Элементы механики течения сжимаемого газа
Тема 6 Элементы механики течения сжимаемого газа
6.0 Введение
В рассмотрении газовой турбины существенно сделать надлежащее подтверждение сжимаемого характера(природы) продуктов сгорания и воздуха. Механика сжимаемого газа - сложный предмет, но здесь дается только то, что является существенным для понимания изложения и выполнения проектов. Существуют специальные подходы для анализа течения сжимаемого высокоскоростного потока во внутренних каналах, рассмотрение их - цель этого раздела.
6.1 Несжимаемый и сжимаемый поток(течение)
Для жидкостей изменение плотности обычно незначительно, и возможно обращаться с потоком как несжимаемым. Таким образом, уравнение для установившегося без трения течения упрощенно

и может быть интегрировано непосредственно, принимая плотность постоянной, это дается уравнением Бернулли

Рекомендуемые материалы
где Pо - заторможенное или полное давление , соответствует давлению, полученному когда поток приведен в состояние покоя без трения или без потерь, член 0,5V2 известен как давление динамическое или динамическая добавка. Трубка pitot делает запись давления торможения принимая во внимание, что давление у стенки, параллельной потоку, делает запись статического давления. Использование давления торможения кое-что вроде бухгалтерского упражнения - оно указывает давление, которое является достижимым в движущемся потоке. Это иллюстрировано на рис. 6.1. Аналогия, которая является иногда полезной, может быть взята из гидравлической и механической систем: статическое давление аналогично потенциальной энергии, а динамическое давление аналогично кинетической энергии.
Когда имеют дело с газами с низкой скоростью (более точно, с низким числом Маха) плотность изменяется немного, и возможно использовать уравнение Бернулли как разумное приближение. Погрешность параметров становится существенной, когда динамическое давление становится существенной долей абсолютного давления газа; это происходит, когда Число Маха превышает приблизительно 0.3. Для большинства реальных процессов внутри реактивного двигателя число Маха - ближе к 1.0, чем к 0.3 и из уравнения Бернулли следуют показанные на рисунке 6.1 варианты.

Рисунок 6.1. Схематичное представление состояния торможения
6.2 Статическое и заторможенное состояния
Уравнение энергии установившегося потока газа без передачи теплоты и без передачи внешней работы может быть записано

Где h - enthalpy, которое может быть переписана в более удобном для нас виде как
" (6.1)
То - температура торможения, являющаяся той температурой, которую газ достиг бы, если перешел в состояние покоя без работы и передачи теплоты, не обязательно в идеальной форме или без потерь.
Удельная теплоемкость может быть выражена по уравнению Майера
при подстановке в вышеприведенное уравнение температура торможения может быть записана
(6.2)
Скорость звука выражается в виде
,а Число Маха
, тогда
уравнение для температуры торможения приобретает вид
(6.3)
Снова, это уравнение между температурой торможения То и статической температурой T не подразумевает идеальное или без потерь ускорение или замедление. Чтобы найти соответствующее отношение между давлением торможения и статическим давлением требуется некоторая идеализация.
В этом случае мы предполагаем, что ускорение или замедление газа между статическим и заторможенным является обратимым и adiabatic (то есть изоэнтропическим), для которого мы знаем
(6.4) Из этого сразу следует 
или
(6.5)
При работе со сжимаемым потоком принято использовать абсолютные давления и температуры (имеется в виду не избыточное давление и не градусы Цельсия).
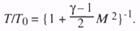
Нужно заметить, что до этого раздела не подчеркивалось различие между статическими и температурами торможения, для описания тех явлений не было необходимости их различать. С этого момента мы должны быть более осторожны. В вычислениях таких величин как скорость звука или плотность воздуха, в котором перемещается самолет, это - статические величины. В выполнении исследований цикла, например, выделение работы при высокой температуре в газовой турбине должна использоваться величина торможения. Возвращаясь к бухгалтерской аналогии, использование свойства торможения, как температуры торможения так и давления, дает меру общей суммы энергии, которая является доступной для ускорения потока. Состояние торможения - не реально, кроме как в местах, где скорость может походить на ноль, например, на носу самолета, но статические свойства реальны. Плотность воздуха, скорость звука и параметры химических реакций зависят от местных статических свойств.
Для неподвижной атмосферы (то есть без ветра, V = 0) статические и свойства торможения равны, но наблюдатель в самолете, передвигаясь через неподвижную атмосферу не видел бы, что статические и свойства торможения равны. Наблюдатель, передвигаясь со скоростью V, или Числом Маха М. чувствовал бы температуру торможения, равную
(6.6)
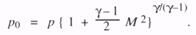
И давление торможения, определяемое через изоэнтропическое отношение, как
(6.7)
Фактор скорости должен увеличить полное отношение давлений в двигателе. В своем входном отверстии двигатель получает температуру и давление торможения. Для полета с Числом Маха 0.85 давление торможения входного отверстия связано с окружающим давлением уравнением (6.5) и выше в 1.604 раза Поток на выходе реактивного сопла, однако, реагирует на окружающее статическое давление pa так, что в результате полета отношение давления в двигателе будет увеличено в 1.604раза.
6.3 Запертое сопло
Представляет интерес другая проблема, специфическая для сжимаемого потока, она касается, максимума потока, который может проходить через сечение с заданной площадью. На рисунке 6.1 показан поток истекающий из] бассейна или большого объема через реактивное сопло, для которого минимальная площадь приходится на горло. Предполагая здесь, что поток одномерен (другими словами, поток однороден в перпендикуляре к направлению течения и что он является adiabatic, массовая величина потока через единицу площади горла дается
(6.8)
и в установившемся потоке максимальная величина м очевидно находится в горле. Поскольку течение aдиабатическое уравнение энергии потока, уравнение 6.1, ведет к виду
или
(6.9)
Где Т - местная температура воздуха, и То обозначает температуру торможения, которая постоянна повсюду для потока. Для изоэнтропического потока 
или
(6. 10)
Где
массовая величина потока может быть записана
(6.11)
Замена этого в уравнение 6.9

Который упрощает к
(6.12)
скорость звука.
Другими словами, массовая величина потока через отверстие или реактивное сопло - достигает максимума, когда скорость в горле звуковая.
Для большинства эксплуатационных режимов реактивного двигателя реактивное сопло будет заперто. (Это имеет место, в газовой турбине, там турбина также эффективно заперта.)
6.4 Приведенный массовый поток
В уравнении (6.11) расход выражен в терминах местного Числа Маха потока М. и после некоторых алгебраических манипуляций, массовая величина потока через единицу площади дается в безразмерной форме выражением
(6.13)
Эта функция так широко используется, что удобно обозначить это символом m так, чтобы
(6.14)
Для данного газа m - функция только Числа Маха, и это показано для воздуха (y = 1.40) на рис. 6.2. Обратите внимание, что в горле, когда М = 1,
(6.15);
Таким образом в горле
.]
для y=1.4, m. = 1.281,
для у = 1.30, m. = 1.389.

Рисунок 6.2. Одномерный поток совершенного газа, k = 1.4
Уравнение 6.15 показывает очень ясно, что массовый поток через запертое реактивное сопло - пропорционален давлению торможения потока и обратно пропорционален квадратному корню заторможенной температуры. Единственный способ изменять массовый поток через запертое реактивное сопло данного размера изменять или давление торможения или температуру торможения. Изменение условий после реактивного сопла не оказывает никакого эффекта на массовый поток или на состояние вверх по течению от горла.
Три других кривых показаны на рис. 6.2. Одна кривая - отношение статической температуры к температуре торможения

Другие две кривые дают соответственно отношение местного статического к давлению торможения и плотности для изоэнтропического течения по реактивному соплу.
и
РЕЗЮМЕ ТЕМЫ 6
Уравнение Бернулли не имеет силу для потока газов, если Число Маха более приблизительно 0.3; что обычно имеет место в реактивных двигателях. Давление торможения поэтому может быть определено, используя

Массовый поток через единицу площади может быть дан в безразмерной форме, которая для заданных свойств газа, - однозначная функция Числа Маха и отношения удельных теплоемкостей

И эта безразмерная форма будет использоваться в связи с анализом работы
Величина потока через запертое реактивное сопло определена давлением и температурой торможения вверх по течению и независима от условий вниз по потоку от горла. Для реактивных двигателей реактивное сопло обычно заперто; это относится также к большинству турбин.
Упражнение 6.1
Расписать выражение P0 / P в уравнении:
,
используя разложение по формуле бинома, чтобы выразить отношение в форме:
.
Определите значение самого высокого числа Маха, при котором может использоваться выражение для давления торможения с условием несжимаемости, если величина погрешности не должна превышать 1%? Какова величина погрешность в вычислениях давления торможения для уравнения Бернулли при числе Маха М = 0.3.
(Ответ: 0.20, 2.25 %)
Упражнение 6.2*
Определите величины температуры торможения и давления потока, воспринимаемые самолётом, совершающим полёт на крейсерском режиме с числом Маха полёта M = 0.85 на высоте 31 000 футов.
(Эти величины были приняты в упражнении 5.1).
(Ответ: 259.5 K, 46.0 кПа)
Упражнение 6.3
Самолет летит с числом Маха 2 на высоте 51000 футов (pa = 11.0 кПa, Ta=216.7 К) движимый простым турбореактивным двигателем (без второго контура). При нахождении температуры торможения и давление на входе кв компрессор считать воздухозаборник изоэнтропическим, компрессор имеет отношение давлений 10 с изоэнтропическим кпд 90%: найдите температуру и давление на выходе из компрессора. (Ответ: 793.3 K; 0.861 MПa)
В камере сгорания скорости низкие (так что давление торможение и статическое давление равны), но абсолютное давление торможения падает на 5%. При входе в турбину температура торможения - 1400 К; кпд турбины 90%. Найдите температуру торможения и давление за турбиной.
(Ответ: 996.7 K; 0.212 MПa)
Если реактивное сопло изоэнтропическое, найдите скорость реактивного сопла, полагая полное расширение в реактивном сопле. Вычислите полную тягу, удельную тягу, тяговый кпд и температурный перепад камеры сгорания, полный кпд.
(Ответ: Vj = 1069 м/с; FG = 1069 Н/кг/с, FN = 479 Н/кг/с, ηр = 0.711, ηо = 0.464)
Упражнение 6.4
Двигатель с большой степенью двухконтурности, сопло второго контура может запираться, когда самолет летит при числе Маха 0.85. Пренебрегая любыми потерями в давлении торможения вверх по течению и вниз по потоку вентилятора, вычислите степень повышения давления вентилятора, при котором реактивное сопло второго контура не будет запираться. (Ответ: 1.18)
Упражнение 6.5
Информация в лекции "3 Классификация методов изучения биосубстратов" поможет Вам.
Для простого турбореактивного двигателя из упражнения 6.3 (нет внешнего контура) найти площадь горла реактивного сопла на единицу массового расхода, далее по потоку стоит расширяющееся сопло - найти выходную площадь сопла, если расширение - изоэнтропическое до статического давления окружающей атмосферы. (Ответ: 0.00369 м2кг-1с; 0.010 м2кг-1с)
Упражнение 6.6
Для простого турбореактивного двигателя, принятого в упражнении 6.3 (у которого отсутствует второй контур), определите величину площади горла реактивного сопла (или его критического сечения), приходящегося на единицу массового расхода, если учесть, что далее по потоку расположено расширяющееся сопло. Определите заключительную величину площади, если процесс расширения является изоэнтропическим до выхода в окружающую атмосферу, где давление становится статическим.
(Ответ: 0.00369 м2 · кг-1· с; 0.010 м2 · кг-1· с)






















