Система показателей качества продукции
2 система показателей качества продукции
2.1 Понятие качества продукции
Качество продукции – совокупность свойств и признаков продукции, товаров, услуг, обусловливающих их способность удовлетворять потребности и запросы людей, соответствовать своему назначению и предъявляемым требованиям. Качество определяется мерой соответствия товаров и услуг условиям и требованиям стандартов, договоров, контрактов, запросов потребителей.
Понятие «качество» определяется стандартом ИСО 8402–94 как «совокупность свойств и характеристик продукта или услуги, относящихся к его способности определяет предполагаемые потребности». Качество создается с помощью техники на базе надлежащего образа мышления. Такой подход ведет к понятию качества в философии всеобщего управления качеством. Другая формулировка понятия «качество» основывается на нескольких разнообразных принципах, исходя из которых можно отобразить всю многоаспектность этого понятия.
1. С точки зрения объективной оценки признаков продукта, качество может быть измерено. Различия в качестве могут быть количественно отображены при помощи обусловленных особенностей изделия или услуги.
2. С точки зрения потребителя, качество продукции устанавливается в первую очередь субъективной оценкой покупателя, а уже затем – характеристиками самого продукта. Некоторые потребители имеют разнообразные требования, причем те продукты, которые удовлетворяют эти потребности в наилучшем варианте, рассматриваются как имеющие наивысшее качество.
3. С точки зрения производственного процесса, качество – это соблюдение спецификаций, и любое отклонение от них приводит к ухудшению качества. Наилучшее качество предполагает хорошо проделанную работу, итог которой целиком соответствует предъявляемым запросам.
4. С точки зрения соотношения цены и полезности, качество проявляется посредством расходов и цен. Качественная продукция осуществляет определенную функцию по доступной цене, а также в соответствии со спецификацией по приемлемым затратам.
Рекомендуемые материалы
Выделяют следующие основные причины, почему проблема обеспечения качества так актуальна и важна в современной производственной деятельности:
1) качество – ключевой аспект для совершения покупки для наиболее значимых потребителей. Лишиться заказа из—за недостаточного уровня качества намного хуже, чем из—за чересчур высокой цены: так можно потерять покупателя навсегда;
2) качество всеохватывающе. Организация осуществляет множество конкретных действий, чтобы противостоять конкуренции. Качество и системы управления качеством предлагают набор операций, объединяющий все фазы производственного процесса – продуктовую политику, планирование, маркетинг, сбыт, персонал, инновации и технологию, – для того чтобы предприятие удачно функционировало на рынке;
3) качество – главный инструмент снижения издержек. Всегда дешевле производить правильно с первого раза, чем позднее устранять ошибку;
4) качество ведет к укреплению позиций предприятия на рынке. В условиях открытых и либерализованных рынков продукты и услуги делаются все более взаимозаменяемыми. Уровень качества продукции становится решающим.
Понятие «качество» также рассматривают как двухуровневое.
Качество первого уровня (т. е. техническое качество) – вырабатывается на этапах исследований, разработок и производства. Управление качеством на этом этапе содержит действия по соблюдению нужного минимума качественных и количественных запросов к продукции.
Качество второго уровня (коммуникативное качество) – складывается на этапах пред и послепродажного обслуживания. Для обеспечения качества на этих этапах осуществляются операции, сориентированные на исчерпывающее удовлетворение требований потребителей.
2.2 Классификация
Всю совокупность показателей качества продукции можно классифицировать по следующим признакам:
• количеству характеризуемых свойств (единичные и комплексные);
• отношению к различным свойствам продукции (показатели - надежности, технологичности, эргономичности и др.);
• стадии определения (проектные, производственные и эксплуатационные);
• методу определения (расчетные, экспериментальные, экспертные);
• характеру использования для оценки уровня качества (базовые и относительные);
• способу выражения (показатели, выраженные безразмерными единицами, например баллами, процентами, и размерные);
При оценке технического уровня и качества продукции используются следующие основные группы показателей качества:
• показатели назначения, характеризующие полезный эффект от эксплуатации и использования продукции и обуславливающие область ее применения;
• показатели надежности и долговечности изделий в конкретных условиях ее использования;
• показатели технологичности, характеризующие эффективность конструкторско-технологических решений для обеспечения высокой производительности труда при изготовлении и ремонте продукции;
• показатели стандартизации и унификации, характеризующие степень использования в продукции стандартизированных изделий и уровень унификации составных частей изделия;
• эргономические показатели, характеризующие систему «человек – изделие – среда» и учитывающие комплекс гигиенических, психологических, антропометрических, физиологических, психофизиологических свойств человека, проявляющихся в производственных и бытовых процессах;
• эстетические показатели, характеризующие такие свойства продукции, как выразительность, оригинальность, гармоничность, целостность, соответствие среде и стилю;
• патентно-правовые показатели, характеризующие степень патентной защиты изделия в стране и за рубежом, а также его патентную чистоту;
• экономические показатели, отражающие затраты на разработку изготовление и эксплуатацию (потребление) продукции, а также экономическую эффективность ее эксплуатации.
В настоящее время при оценке технического уровня и качества продукции в дополнении к перечисленным традиционным группам показателей используются также экологические показатели, показатели безопасности и транспортабельности продукции, показатели ее однородности.
Эффективное управление предполагает также использование обобщающих показателей, которые характеризуют качество выпускаемой продукции независимо от ее вида и назначения. К ним, в частности, могут относиться:
• объем и удельный вес производства отдельных видов прогрессивных, высокоэффективных изделий в общем выпуске продукции данной группы;
• экономический эффект от использования продукции повышенного качества;
• показатели сортности для продукции ряда отраслей промышленности.
Обобщающие показатели качества используются в планах предприятий, научно-исследовательских и проектно-конструкторских организаций. По уровню этих показателей можно судить о качестве выпускаемой продукции в целом на предприятии или отрасли.
2.3 Коэффициенты применяемости и повторяемости
Основой унификации является стандартизация с ее структурой предпочтительных чисел, которая позволяет определить оптимальные значения величин и коэффициентов стандартизованных изделий, а также разработать комплекс государственных стандартов на основные нормы, обеспечивающие взаимозаменяемость унифицированных конструкций, приборов и агрегатов.
Уровень унификации и стандартизации – насыщенность изделий унифицированными и стандартными элементами (деталями, приборами, агрегатами), для расчета которых используются коэффициенты применяемости и повторяемости.
Коэффициент применяемости К показывает уровень применяемости составных элементов, т. е. уровень использования во вновь разрабатываемых конструкциях приборов, агрегатов, установок, использовавшихся до этого в предыдущих подобных конструкциях. Коэффициент применяемости рассчитывают по числу типоразмеров, по составным элементам товара или в стоимостном выражении.
Коэффициент применяемости в различных сферах промышленности определяют при помощи дифференцированных параметров, характеризующих уровень унификации изделий (в процентах).
1. Показатель уровня стандартизации и унификации по количеству типоразмеров находят по формуле:

где п – совокупное количество типоразмеров;
п0 – количество уникальных типоразмеров, которые разработаны впервые для данного товара.
Типоразмер – такой объект производства (элемент, узел, машина, агрегат), который имеет конкретную конструкцию (свойственную только данному объекту), определенные показатели и величины и регистрируется отдельной позицией в колонку спецификации продукции.
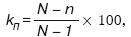
2. Показатель уровня стандартизации и унификации по составным элементам товара находят по формуле:

где N – общее количество составных элементов товара;
N0 – количество уникальных составных элементов товара.
3. Показатель уровня стандартизации и унификации по стоимостному выражению находят по формуле:

где С – стоимость совокупного количества составных элементов товара;
С0 – стоимость количества уникальных составных элементов товара.
Каждая из приведенных формул характеризует уровень унификации только с одной стороны. Более полную характеристику уровня унификации продукции может дать комплексный показатель – коэффициент применяемости, который можно представить в виде:

где Су – средняя стоимость веса материала унифицированных деталей;
СТ – средняя стоимость веса материала изделия в целом;
h – средняя стоимость нормочаса;
АуВ – вес всех унифицированных деталей в изделии
Аут – суммарная трудоемкость изготовления унифицированных деталей;
АДБ– общий вес изделия;
Аат – полная трудоемкость изготовления изделия.
Бесплатная лекция: "4 Методика оценки безотказности" также доступна.
Коэффициент повторяемости составных элементов в общем числе составных элементов данного изделия Кп(%) характеризует уровень унификации и взаимозаменяемость составных элементов товара определенного типа:

где N – общее количество составных элементов изделий;
n – общее количество уникальных типоразмеров.
Среднюю повторяемость составных элементов в изделии характеризует коэффициент повторяемости:























