Виды и методы экологических исследований
ЛЕКЦИЯ 14
Виды и методы экологических исследований
Методическую основу экологии составляет сочетание системного подхода, натурных наблюдений, эксперимента и моделирования. Экологическая практика охватывает собой множество приемов и методов исследований, адекватных многообразию направлений экологии:
1. Режимные систематические (мониторинговые) наблюдения за состоянием природных объектов и процессов, а также влияющими на них антропогенных (техногенных) факторов;
2. Аналитические исследования природных и искусственных (техногенных) объектов;
3. Исследования морфологических параметров природных объектов;
4. Статистические методы оценки процессов и явлений;
5.Дистанционные методы исследований и методы специальной картографии;
6.Методы математического моделирования;
Рекомендуемые материалы
7. Системный анализ;
8.Методы социальной демографии;
9.Паспортизация природных и искусственных объектов;
10.Экологический менеджмент;
11.Экологический аудит.
Как правило, в экологических исследованиях эти и другие применяемые методы исследований используются совместно.
Моделирование экосистем.
Натурные наблюдения и эксперименты. Признание экосистем предметом экологии и
принцип эмерджентности неизбежно приводят к необходимости использовать в качестве методологической основы науки экологии системный анализ и междисциплинарный синтез явлений.
Системный анализ – это направление методологии научного познания и социальной практики, в основе которого лежит исследование объекта как системы.
Важные положения системного подхода были сформулированы учеными еще в ХVIII - ХIХ веках. Так, Ю. Либих в 4 0-х годах 19 столетия писал: «Мы рассматриваем природу как одно целое, и все явления представляются нам взаимосвязанными как узлы в сети. Исследовать явления - это значит отыскать те нити, посредством которых данный узел в сети связан с двумя или тремя другими». Системные принципы исследований завоевывают признание только во второй половине ХХ века что связано прежде всего с развитием инструментальных и дистанционных методов наблюдений и вычислительной техники, давших возможность изучать природные и социальные сообщества как целостные системы на количественном уровне, а также с проникновением в биологию идей кибернетики.
Системный подход в экологии состоит в определении составных частей экосистемы и взаимодействующего с ней объектов окружающей среды; установлении совокупности внутренних связей и компонентов экосистемы, а также связей между экосистемой и средой за ее пределами, т. е. на входе и выходе системы; нахождении законов функционирования и их изменений в результате внешних воздействий. Для решения этих основных задач современной экологии выделяют три главные группы методов: 1- натурные наблюдения; 2- эксперименты; 3- моделирование.
Натурные наблюдения в природе - исторически первый прием экологического исследования. Эти исследования прошли длительный путь развития - от красочных описаний картин природы до современных комплексных программ изучения экосистем с помощью новейшей аппаратуры и космических спутников. В практике современных экологических исследований может использоваться сложнейшая трехуровневая система наблюдений. Например, контроль качества поверхностных вод и экологического состояния водоема с использованием космических аппаратов, аэрофотосъемок, автоматических самописцев и других дистанционных и инструментальных методов. Однако, несмотря на совершенствование технических средств натурных исследований, неоднократно предпринимавшиеся попытки объединения разных специалистов в лучшем случае завершается публикацией научного сборника, в котором независимо существуют статьи по ботанике зоологии, микробиологии, химии, гидрологии, метеорологии и другим дисциплинам и отсутствует междисциплинарный синтез. Прогресса натурные экологические исследования достигли в конце 70 годов ХХ века, с развитием стационаров международных программ, которые предусматривают всесторонние глобальные наблюдения характерных типов экосистем, исследования на специальных полигонах и их междисциплинарный синтез.
Эксперименты широко применяют в экологии и в других естественных науках. Отличие эксперимента от наблюдения состоит в том, что исследователь сознательно вносит определенные изменения в экосистему и следит за ее ответной реакцией. Например, слежение за перемещением стада оленей в естественных условиях с помощью вживленных в тело животных миниатюрных радиопередатчиков является не экспериментом, а всего лишь наблюдением. В то же время регистрация (даже без всякой аппаратуры) численности того же стада после введения искусственной подкормки будет экологическим экспериментом.
Число возможных воздействий экспериментатора на экосистему необозримо, так же как число сознательно варьируемых факторов. Эксперименты делят на лабораторные и полевые.
В лабораторных экспериментах можно обеспечить контроль большого числа факторов, исключив воздействие неконтролируемых.
Классической схемой проведения лабораторных опытов является однофакторный эксперимент, когда изучается влияние избранного фактора при зафиксированных значениях всех остальных. Однако при изучении биологических объектов (в отличие от физических) однофакторный эксперимент малоэффективен, так как поведение биосистем зависит от комплекса факторов. Поэтому лишь многофакторные эксперименты с предварительным планированием могут дать удовлетворительные результаты в экологии.
Меняя условия опыта, в лаборатории можно достичь заранее запрограммированного результата. Так, можно получить самые разные значения допустимых концентраций токсичных веществ в воде, если варьировать условия содержания организмов, на которых проводятся опыты. Влияние тех же веществ на те же организмы и в тех же дозах в естественных условиях водоема будет отличаться от полученных в лабораторных условиях. Поэтому в экологии лабораторные эксперименты играют второстепенную роль.
В естественных условиях экспериментатор контролирует экологические факторы ограничено, так как динамика процессов зависит от многих факторов, в том числе от погодных, биологических и антропогенных. Несмотря на это эксперименты в природных условиях имеют огромное значение в экологических исследованиях, несмотря на то, что не может быть обеспечен высокий уровень контроля экспериментатора над всеми факторами внешней среды.
Непреднамеренные эксперименты, являясь следствием естественных процессов ил антропогенной деятельности, вносят немалый вклад познание природы. Непреднамеренные антропогенные эксперименты - это вся история развития цивилизации, в процессе которой человек постоянно экспериментирует с природой.
Значение натурного эксперимента в экологии чрезвычайно велико. Однако экологический эксперимент более эффективен в сочетании с моделированием.
Моделирование. Под моделированием понимается изучение экологических процессов с помощью лабораторных, натурных или математических моделей. Модели биосистем многочисленны и классификация их почти невозможна.
Модель - это имитация того или иного явления реального мира, позволяющая делать прогнозы.
Модель может быть вербальной (словесной или графической), т. е. неформализованной. Если необходимы достаточно надежные количественные прогнозы, то модель должна быть формализованной, строго математической. Модели, созданные на ЭВМ, позволяют получать на выходе искомые характеристики при изменении, добавлении или исключении каких-либо параметров модели. Применение математики для отслеживания природных явлений используется для обработки экспериментов и описания работы биосистем становится. При этом необходимо доказать адекватность математического вида биосистемы реальному объекту.
Этапы в развития моделирования экосистем следующие:
1) переход от эксперимента к адекватной математической модели;
2) построение математических моделей с различной глубиной содержания;
3) переход от одних моделей к другим;
4) систематизация математических моделей биосистем различного уровня иерархии.
Но, несмотря на необходимость критического взгляда на математическое моделирование явлений природы обойтись только описательными методами уже невозможно. Стратегия моделирования заключается в попытке путем упрощения получить модель, свойства и поведение которой можно легко изучать. В то же время модель должна иметь достаточное сходство с оригиналом, чтобы результаты ее изучения были применимы к оригиналу. Переход от модели к оригиналу называется интерпретацией модели. Обычно оригинал представляет собой многокомпонентную систему, где взаимодействия между популяциями столь сложны, что не поддаются достаточно удовлетворительному анализу. В то же время законы функционирования некоторой модели могут быть найдены тем или иным путем. Учитывая это, исследования системы можно заменить исследованиями модели, о затем интерпретировать результаты применительно к оригиналу.
В 1980 г. была предложена следующая классификаций моделей, используемых в экологии (рис. 7.3).

Рис 7. 3. Схема классификации моделей (по В. Д. Федорову и Т. Г. Гильманову .1980г.)
При работе с реальными лабораторными моделями установление адекватности модели оригиналу, а следовательно, обоснование возможности применения результатов моделирования к изучаемой природной системе. В отличие от аэро- или гидродинамики, где разработаны количественные критерии подобия модели оригиналу, в экологии таких критериев нет. Идеальные знаковые модели богаче возможностями, чем реальные, так как почти не связаны техническими ограничениями их создания. Знаковые модели - концептуальные и математические - имеют в экологии наибольшее значение.
Знаковые модели в экологии подразделяют на концептуальные и математические. Концептуальная модель – это в значительной степени формализованный вариант традиционного описания изучаемой экосистемы, состоящего из текста, блок-схемы, таблиц, графиков и иллюстративного материала. В итоговых публикациях Международной биологической программы (1964 - 1974) представлены концептуальные модели важнейших типов экосистем, обеспеченные количественными данными о динамике численности и биомассы популяций. Недостатки таких моделей – это неоднозначность интерпретаций и статичность.
Методы математического планирования при изучении динамики экосистем более эффективны. Математические модели классифицируют по признакам, в соответствии с которыми выбирается математический язык описания свойств, структуры и поведения экосистемы. Различают априорные (лат.- независимо от опыта) и апостериорные (лат.- основанные на опыте) модели. Априорные выводят на основании теоретических посылок, а апостериорные – на основании эмпирических данных. Выбор математического аппарата зависит также от состава фактической информации. Описания функционирования экосистем характеризуются неравномерностью изученности отдельных процессов. Кроме того, часто не известен как математический вид зависимостей между отдельными компонентами, так и какие-либо количественные характеристики процессов.
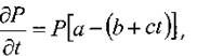
Попытки создания моделей, совмещающих физико-динамические и химико-биологические процессы, обычно приводят к использованию дифференциальных уравнений. Однако современное состояние некоторых математических дисциплин не позволяет достаточно подробно исследовать системы высокого порядка из-за нелинейностями связей между параметрами и факторами их определяющими. Это приводит к обобщению компонентов и характеристик для снижения порядка системы. Возможность получения модели, описывающей общие закономерности жизни экосистемы на основании аналитического исследования теоретических данных, была разработана Флемингом (1939) для роста биомассы микроскопических водорослей в водоеме (фитопланктона). Изменение биомассы в данной модели определяется двумя процессами: цветением водорослей и выеданием их микроскопическими животными (зоопланктоном).
Такая модель записывается в виде дифференциального уравнения первого порядка
|
| (1) |
где Р - биомасса фитопланктона а столбе воды над единицей площади;
a - удельная скорость роста биомассы фитопланктона; с – постоянный коэффициент увеличения скорости выедания фитопланктона зоопланктоном;
(b + ct)- коэффициент выедания, зависящий от времени t.
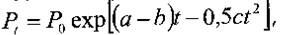
Численные значения коэффициентов уравнения были получены по материалам натурных исследований. Частное решение уравнения имеет вид
|
| (2) |
где Р1 – биомасса в момент времени t;
Ро -биомасса в момент времени tо.
В период цветения такая зависимость эквивалентна увеличению биомассы зоопланктона, потребляющего определенную долю фитопланктона, выедаемого за сутки - DР.
Зависимость DР от количества зоопланктона N1, и его фильтрационной способности V (л/сут) записывается в виде:
|
| (3) |
Из уравнений 1 и 3 получаем:
|
| (4) |
Общая биомасса фитопланктона Сt, за промежуток времени от to до t рассчитывается по уравнению (5):
|
| (5) |
Построение математической модели биосистемы можно выполнять параллельно с исследованием натуры или с постановкой лабораторных экспериментов. При этом поиск наилучшей структуры модели может производиться автоматически на ЭВМ на основании некоторой системы критериев. В этом случае на человека возлагаются выбор типа, структуры модели и критериев наилучшего сходства модели и оригинала, их изменение и смена.
Информационные потоки, состоящие из множества отдельных физических, химических и биологических показателей, не могут в полной мере отразить законы функционирования природного объекта. В связи с этим при моделировании экологических систем на основе дифференциальных уравнений следует использовать фундаментальные экологические принципы, в том числе принцип эмерджентности (экосистема обладает качественно новыми свойствами, которые нельзя предсказать исходя из свойств отдельных ее компонентов), т.к. необходимо учитывать, что экосистемы управляются и контролируются не всеми, а ключевыми, эмерджентными факторами. Поэтому для построения удовлетворительных математических моделей не требуется необъятного количества информации об огромном множестве переменных. Кроме того, стремление приблизиться к оригиналу с помощью наращивания показателей входит в противоречие с оперативностью решения задачи. Создание работоспособной модели многокомпонентной системы, функционирующей в трехмерном пространстве и во времени, связано с решением многих проблем, основными из которых являются следующие:
1. Выбор функциональных зависимостей и параметров, описывающих процессы обмена веществом и энергией между физическими и химико-биологическими компонентами.
2. Отсутствие пространственных наблюдений, т.е. ограниченный объем фактической информации, согласованных между собой физических, химических и биологических характеристик, изменяющихся во времени на начальном этапе моделирования приводит к несоответствию между желаниями исследователя и техническими возможностями. Операции заданий входной и анализа выходной информации перерастают в самостоятельные проблемы.
3. Реализация алгоритма моделирования экосистемы. Это связано с разработкой целого комплекса взаимосвязанных программ для описания весьма сложных физических и химико-биологических процессов. Решение каждой из задач в отдельности представляет собой самостоятельную проблему, требующую огромной работы. Далее возникает проблема информационной и программной увязки отдельных подсистем. Комплекс задач моделирования экосистемы в целом перерастает, по существу, в автоматизированную систему анализа поведения избранного объекта, а процесс создания Экологической» модели становится соизмеримым с процессом создания автоматизированных систем управления.

Статистические модели – это модели, устанавливающие взаимосвязи между компонентами экосистемы, описанные методами математической статистики, т. е. на основе натурных данных. Множественный корреляционный или регрессионный анализ позволяет установить факт зависимости между отдельными элементами системы и получить уравнения регрессии, которые могут служить моделями экосистемы или отдельных подсистем. Однако возможности прогнозирования временной динамики ограничены условиями, в которых получена исходная информация.
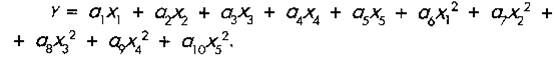
В качестве примера рассмотрим регрессионную модель эпидемических процессов. На возникновение, развитие и распространение эпидемии влияют самые различные факторы окружающей среды. Например, предварительное изучение заболеваний дизентерией за 20 лет в одном из районов России выявило пять факторов, оказывающих наибольшее влияние на эпидемию. Это температура воздух (х1), атмосферные осадки (х2), атмосферное давление (х3). влажность воздуха (х4) активность солнца (х5). Количественные значения этих факторов по месяцам в течение 20 лет составили банк исходных данных для построения математической модели. Выходной величиной т. е. критерием степени распространения эпидемии, являлось число заболевших (Y).
Задача состояла в построении математической модели, связывающей число заболевших с числовыми значениями метеофакторов. Если определять возможное среднее число заболеваний в год, то для построения модели следует привлекать среднегодовые значения факторов. Можно строить модель и относительно числа заболеваний на данный месяц. Зависимость числа заболеваний от пяти наиболее значимых факторов запишем в виде линейной функции:

Коэффициенты уравнения перед входными величинами определяют степень влияния каждого фактора на выходную величину.
Для определения коэффициентов уравнения регрессии методом наименьших квадратов используется массив исходных данных (заболеваемость и значения метеофакторов). В данном примере получено уравнение

Для полученного уравнения вычисляют коэффициент множественной корреляции,
R = 0,416 и дисперсию S12 = 1,001.
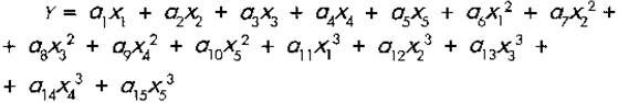
Регрессионные модели не ограничиваются линейной формой. В процессе поиска можно перейти к более сложной модели - уравнению нелинейной регрессии:

На основании того же исходного материала можно рассчитать значения коэффициентов множественной корреляции и дисперсии для уравнения :R = 0,659; S12 = 0,684.
Как видно из полученных результатов при переходе к нелинейной модели коэффициент корреляции увеличился, а дисперсия экспериментальных данных уменьшилась. Это означает, что последняя модель более точна, чем линейная функция. Однако при последующем усложнении модели в виде полинома третьей степени:

коэффициент множественной регрессии, R = 0648 уменьшился, а дисперсия S12= 0,695 увеличилась.
Следовательно, точность математического описания при переходе к полиному третьей степени ухудшилась. Поэтому в данном случае целесообразно в качестве адекватной использовать квадратичную регрессионную модель.
При любом моделировании следует предварительно проводить статистическую обработку исходных натурных или экспериментальных данных с целью уплотнения их в немногие параметры, которые в компактной форме достаточно полно характеризовали бы свойства экосистемы.
Другая задача математической статистики в экологии – это оценка степени соответствия свойств выборки свойствам всей совокупности. Наиболее важным является использование статистики для изучения связей между признаками живых организмов, между разными организмами, между организмами и факторами неживой среды.
Схема системного исследования. Все рассмотренные выше методы: наблюдение эксперимент и моделирование объединяются в единую систему экологического исследования, которую можно представить следующей схемой.


Постановка задачи и концептуализация. Назначение первого этапа состоит в выборе наиболее важных приоритетных факторов, определяющих направление дальнейших исследований. Задача концептуализации состоит в том, чтобы суммировать известную информацию об изучаемой экосистеме в виде логически непротиворечивой концептуальной модели, концентрирующей данные, необходимые для решения рассматриваемой проблемы. Определяется место изучаемой экосистемы в ландшафте, устанавливаются ее входы и выходы т е. связи с соседними экосистемами, атмосферой, гидросферой, твердой средой, деятельностью человека и т. п. Далее в модели характеризуются состав, структура и особенности функционирования экосистемы, т. е. определяются число компонентов и совокупность связей.
Спецификация и наблюдения. Назначение этапа спецификации состоит в том, чтобы определить состав входных переменных, переменных состояния экосистемы и, по возможности, строго задать отображение оригинала на модель. При спецификации указывается, с какими измеряемыми характеристиками экосистемы и внешней среды сопоставляются переменные ее состояния, какие методы и единицы измерения используются. При этом целесообразно создавать автоматизированные компьютерные банки данных. На основании спецификации и концептуальной модели планируются полевые наблюдения за динамикой из свойств экосистемы и прежде всего за переменными экологического состояния и входными характеристиками. Результаты наблюдений используются на последующих этапах работы (идентификация, проверка и исследование модели). Кроме того, они могут служить основой для пересмотра концептуальной модели.
Идентификация и эксперименты. Задача идентификации заключается в математическом описании соотношений между переменными, образующими структуру модели. При идентификации возникает потребность в проведении полевых или лабораторных экспериментов с целью проверки различных гипотез о характере взаимосвязей между компонентами экосистемы или для оценок параметров известных зависимостей. Экспериментальные работы проводятся параллельно с другими стадиями исследования, вследствие чего возможно возвращение к предыдущим этапам и их повторение в новом цикле исследований с учетом дополнительной информации, полученной в результате эксперимента.
Реализация и верификация модели. После идентификации модели встает проблема ее реализации, т. е. нахождения оператора, который позволит рассчитывать динамику состояния экосистемы во времени в соответствии с входными данными и начальным состоянием. Обычно реализация осуществляется в виде программы расчета на ЭВМ.
Верификация модели (лат. проверка подлинности) имеет целью проверить, в какой степени модель соответствует оригиналу. Оценка пригодности модели может быть осуществлена на основе сравнения с данными наблюдений и опыта практического использования модели как инструмента прогнозирования, оптимизации и управления моделируемой системой. Однако предварительные сведения об адекватности модели необходимы в течение процесса ее построения. Существует много способов оценки адекватности моделей. Наиболее наглядным способом проверки модели является сравнение расчетных кривых ее состояния в рассматриваемом интервале времени с данными наблюдений за системой за тот же промежуток времени. Кривые могут быть построены по непрерывным или дискретным наблюдениям Для оценки степени совпадения могут быть использованы как численные значения характеристик, так и статистические показатели. При хорошем совпадении расчетных и эмпирических данных модель можно считать адекватной оригиналу и приступать к проверке других аспектов ее работы. В поисках причин удовлетворительного совпадения результатов моделирования с эмпирическими данными приходится возвращаться к предшествующим этапам идентификации. После этого последовательность этапов повторяется до тех пор, пока не будет достигнуто требуемое согласие. Эффективным способом проверки модели являются также имитация на ней разнообразных экспериментальных воздействий и сравнение результатов с данными реальных экспериментов.
Заключительный этап основывается на исследовании модели и оптимизации решений. Процесс исследования включает описание общих черт изменения состояний и поведения модели в зависимости от изменения входных данных. Один из основных разделов исследования - «анализ чувствительности» модели. Результаты этой операции показывают, какие начальные условия, взаимосвязи между переменными, внешние факторы или другие параметры оказывают наиболее сильное (или, наоборот, незначительное) влияние на поведение модели. После чего можно решить, какие параметры должны определяться с высокой точностью, а какие могут задаваться приближенно при наблюдениях, экспериментах и идентификации. Данные теоретических исследований модели и результаты имитационных расчетов дают дополнительную информацию для оценки адекватности модели и необходимости ее дальнейшего усовершенствования.
В практической работе по охране или рациональному использованию природных экосистем человек может задавать и регулировать те или иные воздействия с целью оптимизации их состояния. При многоцелевом использовании природных ресурсов часто приходится сталкиватъся с противоречиями. Например, трудно совместить забор питьевой воды с пляжем или сбросом в водоем сточных вод. Поэтому часто решение оптимизационных задач носит компромиссный характер, обусловленный многофакторностью и множеством критериев качества. Методической основой решения таких задач являются теория оптимального управления и оптимизационные модели.
Заключение в системном анализе должно быть научной основой реализации междисциплинарных природоохранных проектов и указывать инструменты управления и оптимизации состояний природных и анропогенных экосистем для достижения главной цели – сохранения биосферы.
Изучение любой экосистемы может продолжаться бесконечно долго, раскрывая все новые грани. Однако каждый исследовательский проект должен иметь конечную цель и рано или поздно завершаться. В итоге должны также намечаться перспективы будущих исследований. Приведенная схема системного подхода к изучению экосистем является упрощенной и может быть модифицирована.
Фотограмметрические методы для оценки состояния экосистем. При помощи этих методов можно осуществить масштабные съемки, позволяющие изучить объекты по адекватным трехмерным моделям, обладающим метрическими характеристиками. Это обеспечивает анализ деталей объектов разного масштаба, также пространственно определенную и наглядную визуальную систему конечных исследований в виде набора фотографий или панорамы. Этот метод позволяет создать информационную базу исследований всей иерархии природных экосистем на каждом иерархическом уровне, начиная от нижних ступеней природных систем (клеточного и организменного уровней), до локальных экосистем. При этом используются разные виды цифровой стереосъемки в требуемом масштабе. Методы съемок, которые обеспечивают изучение экосистем на разных уровнях организации можно представить в виде схемы, представленной на рисунке .
| Методы съемок | Уровни организации экосистем | Линейный размер объектов | ||
| 1.Космическая |
| Глобальный | >1000 км | |
| Региональный | 100-500 км | |||
| Локальный | 1-50 км | |||
| 2.Аэрофотосъемка |
| Элементарный (биоценотический) | 100 м | |
| Субэлементарный | 5 м | |||
| 3.Наземная съемка |
| |||
| 4.Съемка с близких расстояний |
| Популяционный | 50 см | |
| 5.Макросъемка |
| Организменный | 200 мм | |
| 6.Микросъемка |
| Клеточный | 100 мкм 4 Признак Лейбница - лекция, которая пользуется популярностью у тех, кто читал эту лекцию. и менее |
В настоящее время существуют технологии обработки материалов, которые обеспечивают создание серий тематических карт, на основе суммирования данных, полученных по аэрофотосъемкам с разноплановой экологической информацией: элементарной и субэлементарной. Точность и детальность этого метода зависит от качества взаимной привязки и учета ландшафтных и морфологических особенностей изучаемых территорий. Это осуществляется за счет обеспечения обработки аэрофотоснимков равнинной и холмистой местностей и применения технологии цифровой фотограмметрической станции. Технология цифровой наземной стереосъемки нашла применение для оценки видового состава растений и исследования закономерностей распространения аэрозолей в условиях динамической и термической неоднородности подстилающей поверхности.
Для детального изучения биоценозов, отдельных живых организмов, и структурного анализа различных растений разработана цифровая технология стереосъемки с близких расстояний. Для изучения объектов, отнесенных к «плоским» (гербарные образцы), достаточно одиночных снимков. Для лабораторных образцов используется горизонтальная съемка. Для натуральных – фронтальная. Иногда применяется съемка с другими ракурсами, чтобы избежать увеличения числа стереопар, сохраняя при этом всестороннюю обзорность, разработан метод съемки, осуществляемый при помощи бинарной зеркальной системы.
Для реализации всех видов съемки разработаны тест – объекты, в которых предусмотрена возможность изменения положения опорных точек в зависимости от масштаба съемки. Для натуральных съемок изготовлено несколько дополнительных тест – объектов в виде рам разных размеров, размещаемых в пространстве объекта. Созданы установки по проведению перспективной съемки, включающие тест – объект и зеркальную систему. Оценка точности определяемых параметров составляет от 0,5 до 1 %. Стереоскопическая модель может быть использована для измерительных целей и хранения информации, презентации коллекции зоологических музеев, создания учебных видеотек.
Важной задачей является фиксация первичных изменений на микроуровне (семена, пыльца растений). Для их изучения разработана технология стереомикросъемки.







































