнения. Если взаимное влияние вида проявляется в том, что при увеличении численности каждого из них пропорционально увеличиваются и ёмкость среды для другого (например, путем образования новых укрытий, мест для прикрепления, гнездования), то динамика численности видов хорошо описывается системой дифференциальных уравнений вида:
= xiri (1 -
) (i = 1,2; i
j),
где коэффициенты χij > 0, фигурирующие в знаменателе, показывают, на сколько увеличится емкость среды для i-го вида при увеличении численности j-го на единицу.
В других случаях взаимодействие симбионтов может происходить таким образом, что каждый производит вещества, необходимые для роста другого, и для описания динамики популяций удобна другая (эквивалентная) форма логистического уравнения
= xi (ri -
) (i = 1,2; i
j),

где
=
– определяет самолимитирование i-го вида, а коэффициент
показывает на сколько изменяется удельная скорость роста i-го вида при изменении численности j-го на единицу.
При биологически содержательных значениях параметров ri, Ki, χij,
> 0 рассматриваемые системы дифференциальных уравнений характеризуются наличием единственной устойчивой стационарной точки, координаты которой в первом случае равны
;
;
а во втором
;
.
Фазовый портрет системы уравнений мутуализма имеет вид, приведенный на рисунке.
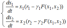
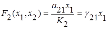
1.1.7. Конкуренция в широком смысле или интерференция (-, -)
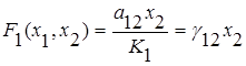
Конкуренцией в широком смысле (предпочтительнее употреблять термин «интерференция ») называют любое взаимно отрицательное отношение между видами. Её частными случаями являются: 1) конкуренция (в узком смысле слова) за тот или иной ограниченный ресурс (соперничество); 2) взаимное аллелопатическое ингибирование (антагонизм) и 3) непосредственная «борьба» между представителями разных видов (агрессия).
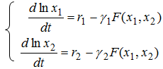
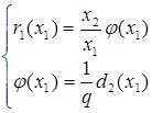
Вначале рассмотрим простейшую модель взаимодействия двух видов в условиях конкуренции за общий ресурс (пищу). Выразим коэффициент прироста каждой из популяций в виде
ri =
-
(i = 1, 2),
где
– положительный коэффициент, характеризующий потребность в пище каждого из видов; F(x1, x2) – скорость потребления пищи. Предположим, что функция F(x1, x2) обращается в нуль при x1 = 0 и x2 = 0 и монотонно неограниченно возрастает по каждой из переменных.
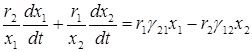
Тогда динамика развития популяций может быть описана системой дифференциальных уравнений
.
Перепишем её в виде
.
Исключая отсюда функцию F(x1, x2), получим

или
.
Решение этого уравнения имеет вид
,
где
и
– численности популяций в начальный момент времени t = 0.
Прежде всего, следует отметить, что указанные решения системы должны быть ограничены на бесконечности, то есть при
. Это связано с тем, что в силу монотонного неограниченного возрастания функции
по каждой из переменной при
обязательно наступит момент, когда скорость изменения xi станет меньше нуля, то есть xi начнет убывать.
.
Для дальнейшего анализа полученного решения положим для определенности, что
. Тогда отношение
будет бесконечно возрастать, то есть
. Отсюда в силу ограниченности x1 и x2 получаем, что
.
Это означает, что численность второй популяции, для которой значение
меньше, убывает, стремясь к нулю, в то время, как численность первой стремится к значению, определяемому из уравнения
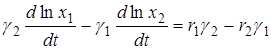
. Это подтверждает интуитивный вывод о том, что исчезает вид, обладающий меньшим коэффициентом естественного прироста и более чувствительный к нехватке пищи.
Полученные результаты также подтверждают известный принцип Гаузе, согласно которому два вида с одинаковыми экологическими потребностями не могут сосуществовать в одном месте обитания.
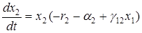
Необязательно два конкурирующих вида не могут сосуществовать вместе и один из видов должен исчезнуть. Указанный результат был получен для простейшей модели, не учитывающей саморегуляцию численности видов. Рассмотрим случай конкуренции с саморегуляцией, описываемой логистическим уравнением, когда взаимодействие видов несимметрично и описывается линейной функцией вида
;
.
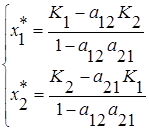
Это так называемая модель Лотки-Вольтерра для двухвидовой системы с конкуренцией

где ri – удельная скорость роста и Ki – ёмкость среды для i-го вида при отсутствии конкуренции, а положительные безразмерные коэффициенты а12 и а21 служат мерой относительного влияния видов друг на друга;
(i =1,2; i¹j).
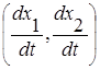
Поведение решений данной системы удобно охарактеризовать с помощью метода фазовых портретов на плоскости с координатами (x1, x2). В каждой точке траектории решения (x1(t), x2(t)) на фазовой плоскости может быть отображён вектор скорости, имеющий координаты
, то есть правые части системы дифференциальных уравнений определяют вектор скорости.
Как видно из указанной системы, знаки производных dx1/dt и dx2/dt совпадают со знаками линейных функций
l1(x1, x2) = k1 - x1 - a12x2
l2(x1, x2) = k2 - x2 - a21x1
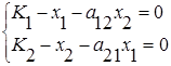
и эти же линейные функции определяют на фазовой плоскости геометрическое место точек, где указанные производные обращаются в нуль, в виде линейных уравнений:
| l1(x1, x2) = k1 - x1 - a12x2 = 0 Þ x1 = k1 - a12x2 |
| l2(x1, x2) = k2 - x2 - a21x1 = 0 Þ x2 = k2 - a21x1 . |
При этом производная
будет положительной под прямой li(x1, x2) = 0, равной нулю – на прямой, и отрицательной – над ней. Используя эти данные, в каждой точке (x1, x2) мы можем качественно определить направление движения на проходящей через неё траектории.
Если пренебречь вырожденными случаями параллельности и совпадения, то возможны следующие четыре варианта взаимного расположения прямых l1 и l2 на фазовой плоскости:
1. Прямая l1 располагается целиком выше l2, то есть
и
, что эквивалентно
и
. Первый вид как более сильный конкурент всегда будет вытеснять второй, независимо от их начальных численностей (
).
|
|
|
2. Прямая l2 целиком лежит выше l1, то есть
и
, что эквивалентно
и
. Всегда побеждает второй вид.
|
|
|
3. Прямые l1 и l2 пересекаются в положительном квадранте и при этом l1 падает круче, чем l2, то есть
и
, что эквивалентно
и
. Существует единственное положение равновесия (
), координаты которого удовлетворяют системе линейных уравнений

и равны

и которое устойчиво, так что из любого начального состояния
система с течением времени переходит в равновесное состояние (
), характеризуемое нулевыми численностями обоих видов.
|
|
|
4. Прямые l1 и l2 пересекаются в положительном квадранте так, что l2 падает круче, чем l1 то есть
и
, что эквивалентно
и
. Исход конкуренции определяется начальным соотношением численностей, в зависимости от начального соотношения плотностей
произойдёт вытеснение первого или второго вида.
|
|
|
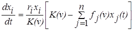
1.1.8. Понятие экологической ниши и уравнения конкуренции
Пусть V – пространство экофакторов. Предположим, что ресурс, потребляемый входящими в сообщество популяциями, характеризуется вектором
, а его объём ограничен величиной K(v). Функцию K(v) обычно называют спектром ресурса. Потребление ресурса видом і характеризуется функцией предпочтения fi(v), называемой часто функцией потребления. Наиболее предпочитаемый ресурс vi, соответствующий максимальному значению функции fi, принято называть центром ниши.
Пусть xi(t) – численность (биомасса) популяции i в момент времени t. Тогда произведение fi(v)xi(t) описывает объём ресурса v, потребляемого видом i. Разность
указывает на потенциальную возможность сосуществования популяций, потребляющих ресурс v. Если эта разность достаточно велика, то можно считать, что численность популяции увеличивается в соответствии с законом
(i=1,2,…,n).
Будем считать, что на рост популяции влияет относительная истощённость ресурса в точке v, равная
.
При этом динамика численности популяции i будет описываться уравнением
.
Обозначим
. Выражение Ki имеет смысл общего объёма ресурсов, потребляемых видом i и называется ёмкостью ниши. Умножив уравнение на fi(u) и проинтегрировав по всему пространству ресурсов V, получим
,
где
называются коэффициентами конкуренции. Обозначив
, запишем уравнение конкуренции следующим образом :
.
Эта система является диссипативной, поскольку при
квадратичная форма

при всех x ¹ 0.

Таким образом, если существует положительное решение системы уравнений GC = R с коэффициентами из выше рассмотренного уравнения конкуренции, то оно является положением равновесия, асимптотически устойчивым в целом в положительном ортанте
.
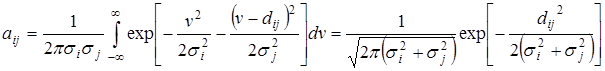
Пусть функция потребления имеет гауссовский вид:
,
где
– дисперсия нормального распределения.
Обозначим через dij расстояние между центрами vi и vj. Тогда коэффициенты конкуренции принимают вид

Если все распределения имеют одинаковую дисперсию
и
, то
,
.
Перепишем коэффициенты конкуренции в виде
,
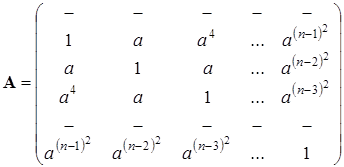
. Тогда получим матрицу конкуренции

Величиной
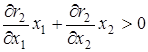
обычно характеризуют плотность видовой упаковки сообщества или меру близости экологических ниш. Диссипативность матрицы
сохраняется при всех даже достаточно малых значениях
. Поэтому положительное положение равновесия будет асимптотически устойчиво при видовой упаковке любой плотности.
1.1.9. Отношения типа «жертва-эксплуататор» (+ , -)
К этой категории биотических отношений принадлежат любые отношения между двумя видами, при которых увеличение плотности популяции первого («жертвы») влечет за собой увеличение скорости роста популяции второго («эксплуататора»), тогда как увеличение плотности популяции второго вызывает уменьшение скорости роста популяции первого вида.
Наиболее важными примерами такого рода являются отношения:
1) растения и травоядного животного;
2) жертвы и хищника (в узком смысле этих терминов);
3) хозяина и паразита.
Из наблюдений над природными и антропогенными экосистемами известно, что при взаимодействиях типа «жертва-эксплуататор» возможны следующие основные «сценарии», изображающиеся характерными типами фазовых портретов на плоскости (x1, x2), где x1 – плотность популяции жертвы, а x2 – эксплуататора:
1. «Ускользание» жертвы от неэффективного эксплуататора.

Вид-эксплуататор не способен прокормиться за счет данной жертвы и со временем вымирает (
при
), а сама жертва после некоторого переходного процесса достигает определенной стационарной численности
. Такое развитие событий нередко бывает при попытках применения «биологического» метода борьбы с вредителем путем введения в рассматриваемую экосистему хищника или паразита, уничтожающего вредный вид.
2. Эксплуататор полностью истребляет жертву, после чего сам погибает от голода. Вид-эксплуататор слишком эффективен в поисках жертвы, прожорлив и быстро размножается, в результате чего он полностью истребляет жертву, после чего и сам погибает от голода. Например, травоядные на островах, лишенных хищников, выедают всю растительность и вымирают (см. рис. ниже).

3. Существование «жестко» устойчивого стационарного состояния. Из любого начального состояния
система жестко (то есть без колебаний) переходит в стационарную точку
. Этот вариант соответствует ситуации, когда эксплуататор достаточно эффективен и может быстро снижать численность жертвы до низкого стационарного уровня
, вблизи которого начинают действовать некоторые механизмы, препятствующие полному истреблению жертвы, как, например, наличие укрытий, трудность обнаружения редких экземпляров, наличие иммунной прослойки и резкое ограничение числа контактов в изреженной популяции жертвы.

4. Наличие «мягко» устойчивого стационарного состояния, переход к которому осуществляется через затухающие колебания. Из любого начального состояния
после переходного процесса с затухающими колебаниями система стремится к своему исходному состоянию
, в котором жертва и эксплуататор могут устойчиво существовать неограниченно долго. Такой режим весьма характерен для взаимодействия растений и копытных растительноядных.

5. Существование устойчивого колебательного режима типа «предельного цикла» . Из любого начального состояния
траектория системы стремится к единственной замкнутой траектории, движение по которой осуществляется с периодом T, то есть в системе возникают автоколебания численностей популяций. Наличие периодичных колебаний численностей видов, необъяснимых колебаниями внешних климатических факторов, всегда ставила в тупик биологов. И лишь исследования Лотки-Вольтерра позволило объяснить эти колебания на основе математического моделирования системы «жертва-хищник».

В 1936 г. А. Н. Колмогоров предложил использовать для описания динамики системы «жертва-хищник» следующую систему уравнений
, (К.1)
где
и
- удельные скорости роста жертвы и эксплуататора. Методами качественной теории дифференциальных уравнений удалось доказать, что если функции
и
удовлетворяют ниже перечисленным условиям.
1)
– численность жертв возрастает, когда оба вида малочисленны;
2)
– удельная скорость прироста популяции жертвы является убывающей функцией численности эксплуататора;
3)
– размножение эксплуататоров замедляется с ростом их численности;
4)
,
– при постоянном отношении численностей жертв и эксплуататоров размножение жертв замедляется с увеличением числа эксплуататоров, а размножение эксплуататоров стимулируется увеличением числа жертв;
5)
– существует критическая для эксплуататора численность жертвы
, ниже которой он не может размножаться;
6)
,
– существуют предельно высокие численности жертвы
и эксплуататора
, после достижения которых рост жертвы прекращается.

В этом случае необходимым и достаточным условием существования в модели (К.1) устойчивого стационарного состояния (сценарии 3 и 4) или устойчивого колебательного режима (сценарий 5) будет выполнение неравенства
.
При этом когда
– емкость среды для жертвы, намного превосходит плотность популяции жертвы в стационарном состоянии
, то можно ожидать наличия устойчивого предельного цикла
. Если же
и
различаются не очень сильно, то точка
будет устойчивым стационарным состоянием. В частности, достаточным условием существования предельного цикла является не отрицательность действительной части характеристического уравнения (
):
,
где все частные производные вычислены в стационарной точке (х1*, х2*) .
Более содержательным является анализ менее общей модели, предложенной также Колмогоровым:
,
где r1(x1) = b1(x1) - d1(x1) – удельная скорость прироста жертвы в отсутствии эксплуататоров, r2(x1) = qj(x1) - d2(x1) – удельная скорость прироста эксплуататора, j(x1) – функция выедания (трофическая функция).
Колмогоров показал, что его вторая система имеет определенные решения, если функции r1(x1), r2(x1) и j(x1) удовлетворяют условиям, приведенным ниже:
1)
– внутривидовая конкуренция в популяции жертвы усиливается с ростом численности и препятствует ее чрезмерному увеличению, при этом r1(x) обращается в нуль при x1= K1, которое является верхней границей численности популяции жертвы в отсутствии хищников;
2)
– в отсутствие жертвы эксплуататор погибает, а увеличение ее численности ускоряет прирост численности эксплуататора;
3) j(x1) > 0 при x1 > 0 – при наличии жертвы эксплуататор всегда способен ее обнаружить и только при x1 = 0 функция выедания обращается в нуль.
В этом случае вторая система Колмогорова может иметь только решения, описываемые сценариями (1), (3), (4) и (5) в зависимости от свойств функций r1(x1), r2(x1) и j(x1).
Стационарными точками системы являются (К1,0),где К1 определяется из уравнения r1(К1) = 0, и точка (x1*,x2*), которая является решением системы уравнений:
или 
Поведение решения второй системы Колмогорова существенным образом зависит от вида функции выедания j(х1), поэтому имеется большое число разнообразных моделей, отличающихся в первую очередь видом функции выедания. Рассмотрим простейшую модель функции выедания в виде линейной функции
j(х1) = g 12 х1,
где g12 = const > 0. Если принять рождаемость жертвы, смертность жертвы и эксплуататора – постоянной (b1 = const > 0, d1 = const > 0, d2 = const > 0), то получаем так называемую модель Лотки-Вольтерра системы “ хищник-жертва”:
,
где r1 = b1 - d1 , r2 = d2 и g21 = qg12.
Умножим первое уравнение на g21 и сложим со вторым, умноженным на g12:
.
Далее умножим первое уравнение на r2/x1 и сложим со вторым, умноженным на r1/x2:
.
Из двух полученных уравнений получаем
.
Интегрируя, получаем
,
где
.
Это уравнение описывает семейство замкнутых кривых с центром в точке:
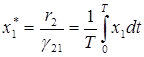
x1* = r2/g21, x2* = r1/g12 .
Изучая поведение этих кривых, В.Вольтерра пришел к важному выводу о периодичности колебаний численности популяций и об устойчивости положения равновесия (х1*, х2*), которое является средним значением (х1, х2) по периоду колебаний Т. Действительно, перепишем рассматриваемую систему в виде
,
,
и проинтегрируем обе части уравнений по интервалу времени, равному одному периоду колебаний, и с учетом периодичности получим
,
.

Окончательно имеем
,
.
Эти соотношения выражают закон сохранения средних значений: средние значения численностей хищников и жертв не зависят от начальных условий и равны численности в положении равновесия.
Если единовременно отстрелять часть животных, например, хищников, произойдет переход с траектории 1 на меньшую траекторию 2. При этом среднее число хищников не изменится, а лишь уменьшится колебаний численностей хищника и жертвы.
Если в системе хищник-жертва происходит искусственное уничтожение особей обоих видов, пропорционально их численности с коэффициентами пропорциональности a1 и a2, то система уравнений примет вид


Среднее значение численностей в этом случае составят

То есть, если a1 < r1 , то средняя численность популяций жертвы возрастает, а хищника – убывает. Это так называемый закон изменения средних. Если a1 > r1, то оба вида исчезают.
Если в модели Вольтерра учесть саморегулирование численности жертвы, то получим модифицированную систему Лотки-Вольтерра
, 
Фазовый портрет этой системы соответствует сценарию 4 (переход в стационарное состояние через затухающие колебания), введение внутривидовой конкуренции среди жертв привело к стабилизации системы. Координаты стационарной точки равны:
x1* = r2/g21 , x2* = r1/g12 - g11r2/g12g21 .
1.1.10. Управление численностью видов в экосистемах
Рассмотрим задачу управления вольтерровской системой
,
где вектор управления U = (u1, u2,…, un) выбирается из некоторого множества допустимых управлений U. Предположим, что в этой системе при U º 0 существует устойчивое состояние равновесия Х*. Рассмотрим задачу: найти такой вектор управления u Î U, чтобы система получила новое устойчивое положение равновесия
. Таким образом, поставлена задача перевода экосистемы на новый режим, при котором поддерживалась бы заданная численность популяций.
Выберем в качестве допустимых управлений векторы вида
U = CX,
где матрица С = diag{ci} . Перепишем рассматриваемую систему в виде
Если Вам понравилась эта лекция, то понравится и эта - ТЕМА 7. Основные принципы системного анализа.

и подставим вместо управления ui его выражение через диагональную матрицу
.
Найдем теперь сi , исходя из условия, что эта система имеет положение равновесия
. Для этого необходимо, чтобы при X =
выражение в скобках равнялось нулю. Отсюда получаем
ci =
.
Таким образом, если в рассматриваемой системе управление выбирается в виде U = CX с указанными коэффициентами сi , то у нее появляется новое положение равновесия
, причем устойчивое, если было устойчивым положение равновесия
, поскольку на коэффициенты матрицы сообщества управление не оказывает влияния.





























