Метрология
Метрология
Взаимозаменяемостью изделий называют их свойство равноценно заменять при использовании любой из множества экземпляров изделий, их частей или иной продукции другим однотипным экземпляром.
Наиболее широко применяют полную взаимозаменяемость, которая обеспечивает возможность беспригоночной сборки (или замены при ремонте) любых независимо изготовленных с заданной точностью однотипных деталей в сборочные единицы, а последних — в изделия при соблюдении предъявляемых к ним технических требований по всем параметрам качества.
Комплекс научно-технических исходных положений, выполнение которых при конструировании, производстве и эксплуатации обеспечивает взаимозаменяемость деталей, сборочных единиц и изделий называют принципом взаимозаменяемости.
Взаимозаменяемыми могут быть детали, сборочные единицы и изделия в целом. В первую очередь такими должны быть детали и сборочные единицы, от которых зависят надежность и другие эксплуатационные показатели изделий. Это требование, естественно, распространяется и на запасные части.
При полной взаимозаменяемости сборку выполняют без доработки деталей и сборочных единиц. Такое производство называют взаимозаменяемым.
Совместимость — это свойство объектов занимать свое место в сложном готовом изделии и выполнять требуемые функции при совместной или последовательной работе этих объектов и сложного изделия в заданных эксплуатационных условиях. Объект — это автономные блоки, приборы или другие изделия, входящие в сложные изделия.
Номинальный размер — размер, который служит началом отсчета отклонений и относительно которого определяют предельные размеры. Для деталей, составляющих соединение, номинальный размер является общим.
Действительный размер — размер, установленный измерением с допускаемой погрешностью.
Рекомендуемые материалы
Предельные размеры детали — два предельно допускаемых размера, между которыми должен находиться или которым может быть равен действительный размер годной детали. Больший из них называют наибольшим предельным размером, меньший — наименьшим предельным размером.
Для упрощения чертежей введены предельные отклонения от номинального размера: верхнее предельное отклонение ES, es — алгебраическая разность между наибольшим предельным и номинальным размерами; нижнее предельное отклонение El, ei — алгебраическая разность между наименьшим предельным и номинальным размерами.
Действительным отклонением называют алгебраическую разность между действительным и номинальным размерами.
Допуском Т называют разность между наибольшим и наименьшим допускаемыми значениями того или иного параметра. Допуск размера — разность между наибольшим и наименьшим предельными размерами.
Поле допуска — поле, ограниченное верхним и нижним отклонениями.
Нулевая линия — линия, соответствующая номинальному размеру, от которой откладывают отклонения размеров при графическом изображении допусков и посадок.
Две или несколько подвижно или неподвижно соединяемых деталей называют сопрягаемыми. Поверхности, по которым происходит соединение деталей, называют сопрягаемыми.
Вал — термин, применяемый для обозначения наружных (охватываемых) элементов (поверхностей) деталей.
Отверстие — термин, применяемый для обозначения внутренних (охватывающих) элементов (поверхностей) деталей.
Основной вал — вал, верхнее отклонение которого равно нулю (es = 0).
Основное отверстие — отверстие, нижнее отклонение которого равно нулю (EI = 0).
Посадкой называют характер соединения деталей, определяемый величиной получающихся в нем зазоров или натягов.
Допуск посадки — разность между наибольшим и наименьшим допускаемыми зазорами (допуск зазора TS в посадках с зазором) или наибольшим и наименьшим допускаемыми натягами (допуск натяга TN в посадках с натягом). В переходных посадках допуск посадки — сумма наибольшего натяга и наибольшего зазора, взятых по абсолютному значению. Для всех типов посадок допуск посадки численно равен сумме допусков отверстия и вала, т. е. TS (TN) = TD + Тd.
Системой допусков и посадок называют совокупность рядов допусков и посадок, закономерно построенных на основе опыта, теоретических и экспериментальных исследований и оформленных в виде стандартов.
Посадки в системе отверстия — посадки, в которых различные зазоры и натяги получаются соединением различных валов с основным отверстием, которое обозначают Н.
Посадки в системе вала — посадки, в которых различные зазоры и натяги получаются соединением различных отверстий с основным валом, который обозначают h.
Стандартизация — это установление и применение правил с целью упорядочения деятельности в определенной области на пользу и при участии всех заинтересованных сторон.
Стандарт — нормативно-технический документ по стандартизации, устанавливающий комплекс норм, правил, требований к объекту стандартизации и утвержденный компетентным органом.
Метрология — наука об измерениях физических величин, методах и средствах обеспечения их единства и способах достижения требуемой точности.
Эталоны — средства измерений, официально утвержденные и обеспечивающие воспроизведение и (или) хранение единицы физической величины с целью передачи ее размера нижестоящим по поверочной схеме средствам измерений.
Меры — средства измерений, предназначенные для воспроизведения заданного размера физической величины. В технике часто используют наборы мер, например, гирь, плоскопараллельных концевых мер длины (плиток), конденсаторов и т. п.
При прямых измерениях значения физической величины находят из опытных данных, при косвенных — на основании известной зависимости от величии, подвергаемых прямым измерениям.
При методе непосредственной оценки значение физической величины определяют непосредственно по отсчетному устройству прибора прямого действия (например, измерение давления пружинным манометром), при методе сравнения с мерой измеряемую величину сравнивают с мерой.
При анализе точности геометрических параметров деталей различают поверхности: номинальные (идеальные, не имеющие отклонений формы и размеров), форма которых задана чертежом, и реальные (действительные), которые ограничивают деталь, отделяя ее от окружающей среды.
База — поверхность, линия, точка детали (или выполняющее ту же функцию их сочетание), определяющие одну из плоскостей или осей системы координат, по отношению к которой задается допуск расположения или определяется отклонение расположения.
Профиль поверхности — линия пересечения (или контур) поверхности с плоскостью или заданной поверхностью. Реальные поверхности и профили отличаются от номинальных.
Прилегающая прямая — прямая, соприкасающаяся с реальным профилем и расположенная вне материала детали так, чтобы отклонение от нее наиболее удаленной точки реального профиля в пределах нормируемого участка имело минимальное значение.
Прилегающая окружность — это окружность минимального диаметра, описанная вокруг реального профиля наружной поверхности вращения, или максимального диаметра, вписанная в реальный профиль внутренней поверхности вращения.
Прилегающая плоскость — это плоскость, соприкасающаяся с реальной поверхностью и расположенная вне материала детали так, чтобы отклонение от нее наиболее удаленной точки реальной поверхности в пределах нормируемого участка имело минимальное значение.
Прилегающий цилиндр — это цилиндр минимального диаметра, описанный вокруг реальной наружной поверхности, или максимального диаметра, вписанный в реальную внутреннюю поверхность.
Отклонение от круглости — наибольшее расстояние от точек реального профиля до прилегающей окружности.
Отклонение от цилиндричности — наибольшее расстояние от точек реальной поверхности до прилегающего цилиндра в пределах нормируемого участка.
Отклонение профиля продольного сечения — наибольшее расстояние от точек образующих реальной поверхности, лежащих в плоскости, проходящей через ее ось, до соответствующей стороны прилегающего профиля в пределах нормируемого участка.
Отклонение от плоскостности определяют как наибольшее расстояние от точек реальной поверхности до прилегающей плоскости в пределах нормируемого участка.
Отклонением расположения поверхности или профиля называют отклонение реального расположения поверхности (профиля) от его номинального расположения.
Отклонение от параллельности плоскостей — разность наибольшего и наименьшего расстояний между прилегающими плоскостями в пределах нормируемого участка. Полем допуска параллельности плоскостей называют область в пространстве, ограниченную двумя параллельными плоскостями, отстоящими одна от другой на расстоянии, равном допуску параллельности, и параллельными базе.
Отклонение от параллельности осей (прямых) в пространстве — геометрическая сумма отклонений от параллельности проекций осей (прямых) в двух взаимно перпендикулярных плоскостях.
Перекос осей (прямых) — отклонение от параллельности проекций осей (прямых) на плоскость, перпендикулярную к общей плоскости осей и проходящую через одну из осей (базовую).
Отклонение от соосности относительно общей оси — это наибольшее расстояние между осью рассматриваемой поверхности вращения и общей осью двух или нескольких поверхностей вращения на длине нормируемого участка.
Отклонение от симметричности относительно базовой плоскости — наибольшее расстояние между плоскостью симметрии рассматриваемой поверхности и базовой плоскостью симметрии в пределах нормируемого участка.
Отклонение от пересечения осей, которые номинально должны пересекаться, определяют как наименьшее расстояние между рассматриваемой и базовой осями.
Позиционное отклонение (смещение оси) — наибольшее отклонение реального расположения элемента (его центра, оси или плоскости симметрии) от его номинального расположения в пределах нормируемого участка.
Радиальное биение поверхности вращения относительно базовой оси является результатом совместного проявления отклонения от круглости профиля рассматриваемого сечения и отклонения его центра относительно базовой оси. Оно равно разности наибольшего и наименьшего расстояний от точек реального профиля поверхности вращения до базовой оси в сечении, перпендикулярном этой оси. Если определяется разность наибольшего и наименьшего расстояний от всех точек реальной поверхности в пределах нормированного участка до базовой оси, то находят полное радиальное биение оно является результатом совместного проявления отклонения от цилиндричности поверхности и отклонения от ее соосности относительно базовой оси.
Торцовое биение (полное) — разность наибольшего и наименьшего расстояния от точек всей торцовой поверхности до плоскости, перпендикулярной базовой оси; оно является результатом совместного проявления отклонения от плоскостности рассматриваемой поверхности и отклонения от ее перпендикулярности относительно базовой оси.
Зависимым называют переменный допуск расположения или формы, минимальное значение которого указывается в чертеже или технических требованиях и которое допускается превышать на величину, соответствующую отклонению действительного размера поверхности детали от проходного предела (наибольшего предельного размера вала или наименьшего предельного размера отверстия). Зависимые допуски расположения назначают главным образом в случаях, когда необходимо обеспечить собираемость деталей, сопрягающихся одновременно по нескольким поверхностям с заданными зазорами или натягами.
Независимым называют допуск расположения (формы), числовое значение которого постоянно для всей совокупности деталей, изготовляемых по данному чертежу, и не зависит от действительных размеров рассматриваемых поверхностей.
Шероховатостью поверхности называют совокупность неровностей поверхности с относительно малыми шагами, выделенную с помощью базовой длины.
Базовая длина — длина базовой линии, используемой для выделения неровностей, характеризующих шероховатость поверхности.
Базовая линия (поверхность) — линия (поверхность) заданной геометрической формы, определенным образом проведенная относительно профиля (поверхности) и служащая для оценки геометрических параметров поверхности.
Метрология и технические измерения.
Метрология – наука об измерениях физических величин, методах и средствах измерения их единства и способах достижения требуемой точности.
Задачи метрологии.
1. Установление единиц физических величин
2. Государственных эталонов
3. Разработка теорий, методов, средств измерения и контроля
4. Разработка методов оценки погрешностей, состояния средств измерения и контроля
5. Передача размеров единиц от эталонов или образцовых средств измерений рабочим средствам измерений
Измерение – нахождение значения физической величины опытным путем с помощью специальных технических средств.
Линейные измерения составляют в металлообрабатывающей промышленности 90-98% . Измеряют (10-15-10-23 - атомы), размеры атомов.
К линейным измерениям относятся измерения размеров деталей, отклонения формы и взаимного расположения поверхностей, шероховатость поверхности.
![]() |
Единицы физической величины реализуются в виде эталонов.
Эталон - физическое тело или устройстройство, предназначенное для хранения единиц физической величины.
Основные и производные единицы в СИ
Основные: длина (м), масса (кг), время (с), сила тока (А), сила света (канделла), количество вещества (моль).
Производные: образованные на основе уравнений между физическими величинами: плотность, объем и т.д.
Естественно, что значение физической величины находят с определенной точностью.
Результатом измерения признается только такое значение физической величины, для которого известно, что погрешность его измерения не превышает установленного значения.
Мера предназначена для воспроизведения заданного размера для физической величины. Большее распространение получили плоскопараллельные концевые меры длины.
Средства измерений – техническое устройство, преобразующее измеренную информацию в форму удобную для восприятия оператора.
К средствам измерения относятся: меры, измерительные приборы, измерительные системы, измерительные преобразователи, вспомогательные средства.
Метрологические характеристики средств измерения.
1.
Предел допускаемой погрешности
2. Цена деления – разность значений величин, соответствующим двум соседним отметкам шкалы.
3. Диапазон показаний – область значений шкалы, ограниченная начальным и конечным значениями шкалы.
4. Диапазон измерений – область значений измеряемой величины, для которой нормированы допускаемые погрешности средств измерения.
По способу получения результата измерения различают на:
Прямое измерение – это измерение, измерение в котором искомое значение величины находят непосредственно из опытных данных.
Косвенное измерение – искомую величину находят по известной зависимости между искомой величиной и величинами, определяемыми прямыми измерениями
y=f(a,b,c..h)
L2=L1-L3
Определение плотности однородного тела по его массе и геометрическим размерам.
Различают 2 метода измерения: метод непосредственной оценки и метод сравнения с мерой.
Метод непосредственной оценки – значение величины определяется непосредственно по отсчетному устройству измерительного прибора.
Для этого необходимо, чтобы диапазон показаний шкалы был больше значения измеряемой величины.
ДП>L
При методе непосредственной оценки (НО) настройку прибора на нуль производят по базовой поверхности прибора. Под действием различных факторов (изменения температуры, влажности, вибраций и т.д.) может произойти смешение нуля. Поэтому периодически необходимо производить проверку и соответствующую регулировку.
Метод сравнения – измеряемую величину сравнивают с величиной, воспроизводимой мерой. При измерении методом сравнения с мерой результатом наблюдения является отклонение измеряемой величины от значения меры. Значение измеряемой величины от значения меры. Значение измеряемой величины получают алгебраическим суммированием значения меры и отклонения от этой меры, определенного по показанию прибора.
L=М+П
Метод непосредственной оценки Метод сравнения

ДП>L ДП>L-М
Выбор метода измерения определяется соотношением между диапазоном показаний средства измерения и значением измеряемой величины.
Если диапазон меньше измеряемой величины, то используют метод сравнения.
Метод сравнения используют при измерении, контроле деталей в массовом и серийном производствах, т.е. когда нет частых переналадок измерительного прибора.
Для линейных измерений различие двух методов: - относительно, т.к. измерение - это всегда по существу сравнение с единицей, которая так или иначе заложена в средстве измерения.
Погрешность измерения.
При анализе измерений разграничиваются 2 понятия: истинное значение величины и результатом измерения.
Точность измерений характеризуются погрешностью измерения
Аu=Lизм-Lист
На практике, вместо истинного значения используют так называемое действительное значение, т.е. значение найденное измерением с точностью примерно на порядок выше точности оцениваемого результата.

Du=Lизм-Lдейств
Погрешность измерения не равна погрешности средства измерения.
Классификация погрешностей по причинам возникновения.
![]() |
Инструментальная погрешность (погрешность применяемого средства измерения) зависит от погрешностей средства измерения.
Причины возникновения несовершенство конструкции, неточность изготовления, погрешность градуирования и т.п.
В техническом паспорте указывается предел допускаемой погрешности при которой может быть использован прибор.
Различают основную и дополнительную погрешность средства измерения.
Основная погрешность - погрешность средства измерения, используемого в нормальных условиях.
Дополнительня погрешность - складывается из дополнительных погрешностей измерительного преобразователя и меры, вызванного отклонением от нормальных условий. Например, температура меры отличается от нормальной - это приведет к погрешности настройки прибора на нуль и соответствующей погрешности измерения.
Методическая погрешность - отражает несовершенство или упрощение методики измерения (отличие реальной схемы от теоретической).

При измерении размеров не жестких деталей прибором с большим измерительным усилием (проводятся бесконтактные измерения)
Субъективные (личные) погрешности возникают из-за индивидуальных особенностей оператора.
Погрешность установа Ay - связана с установкой объекта на приборе.
Погрешность отсчитывания DОТС
Погрешность параллакса - кажущееся смещение указателя
Погрешность интерполяции - недостаточно точное оценивание на глаз доли деления шкалы. Для устранения применяют зеркальные шкалы. Стрелка должна быть совмещена с ее отражением в зеркале.



Основная и дополнительная погрешности.
Основная погрешность - определенная при нормальных условиях (температуре, давлении, влажности).
Дополнительная погрешность - возникает из-за отличия условий измерения от нормальных.
Классификация погрешностей по свойствам
![]() |
DИ=DСИСТ+DСЛУЧ+DГР
Случайная погрешность - погрешность, изменяющая величину и знак от измерения к измерению случайных обстоятельств.
Систематическая погрешность - погрешность постоянная по определенному закону при повторных применениях
Грубая погрешность - возникает вследствие ошибки оператора или сбоя оборудования.
Если повторять измерения они будут отличными.
Вероятность ошибки отрицательная и положительная одинакова.
Оценка случайных погрешностей
Случайные погрешности трудно устранить. Они проявляются в рассеивании результатов многократных измерений одной и той же величины.
Оценку случайных погрешностей производят с помощью теории вероятности и математической статистики.
Законы распределения случайных величин.
Закон равной вероятности.
Если погрешность измерения может принимать любые значения, не выходящие за некоторые границы ±Dn с одинаковой вероятностью, то такая погрешность описывается равномерным законом распределения.

С таким законом распределения хорошо согласуются погрешности от трения опорах электромеханических приборов, погрешности размеров в пределах одной группы сортировки при селективной сборке.
Закон треугольного распределения (Закон Симпсона)
По такому закону распределены погрешность суммы (разности) двух равномерно распределенных величин. Например: если отклонения размеров отверстия распределены в пределах наших допусков равномерно, то зазоры или натяги в пределах допуска будут распределены по закону треугольника.
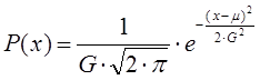
Нормальный закон распределения (закон Гаусса)
Этот закон является одним из наиболее распространенных законов распределения погрешностей, что объясняется центральной предельной теоремой теории вероятностей.
Центральная предельная теорема ТВ - распределение случайных погрешностей будет близко к нормальному всякий раз, когда результаты наблюдения формируются под влиянием большого числа неравномерно действующих факторов, каждый из которых оказывает лишь незначительное действие по сравнению с суммарным действием всех остальных.
Пример:
1. равноценные (50х50)
2. неравноценные (если событий >5)
3. незначительные по сравнению с сумарным действием.
Закон Гаусса имеет следующее выражения:


MX - математическое ожидание, оно является центром группирования результатов наблюдения.
G - среднеквадратичное отклонение характеризует величину рассеивания результатов наблюдений, т.е. точность измерения.
Центральный момент первого порядка.

Сколько бы не измеряли все моменты располагаются около МХ при n®¥.
Центральный момент второго порядка.
ДХ – дисперсия
- характеризует величину рассеивания результатов наблюдения.
Дисперсия – математическое ожидание квадрата отклонения случайной величины от квадрата ее математического ожидания.
В практике неизвестно МХ, поэтому:
- смещенная характеристика поскольку ее математическое ожидание 
- несмещенная характеристика дисперсии.
Так как среднее арифметическое
вычисляется по результатам отдельных наблюдений, то
является тоже случайной величиной и характеризуется своим эмпирическим средне квадратическим отклонением 

Видно, что эмпирическое среднее квадратическое отклонение среднего арифметического значения в
раз меньше эмпирического среднего квадратического отклонения, (т.е. точность среднего арифметического значения в
раз выше точности единичного измерения). Поэтому на практике за результат измерения принимают
, а не результат отдельного измерения, что позволяет уменьшить в
раз случайную составляющую погрешности измерения.
Зная MX и G , можно с определенной вероятностью определить диапазон рассеивания результатов наблюдений D.

где z - коэффициент равный значению функции Лапласа.
68% - доверительная вероятность
В этом интервале лежат 68% всех размеров, среднеквадратическое отклонение является 68% или доверительным интервалом.
![]() |
95% - в промышленности 99.73% - в научных исследованиях
Доверительный интервал, интервал в котором мы ожидаем размер.
Доверительная вероятность - вероятность того, что размеры деталей или результаты измерения окажется внутри доверительного интервала.
За оценку случайной погрешности результата измерений принимают доверительный интервал среднего арифметического.
Случайные погрешности, > 3G , считаются грубыми и исключаются из результата измерения.
При малом n используют коэффициент Стьюдента, где 
При n®¥ распределение Стьюдента переходит в нормальное распределение, чем больше n, тем меньше коэф. Стьюдента, интервал с заданной вероятностью уменьшается
, P= , n=
Систематическая погрешность.

Суммирование погрешностей.
1. Систематические погрешности суммируются алгебраически:

2. Случайные погрешности суммируются квадратически.

Погрешность косвенных измерений




L3= L1 –L2




Выбор средства измерения по точности
![]() | ![]() |
![]() |
Выбирают в зависимости:
- от требований по точности измерения
- с учетом конструктивных особенностей, формы и размеров измеряемой детали
- экономичности
Отклонение формы и расположение поверхностей.
Любую деталь можно представить как совокупность геометрических, идеально точных объемов, имеющих цилиндрические, плоские, конические и др. поверхности. В процессе изготовления деталей и эксплуатации машин возникают погрешности не только размеров, но также формы и расположение номинальных поверхностей. Кроме того, режущие элементы любого инструмента оставляют на обработанных поверхностях следы в виде чередующих выступов и впадин. Эти неровности создают шероховатость и волнистость поверхностей.
Таким образом, в чертежах форму деталей задают идеально точными номинальными поверхностями, плоскостями, профилями. Изготовленные детали имеют реальные поверхности, плоскости, профили, которые отличаются от номинальных поверхностей отклонениями формы и расположения, а также шероховатостью и волнистостью.
Для обеспечения правильной функции машин. Требуемой долговечности деталей и их монтажной взаимозаменяемости необходимо, чтобы конструктор установил допуски формы и расположения поверхностей и указал их на рабочих чертежах деталей так же, как и допуски размеров.
Для нормирования и количественной оценки отклонений формы и расположения поверхностей и профилей стандартом введены следующие термины и понятия:
Реальная поверхность – поверхность, ограничивающая деталь и полученная в результате обработки.
Номинальная поверхность – идеальная поверхность, номинальная форма которой задана на чертеже.
Действительная поверхность – поверхность, воспроизведенная по размерам, измеренным с допусками.
При оценке точности формы чаще всего дело имеют не с поверхностью, а с профилем. Оценку отклонения формы ведут от базовой поверхности. В качестве базовой поверхности принимают поверхность, имеющую форму номинальной поверхности, служащую базой для количественной оценки отклонения формы реальной поверхности.
Прилегающая поверхность:
1. имеет форму номинальной поверхности;
2. соприкасается с реальной поверхностью;
3. расположена вне материала так, что расстояние до наиболее удаленной точки реальной поверхности минимально (расстояние измеряется по нормали и прилегающей поверхности).

D – отклонение формы или расположения поверхности;
Т – допуск формы или расположения;
l– длина нормируемого участка.
![]() |
Комплексными показателями отклонениями формы - являются отклонения, используемые для характеристики работы детали в условиях эксплуатации. Эти параметры задаются нормативными документами, но не всегда обеспечены СИ.
Частными показателями – являются отклонения определенной геометрической формы.
Отклонения формы цилиндрических поверхностей.
1. Поперечное сечение.
Отклонение от круглости – наибольшее расстояние D от точек реального профиля до прилегающей окружности Т круглости - наибольшее допускаемое значение отклонения от круглости.
Поле допуска круглости – область на плоскости, перпендикулярной оси поверхности вращения или проходящей через центр сферы, ограниченной двумя концентрическими окружностями, отстоящими одна от другой на расстоянии, равном допуску круглости Т.
Частные виды отклонения от круглости – овальность и огранка.
Овальность – реальный профиль представляет овальнообразную фигуру, max или min диаметры которого находится во взаимно перпендикулярных направлениях (биение шпинделя токарного или шлифовального станка, дисбаланс детали).

Огранка - реальный профиль представляет собой многогранную фигуру с четным или нечетным количеством граней. Возникает чаще всего при бесцентровом шлифовании - изменение положения мгновенного центра вращения детали.
Для определения отклонений от круглости применяют одно- , двух- и трехточечные приборы, кругломеры.
2. Продольное сечение.
Отклонение профиля продольного сечения – отклонение от прямолинейности и параллельности образующих.

Дифференциальные параметры.
Конусообразность - отклонение профиля продольного сечения, при котором образующие прямолинейны, но не параллельны.
Бочкообразность - отклонение профиля продольного сечения, при котором образующие не прямолинейны и диаметры увеличиваются от краев к середине сечения.
Седлообразность - отклонение профиля продольного сечения, при котором образующие не прямолинейны и диаметры уменьшаются от краев к середине сечения.
Отклонение от цилиндричности – наибольшее расстояние от точек реальной поверхности до прилегающего цилиндра. Понятие отклонение от цилиндричности характеризует совокупность отклонений формы всей поверхности детали.
Поле допуска – область в пространстве ограниченная двумя соосными цилиндрами.
Отклонение формы плоских деталей.
Отклонения от плоскостности - наибольшее расстояние от точек реальной поверхности до прилегающей плоскости в пределах нормируемого участка.

Частные случаи – выпуклость, вогнутость.
При применении отклонений от прямолинейности и плоскостности используют поверочные линейки или концевые меры.
Различают два вида требований к форме поверхности:
1.Требование к форме поверхности на чертеже отдельно не указано. В этом случае следует считать, что все отклонения формы поверхности по своей величине не должны превышать допуск размера данного элемента детали.
2. Требование к форме поверхности указано на чертеже специальным знаком. Это означает, что форму поверхности данного элемента требуется выполнить точнее, чем его размер и величина отклонения формы будет меньше, чем величина допуска размера.
Комплексные параметры – параметры, предъявляющие требования одновременно ко всем видам отклонений формы поверхности.
Частные параметры - параметры, предъявляющие требования к отклонениям, имеющим конкретную геометрическую форму.
В процессе обработки деталей неточности станка и упругие отжатия вызывают случайные изменения размеров, поэтому отклонения формы носят не ярко выраженный характер (овальность, огранка, конусообразность и т.д.), а имеют сложный вид.
Профиль обработанной поверхности имеет случайный характер, т.к. размеры детали в различных сочетаниях имеют различные размеры. Эта разноразмерность и есть отклонение формы.
Изменение отклонений формы.
Отклонения от формы цилиндрических поверхностей измеряют на специальных приборах - кругломерах, а также с помощью универсальных средств линейных измерений.
Кругломеры обеспечивают точное относительное смещение преобразователя и контролируемой детали. При этом в случае отклонения поперечного сечения детали от правильной окружности перемемещаемый наконечник получает перемещения, которые усиливаются усилителем и записываются в виде профилограммы. Для определения отклонения от круглости на профилограмму накладывают прилегающую окружность.
Схема изменения овальности.
Изделие поворачивают между измерительными поверхностями универсального прибора (микрометра, рычажной или индикаторной скобы) или на столе вертикальной стойки под наконечником измерительной головки до получения наибольшего или наименьшего показаний. Затем вал поворачивают на 90˚ и выполняют второй отсчет. Овальность равна полуразности показаний прибора.
Схема измерения огранки.
Огранку с нечетным числом граней измеряют при установке вала в призме трехконтактным методом, при котором две точки соприкасаются с опорой, а одна точка с наконечником прибора.
Конусообразность определяют по диаметрам изделия, измеренным по краям продольного сечения, а бочкообразность и седлообразность по краям и в середине.
Отклонения формы определяют с помощью универсальных и специальных средств измерения.
Контроль отклонений от прямолинейности и плоскостности осуществляют с помощью: поверочных линеек, поворотного плоскомера, гидростатических уровней и т.д.
Отклонения расположения поверхности.
- отклонение реального расположения поверхности от его наименьшего расположения.
Виды отклонений расположения.
Отклонение от параллельности – разность наибольшего и наименьшего расстояний между плоскостями в пределах нормируемого участка.


Отклонение от перпендикулярности плоскостей - отклонение угла между плоскостями от прямого угла, выраженное в линейных единицах на длине нормируемого участка.
Отклонение от соосности – наибольшее расстояние (Δ1, Δ2 ) между осью рассматриваемой поверхности вращения и общей осью вращения.
Отклонение от симметричности относительно базовой плоскости – называется наибольшее расстояние между плоскостью симметрии рассматриваемого элемента и плоскостью симметрии базового элемента в пределах нормируемого участка.
Для контроля соосности используют специальные приспособления.
Отклонения формы должны исключаться из отклонений расположения, поэтому отклонения расположения (от параллельности, перпендикулярности, соосности и т.д.) измеряют от прилегающих прямых и поверхностей , воспроизводимых с помощью дополнительных средств: поверочных линеек, валиков, угольников или специальных приспособлений.

Для контроля соосности применяют специальные приспособления:

В качестве универсальных средств контроля отклонений широко используют координатные измерительные машины.
Суммарные отклонения формы и расположения поверхностей.
При изготовлении деталей машин реальные отклонения формы и расположения поверхностей в подавляющем большинстве возникают одновременно, т.е. поверхность элемента детали оказывается изготовленной с отклонением как по форме , так и по расположению . Сложив алгебраически эти отклонения , получим суммарное отклонение.
В отличие от отклонений расположения суммарные отклонения определяют по точкам реальной нормируемой поверхности относительно прилегающих базовых поверхностей элементов деталей.
В качестве базовой поверхности, относительно которой определяется суммарное отклонение, принимается прилегающая поверхность или ее ось.
Радиальное биение( ECR) - разность наибольшего и наименьшего расстояний от точек реального профиля поверхности вращения до базовой оси в сечении плоскостью, перпендикулярной базовой оси.
Является результатом совместного проявления отклонений от цилиндричности и отклонений от соосности относительно базовой оси.
В другой терминологии – отклонением расположения при нормировании радиального биения является эксцентриситет, когда ось вращения деталей не совпадает с геометрической осью этой детали.
Если пренебречь отклонением формы, т.е. отклонением от круглости , то радиальное биение выявит удвоенный эксцентриситет.
Это обстоятельство часто используют, когда необходимо “выставить” ось детали с осью вращения элемента, на котором эта деталь рассматривается, например: на планшайбе станка для обработки. В этом случае по результатам измерения радиального биения деталь смещают и добиваются устранения радиального биения или оставляют его в допускаемых пределах.
Торцевое биение (ECA) - разность наибольшего и наименьшего расстояний от точек реального профиля торцевой поверхности до плоскости, перпендикулярной базовой оси.
Является результатом совместного проявления отклонений от плоскостности и отклонений от перпендикулярности ( 2…3мм - если нет специальных указаний на чертеже).
Измерение радиального и торцевого биений.
Деталь устанавливают в приспособление для измерения радиального биения. К детали подводят стойку с измерительной головкой и по максимальному отклонению стрелки выставляют на нулевую отметку. При повороте детали на 360˚ фиксируют наибольшее и наименьшее отклонение стрелки головки. Разность этих показаний равна радиальному биению.
Если базой является ось вращения, то деталь устанавливают в центры или на оправку, а если радиальное биение определяется относительно поверхности вращения, то деталь устанавливают этой поверхностью на призму.
Деталь устанавливают базовой поверхностью на призму и фиксируют от перемещения в осевом направлении с помощью упора. К поверхности детали на заданном радиусе R подводят измерительный наконечник головки, закрепленный на стойке. Настраивают измерительную головку на нулевую отметку, а затем поворачивают деталь на 360˚ прижимая ее к упору и регистрируя наибольшие и наименьшие показания головки. Разность этих показаний – значение торцевого биения детали на заданном радиусе R.
Все указанные отклонения формы и расположения ограничиваются допуском.
Если допуск на чертеже не указывается это значит, что отклонение ограничивается допуском на размер между поверхностями или осями. Существует 16 степеней точности(1-->16).
Допуски задаются в зависимости от интервалов номинальных размеров.
Соотношения между допуском формы и расположения, и допуском размера установлены посредством 3 уровней относительно геометрической точности:
А – нормальная Tфир=60% IT
B – нормальная Tфир=40% IT
C – нормальная Tфир=25% IT
Допуски на цилиндричность, круглость и продольное сечение составляют 30%, 20%, 12,5%.
Допуски расположения хорошо охватывающих и охватываемых поверхностей могут быть независимыми и зависимыми.
Независимый допуск - это допуск, числовое значение которого постоянно для всех деталей от действительного рассматриваемого размера или базового элемента.
Зависимый допуск - это допуск, изменяющийся в определенных границах в зависимости от действительного размера рассматриваемого или базового элемента из конкретной детали.
Обозначение допусков формы и расположения поверхностей на чертежах.
Требование к точности формы поверхности указано на чертеже в прямоугольных рамках, разделенных на две или три части.
В первой части слева помещают знак допуска, во второй – числовое значение допуска, выраженное в мм, в третьей – базу от которой производится измерение.

Рамку допуска соединяют с контурной линией или вспомогательной вынос ной линией элемента, к которому относится допуск.
![]() |
Указание базовых поверхностей
Допуски задаются либо в диаметральном либо в радиусном выражении
Единая система допусков и посадок (ЕСДП).
ЕСДП - называется совокупность допусков и посадок закономерно построенных на основе опыта, теоретических и экспериментальных исследований и оформленных в виде стандартов.
ISO - международная организация стандартов.
ЕСДП позволяет устранить произвол в выборе посадок, это дает возможность стандартизировать режущий и измерительный инструмент.
Система распространяется на гладкие цилиндрические элементы и элементы ограниченные II плоскостями.
Система строится по признакам ИСО.
Система строится по определенным признакам.
Обеспечение нормального температурного режима.
В производстве принято соблюдать следующие условия нормального температурного режима:
А) tдет=tизм.ср. – нужна совместная выдержка детали и измерительного средства в одних условиях;
Б) aдет=aизм.ср. – При несоблюдении этих условий вводится поправка
Dl=l(a1Dt1-a2Dt2)
где l –измеряемый размер,
Dl – температурная погрешность,
a1 и -a2 – температурные коэффициенты линейного расширения материалов детали и измерительного средства.
Dt1 = t1-20оС
Dt2 = t2-20оС
При t1 = t2 = 20оС – температурная погрешность измерения отсутствует.
Система строится по определенным признакам.
2) Основание системы.
Таблицы системы допусков и посадок представлены в виде СА и СВ.
Для того, чтобы достичь различный характер сопряжения нецелесообразно одновременно смещать поля допусков обеих деталей.
| В СА различные посадки получают за счет изменения предельных размеров вала, не меняя при этом исполнительных размеров основной детали. | В СВ различные посадки получают за счет изменения предельных размеров отверстия, не меняя при этом исполнительных размеров основной детали – вала. |

Поле допуска Поле допуска
основной детали (H, h) сопрягаемых деталей
Поле допуска основной детали имеет специфическое расположение:
1. Одно из предельных отклонений равно 0. ЕI = 0;
es = 0.
2. Поле допуска основной детали дает наименование системы.
3. Назначение одной и той же посадки в системе отверстия и вала не меняет посадку (значение S или N), а приводит лишь к изменению размеров детали.
Системы формально равноправны, но СА является предпочтительной.
Выбор системы определяет:
1. Технология изготовления.
2. Конструкция узла.
3. Система в которой выполнена деталь.
Технологические факторы.
С точки зрения технологии изготовления точные валы более дешевы в производстве, чем точные отверстия.
Точные отверстия обрабатывают дорогостоящим инструментом (зенкеры, развертки, протяжки и т.д.)
В СА различных по предельным размерам А, меньше, чем в СВ.
По технологическим соображениям предпочтительна СА при прочих равных условиях. (меньше номенклатура р.и.)
Конструкция узла.
![]() |
Использование комбинированного проката делает выгодной СВ.
3 Выбор системы определяется расположением поля допуска покупной детали.
Система односторонняя предельная.

Признак регламентирует расположения поля допуска основной детали. Одно отклонение размера всегда равно 0, а допуск направлен от номинала «в тело».
Принято по стандарту ISO.
Для отверстия поле допуска «+»
Для вала поле допуска «-» .
Принцип экономии металла, заключающийся в расположении поля допуска в сторону металла от номинального размера: поле допуска основного отверстия располагается вверх, а основного вала – вниз от нулевой линии. Экономия получается в результате того, что допустимые отклонения действительных размеров уменьшают массу основной детали. Такая система допусков называется односторонней предельной.
Признак. Единица допуска связывает точность с самим размером (устанавливают экспериментально). Оценка относительной точности одинаковых номинальных размеров не вызывает затруднений.
Например: размер 8 с Td=15 мкм точнее, чем с Td=40 мкм.

Иначе обстоит дело при разных номинальных размерах.
D=64 мм с Td=20 мкм точнее, чем D=8 мм с Td=15 мкм.
Чем больше размер – допуск больше, т.к. больше трудностей с изготовлением детали,
T=ai
i – единица допуска, является функцией номинального размера,
а – значение коэффициента точности наз. числом единиц допуска.
I=0,45 3Ö D +0,001D (для размеров 1 – 500)
D=ÖDmax Dmin
D – среднегеометрическое крайних размеров каждого интервала.
Признак. Квалитеты точности.
Квалитет – совокупность допусков, характеризуемых постоянной относительной точностью, определяемый коэффициентом а, для всех номинальных размеров данного диапазона.
Точность в пределах одного квалитета зависит только от номинального размера.
Установлено 20 квалитетов.
01, 0, 1, 2, 3, 4, 5-12 13-18
Возможно Измерительные Область Область
ожидать инструменты размеров, несопряга-
и точные приборы где применяются гаемых
посадки размеров
Квалитет определяет величину допуска на изготовление, а следовательно, и соответствующие методы и средства обработки деталей машин и контроля.
Обозначается IT с номером квалитета
IT – “Internal tolerance” (ICO)
Например: IT7;
(При переходе от одного квалитета к другому допуски возрастают на 60%, через каждые 5 квалитетов допуски возрастают в 10 раз).
Диапазоны размеров и градация интервалов.
Диапазон размеров
| 1 | Св 0,1 до 1 | В приборостроении, часовой промышленности |
| 2 | Св 1 до 500 | Общее машиностроение |
| 3 | Св 500 до 1650 | Тяжелое машиностроение |
| 4 | Св 1650 до 10000 | Тяжелое машиностроение |
| 5 | Св 10000 до 25000 | Тяжелое машиностроение |
| 6 | Св 25000 | При необходимости надо обосновать допуски |
Интервалы номинальных размеров.

Если для каждого размера (через 1 мм) по формулам подсчитывать допуски для каждого квалитета, то полученные таблицы будут громоздкими, а разница между соседними допусками будет мала. Поэтому диапазон размеров до 10000 мм разбит на 26 интервалов, т.о. чтобы табличный допуск, подсчитанный по среднему размеру интервала D=ÖD1D2 отличался от допусков для крайних размеров интервала D1 и D2 не более чем на 5…8%.
Если размер попал на границу интервала, то допуск берут в меньшем, т.е. предыдущем интервале.
Основные отклонения.
Def. Основное отклонение – это одно из двух отклонений (верхнее или нижнее) используемое для определения положения поля допуска относительно нулевой линии. Основное отклонение – ближайшее к нулевой линии.
![]() |
Общие правила:
Основное отклонение отверстия равно по числовому значению основному отклонению вала с тем же обозначением (той же буквой), но с противоположным знаком.
EI=-es (A-H)
ES=-ei (K-Zc)

Исключение.
1) для отверстия J, K, H, N –с допуском 3…8 квалитетов.
2) Для отверстия P-Zc – с допуском 3…7 квалитетов.
Специальные правила – две соответствующие одна другой посадки в системе отверстия и в системе вала, в которых отверстие данного квалитета соединяется с валом ближайшего более точного квалитета должны иметь одинаковые размеры или натяги.
Основное отклонение должно быть:
ES=-ei+D,
Где D - разность между допуском IT и рассматриваемого квалитета и допуском ITn-1 ближайшего более точного квалитета.
D= IT-ITn-1
Поле допусков. Поле допуска в системе СЕСО и СЭВ образуется сочетанием одного из основных отклонений с допуском по одному из квалитетов. В соответствии с этим поле допуска обозначается буквой основного отклонения (или в некоторых случаях двумя буквами) и номером квалитета, например,
Для вала – h7, d9.
Для - H7, D9.
Второе предельное отклонение, ограничивающее данное поле допуска, можно определить по основному отклонению и допуску принятого квалитета.
Если основное отклонение верхнее, то нижнее отклонение равно:
Для вала ei=es-IT
Для отверстия EI=ES-IT
Если основное отклонение нижнее, то верхнее отклонение равно:
Для вала – es=ei+IT
Для отверстия – ES=EI+IT

Поля допусков для посадок с зазором сосредоточены по IT4….IT12. Для неподвижных соединений в более точных – IT4…IT8.
Пример. Определить нижнее отклонение ei вала Ф15d11, если допуск IT11 равен 110 мкм.

еi=es-IT=-50-110=-160 мкм.
Предпочтительные поля допусков.
Поля допусков могут быть образованы сочетанием любых основных отклонений с различными квалитетами.
С целью унификации изделий (сокращению излишнего многообразия) из всей совокупности полей допусков выделены поля допусков предпочтительного применения, которые необходимо использовать в первую очередь. Остальные поля допусков можно использовать в технически обоснованных случаях.
Для отверстий: E; F; H; Js; K; N; P

В основном предпочтительным считается седьмой квалитет для отверстия.
Для валов валов предпочтительным является шестой квалитет.
Обозначение допусков и посадок на чертежах.

Условное обозначение на рабочих чертежах указывают в случаях использования стандартного мерного и режущего инструмента (разверток, протяжек) и соответствующих предельных калибров.
В числовом выражении поля допусков преимущественно задают на рабочих чертежах деталей при использовании универсального измерительного инструмента – в единичном и мелкосерийном производстве, а также при наладке станков в массовом производстве.
Наиболее предпочтительной формой указания поля допусков является комбинированное. Для размеров сопрягаемых поверхностей конструктор может использовать любые основные отклонения от A(a) до Z(z).
Для несопрягаемых размеров конструктор использует только два основных отклонения «Н» - для охватывающих размеров, «h» - для охватываемых размеров, в тех случаях, когда размер трудно отнести к охватываемым или охватывающим, допуск назначают симметрично.
Допуски назначают по 12…17 квалитету.
![]() |
Если размер можно охватить, например, штангенциркулем, то он называется охватываемым.
Обычно на чертеже рядом с номинальными эти поля допусков не указывают, а предельные отклонения несопрягаемых поверхностей указывают общей записью в техническом требовании на поле чертежа.
Неуказанные предельные отклонения обозначают следующим образом:
H14; h14; ±t2/2 или H14; h14; ±IT14/2.
Допуски для несопрягаемых поверхностей можно назначить и по классам точности (спец.), «неуказанных предельных отклонений».
Классы точности: Точный (t1)~IT12
Средний (t2)~IT14
Грубый (t3)~IT16
Очень грубый (t4)~IT17
Эти допуски получены грубым округлением допусков квалитетов.
В машиностроении рекомендуется для размеров металлических деталей, обрабатываемых резанием, 14 квалитет.
Другая запись:
+t2; -t2; ±t2/2.
Рекомендуется первая запись. Эту запись допускается дополнять поясняющими словами:
«Неуказанные предельные отклонения размеров:
H14; h14; ±t2/2»
Или
«Неуказанные предельные отклонения размеров:
отверстий по H14, валов по h14, остальных ±IT14/2.
Выбор посадок.

Переходные посадки относятся к неподвижным и применяются тогда, когда по эксплуатации изделий требуется больше одной переборки соединения. Неподвижность посадки достигается крепежными средствами в виде шпонок, штифтов, стопорных винтов.
Посадки с натягом предназначены для образования неподвижных соединений с высокой степенью центрирования. Относительная неподвижность деталей обеспечивается силами сцепления (трения), возникающими на контактирующих поверхностях в следствие их деформации. Посадку считают годной, если при наименьшем натяге гарантируется неподвижность соединений, а при наибольшем – прочность соединяемых деталей. При этих условиях соединение передает крутящий момент и осевую силу, а детали не разрушаются от внутреннего напряжения вызванных натягом.
NmaxF³Nmaxтабл
NminF£Nminтабл
Переходные посадки.
Используются в неподвижных разъемных соединениях для центрирования деталей, которые могут периодически передвигаться вдоль вала или быть смененными. Эти посадки малыми NuS, что позволяет собирать детали при небольших усилиях. Для гарантии неподвижности деталей дополнительно крепятся шпонками, стопорными винтами.
Легкость сборки и разборки соединений с переходными посадками, а также характер этих посадок определяется вероятностью получения в них S и N.
Рассмотрим методику определения вероятного числа соединений с натягами и зазорами в этих посадках (вероятность получения зазора и натяга).
Дано соединение Ф60H7/m6.
Натяг может быть в пределах от 0 до 30 мкм S от 0 до 19 мкм.
TNS=49 мкм.

Считаем, что рассеяние размеров отверстия и вала, а также N и S подчиняется закону нормального распределения и допуск деталей равен полю рассеяния, т.е.
Т=6s
Учитывая это
sотв=30/6=5 мкм; sвала=19/6=3,17 мкм.
Среднее квадратическое отклонение
sпос=Ös2отв+s2вала=Ö52+3,172=5,92 » 6 мкм
Среднее отклонение отверстия равно
(ES+EI)/2=(30+0)/2=+15 мкм
Среднее отклонение вала равно
(es+ei)/2=(30+11)/2=+20,5 мкм
Для средних значений размеров отверстия и вала N=5,5 кмк.
Эту величину следует принять за центр распределения зазоров-натягов. Отсчитывая от нее величины ±3sпос получим (считая натяги отрицательными величинами, а зазоры – положительными) более вероятный предельный натяг равный –5,5-18=-23,5 мкм (вместо 30 мкм) и предельный зазор, равный –5,5+18=+12,5 мкм (вместо 19 мкм). Вероятность получения натягов в соединении определяем с помощью интеграла Лапласа Ф(Z).
Х=5,5 мкм (случайная величина) переходит от Х к безразмерной величине Z=X/sпос=5,5/6 » 0,91.
Пользуясь таблицей значений интегралов функции Ф(Z) находим Ф(Z)=0,3186.
Вероятность получения натягов в соединении
0,5+0,3186=0,8186 или 81,86%
Вероятность получения зазоров (недоштрихованная площадь под кривой распределения)
1-0,8186=0,1814 или 18,14%
Схема расположения полей допусков
для посадки Ф20F8/k5 c зазором.
Smax=Dmax-dmin=51 мкм
Smin=Dmin-dmax=9 мкм
Sm=(Smax+Smin)/2=30 мкм
![]() |
TS=Smax-Smin
С натягом.

Переходные
1) Smax=Dmax-dmin
2) Nmax=Dmin-dmax
3) (S,N)m=(Smax+Nmax)/2

Выбор стандартной посадки
По расчетным значениям.
Пример
Ф50
Nmax=80 мкм
Nmin=20 мкм
Nmax=Td+Nmin+TD
Td+TD=Nmax-Nmin
TD=Td
TD=(Nmax-Nmin)/2=(80-20)/2=30 мкм 7 квалитет


Ф20 Н7/к6
1) Smax=Dmax-dmin=+21-(+2)=19
2) Nmax=Dmin-dmax=0-(+15)=-15 (натяг)
3) (S,N)max=(Smax+Nmax).2=(19-15).2=2
4) Sm=2 мкм
5) T(S,N)=|Smax|+|Nmax|=19+15=34

Ф20Js7/h6
- Smax=Dmax-dmin=10,5+13=23,5 мкм
- Nmin=-Dmin+dmax=0-10,5=-10,5 мкм
- Sm=(23,5-10,5)/2=6,5
![]() |
Принципы выбора допусков и посадок.
Существует три метода выбора допусков и посадок.
Метод прецедентов (метод аналогов) заключается в том, что конструктор отыскивает в однотипных или других машинах, ранее сконструированных и находящихся в эксплуатации, случаи применения конструкции (узла), подобной проектируемой, и определяет допуск и посадку.
Этот метод применим только в случае полной тождественности узла при условии, что оптимальность выбранных допусков и посадок проверена экспериментом и подтверждена производственными испытаниями.
Метод подобия – развитие метода прецедентов. Он возник в результате классификации деталей машин по конструктивным и эксплуатационным признакам и выпуска справочников с примерами применения посадок.
Устанавливается аналогия конструктивных признаков и условий эксплуатации узла с признаками, указанными в справочниках.
Недостаток – сложность определения признаков однотипности и подобия.
Расчетный метод – наиболее обоснованный метод выбора допусков и посадок. Меньшие допуски – высокая себестоимость, но более высокая точность сопряжения, постоянство его характера в большей партии и более высокие эксплуатационные показатели изделия в целом.
Расширенные допуски – не требуется точное оборудование и отделочные технологические процессы, но снижает точность и, следовательно, долговечность машин.
Поэтому перед конструкторами, технологами и метрологами всегда стоит задача рационально, на основе технико-экономических расчетов разрешать противоречие между эксплуатационными требованиями и технологическими возможностями, исходя в первую очередь из выполнения эксплуатационных требований.
Государственная система стандартизации.
Основные термины в области стандартизации установлены Комитетом ISO по получению научных принципов стандартизации (СТАКО). В нашей стране Государственная система стандартизации (ГСС) была разработана в 1965 году.
Она представляет собой комплекс взаимоувязанных правил и положений, определяющих цели и задачи стандартизации, организацию и методику проведения работ по стандартизации во всех отраслях народного хозяйства СССР и союзных республик, порядок разработки, оформления, согласования, утверждения, издание, внедрение стандартов и другой нормативно-технической документации, а также контроля над их внедрением и соблюдением.
Таким образом, ГСС определяет организационные, методические и практические основы стандартизации, она оформлена ГОСТ 1.0 - 68:1,5- 68 и 1.20 - 69.
Стандартизация - это установление и изменение правил с целью упорядочения деятельности в определенной области на пользу и при участии всех заинтересованных сторон и, в частности, для достижения всеобщей оптимальной экономии при соблюдении условий эксплуатации (использования) и требований безопасности.
Стандартизация основывается на объединенных достижениях науки, техники и практического опыта и определяет основу не только настоящего, но и будущего развития и должна осуществляться неразрывно с прогрессом.
Широкое развитие стандартизации обусловливается быстрыми темпами развития науки и техники, усложнением изделий, выполняемых совместно большим числом предприятий при возрастающей сложности управления хозяйством, появлениях новых материалов и повышением требований к надежности изделий.
Стандарт - это результат конкретной работы по стандартизации, выполненный на основе достижений науки и техники и практического опыта и принятой (утвержденной) компетентной организации.
Он может быть:
а) в виде документа содержащего ряд требований, подлежащих выполнению;
б) в виде основной единицы или физической константы, например, ампер, абсолютный нуль шкалы Кельвина.
в) в виде какого-либо предмета для физического сравнения, например, эталон метра, эталон килограмма и т. д.
В стандарте должно быть сформулировано оптимальное решение повторяющейся задачи, принятое и применяемое промышленностью.
Стандарты содержат показатели, которые гарантируют возможность повышения качества продукции и экономичности ее производства, а также повышение уровня ее взаимозаменяемости.
В зависимости от сферы действия стандарты делят на следующие категории:
государственные (ГОСТ), отраслевые (ОСТ), республиканские (РСТ) и стандарты предприятий (СТП).
Применение государственных стандартов обязательно всеми предприятиями, организациями и учереждениями страны.
Отраслевыми стандартами пользуются все предприятия и организации данной отрасли, а также смежных отраслей, изменяющих продукцию этой отрасли.
Республиканские стандарты обязательны для всех предприятий и организаций республиканского и местного подчиненя данной союзной республики независимо от их ведомственнгй принадлежности.
Стандарты предприятий действубт только в их пределах.
Стандарты утверждаются соответствующими организациями ГОСТ - бесстандартном СССР, ОСТ - министерством (ведомством), являющимся ведущим в производстве данного вида продукта. РСТ - советами министров союзныхреспублик или их госпланами; СТП - руководством предприятий.
Особо важные ГОСТы утверждаются Советом Министров СССР.
Порядок разработки, согласованиа утверждения, оформления, регистрации и издания стандартов установлен ГОСТ 1.2 - ГОСТ 1.3 - и 1.4 -
Объектами стандартизации является конкретная продукция, а также нормы, правила, требования, методы, термины, обозначения и т. п., имеющие перспективу многократного повторения в науке, технике, промышленном и сельскохозяйственном производстве, строительстве, транспорте, культуре, здравоохранении и других сферах.
Показатели, нормы, характеристики, устанавливаемые стандартами, должны соответствовать передовому уровню науки, техники и производства, а также принятым Советским Союзом рекомендациям СЭВ по стандартизации и учитывать рекомендации международных организаций.
Государственные стандарты должны устанавливаться преимущественно на продукцию массового и крупносерийного производства межотраслевого применения, на изделия, прощедшие государственную аттестацию, экспортные товары, а также на нормы, правила, требования, понятия, обозначения и другие объекты, установление которых необходимо для обеспечения оптимального качества продукции, единства и взаимосвязи различных областей науки, техники, производства и т.п.
Отраслевые стандарты устанавливаются на продукцию, не относящуюся к объектам государственной стандартизации, на технологическую оснастку, инструмент, специфические для отрасли, технологические нормы и типовые технологические процессы отраслевого применения, а также на нормы, правила, требования, термины и обозначения, регламентация которых необходима для обеспечения взаимосвязи предприятий и организаций отрасли.
Республиканские стандарты устанавливаются на продукцию, выпускаемую предприятиями союзно-республиканского, республиканского и местного подчинения союзной республики, за исключением продукции, относящейся к объектам государственной или отраслевой стандартизации.
Стандарты предприятий устанавливаются на нормы, правила, требования, методы, составные части изделий и другие объекты, имеющие применение только на данном предприятии.
По содержанию требований стандарты делятся на 13 видов:
1) стандарты технических условий (всесторонних технических требований);
2) стандарты параметров (размеров);
3) стандарты типов и основных параметров (размеров);
4) стандарты марок;
5) стандарты сортамента;
6) стандарты конструкции и размеров;
7) стандарты технических требований;
8) стандарты правил приемки;
9) стандарты методов испытаний (контроля, анализа, измерений);
10) стандарты правил маркировки, упаковки, транспортирования и хранения;
11) стандарты методов и средств поверки мер и измерительных приборов;
12) стандарты правил эксплуатации и ремонта;
13) стандарты типовых технологических процессов;
Кроме того, могут быть общетехнические и организационно-методические стандарты, для которых виды не установлены.
Ответственность за несоблюдение стандартов.
Государственный надзор за внедрением и соблюдением стандартов осуществляет Комитет стандартов. За поставку продукции, не соответствующей требованиям стандартов, изготовитель несет ответственность, предусмотренную основами гражданского законодательства Союза ССР и союзных республик. Должностные лица промышленных предприятий, ответственные за выпуск продукции, несоответствующей стандартам, несут ответственность, предусмотренную уголовным законодательством союзных республик.
Стандарты на общетехнические нормы, термины и обозначения.
Росту качества и уровня взаимозаменяемости изделий, унификации и упрощения проектных работ в большой мере способствуют общетехнические нормы.
К ним относятся ряды номинальных частот и напряжений электрического тока, нормы точности зубчатых передач, допуски и посадки, резьбы, предпочтительные числа и т.п.
К общетехническим нормам относится также государственная система классификации и кодирования технико-экономической информации, включающая комплекс взаимосвязанных общесоюзных классификаторов промышленной и сельскохозяйственной продукции, конструкторской документации и технологический классификатор. Необходимость создания этой системы обусловлена ростом масштабов производства и связанным с этим увеличением потоков информации, циркулирующей в народном хозяйстве. В настоящее время перед народным хозяйством стоит задача – создать общегосударственную автоматизированную систему сбора и обработки информации на базе государственной системы вычислительных центров и единой автоматической сети связи страны (ОГАС). Ее составной частью будет автоматизированная система управления (АСУ) Госстандарта СССР. Работа АСУ требует “машинного” языка, для чего и создается Государственная система классификации и кодирования.
В качестве основы общесоюзного классификатора продукции (ОКП) используется Единая десятичная система классификации промышленной и сельскохозяйственной продукции (ЕДСКП). В классификации принят принцип последовательной конкретизации классификационных группировок.
Большое внимание уделяется стандартизации общетехнических норм и терминов, используемых при проектировании (нормальные линейные размеры, нормальные углы и конусности, допуски и посадки типовых деталей и соединений, методы расчета и др.) и в производственно-технической документации. Так в СССР широкое распространение получили термины по надежности в технике (ГОСТ 13377- ) термины и определения параметров резьбы (ГОСТ 11708- ), термины и определения в области передач (ГОСТ 16530- и 16531- ) и др.
Большую роль играет стандартизация технической документации, позволяющая повысить производительность инженерного и управленческого труда.
В СССР создана Единая система конструкторской документации (ЕСКД).
ЕСКД устанавливает единые правила и требования к разработке, выполнению, оформлению, обозначению, учету, хранению и изменению конструкторской документации, включая эксплуатационную и ремонтную документацию. Внедрение этой документации обеспечивает для всех отраслей промышленности единообразие всей конструкторской документации, исключает недоработку ее при передаче с одного предприятия на другое, обеспечит саму ее разработку и корректировку, создаст условия для применения вычислительной техники для обработки документации и будет способствовать унификации, агрегатированию и специализации производства.
Весь комплекс стандартов ЕСКД делится на следующие основные части:
1) Основные положения (виды изделий, виды конструкторской документации, стадии разработки, требования к чертежам и т.д.) - ГОСТ 2.101- -2.115-
2) Обозначение изделий и документов - ГОСТ 2.201-
3) Общие правила выполнения чертежей - ГОСТ 2.301- -2.317-
4) Правила выполнения чертежей различных изделий - ГОСТ 2.401- -2.422-
Рекомендуем посмотреть лекцию "20 Либеральная, социально-государственная и коммунитаристская теории справедливости".
5) Учет и обращение документации - ГОСТ 2.501- -2.503-
6) Эксплуатационная и ремонтная документация ГОСТ 2.601 - -2.606-
7) Правила выполнения схем и обозначения условные графические - ГОСТ 2.701- -2.787-
8) Специальные требования и прочие стандарты.
Следует отметить большое значение ГОСТ 2.116- “карта технического уровня и качества продукции”, в которой фиксируются достигнутый и перспективный уровни качества изделий, а также показатели лучших отечественных и зарубежных аналогов.
В ЕСКД все изделия подразделяют на детали, сборочные единицы, комплексы и комплекты, причем на все сборочные единицы разрабатываются самостоятельные спецификации (Сп), поэтому отпадает необходимость помещать на сборочных чертежах угловые спецификации. Принята пятиступенчатая классификация изделий на классы, подклассы, группы, подгруппы и виды.




































