Методы управления
4.Методы управления
4.1 Моделирование
Организация и управление процессами, которые связаны с менеджментом в организациях связи, носят комплексный характер. События, связанные с проведением конкретных мероприятий, характеризуются динамикой и вероятностным характером, поскольку зависят от многих факторов, которые требуют постоянного внимания и анализа их состояния. Методы моделирования находят и в этой области весьма широкое применение.
Процесс моделирования в общем случае должен проходить следующие этапы:
1. эксперимент или объективное наблюдение;
2. анализ полученных данных и создание абстрактной модели изучаемого явления (процесса);
3. экспериментальная, практическая проверка адекватности теоретических модельных представлений реальному явлению (процессу).
Использование моделирования при анализе основных управленческих процессов, позволяет сократить время, более экономно использовать выделенные ресурсы и повысить эффективность анализа по ряду причин:
1. Моделирование – это универсальный метод познания специалистами объективной реальности, охватывает широкую и разнообразную совокупность познавательных приемов, основанных на переносе знания, извлеченного из построения и анализа модели, на оригинал, то есть тот объект, который моделируется. При этом модель отображает или моделирует определенные свойства изучаемого объекта.
2. Моделирование имеет тесную связь с экспериментом. Фактически оно представляет собой модельный эксперимент. Его специфика по сравнению с обычным состоит в том, что в процессе познания появляется новое промежуточное звено - модель, выступающая и как средство, и как предмет экспериментального исследования, заменяющий оригинальный объект изучения. Благодаря этому возможности экспериментального исследования значительно расширяются, так как на моделях можно воспроизводить и изучать многие объекты, прямой эксперимент над которыми затруднителен, экономически невыгоден или вообще невозможен. Особое значение приобретает такой вид эксперимента тогда, когда объектом изучения являются те стороны явления (процесса), которые физически не могут быть отделены от него самого. Применительно к моделированию спроса это означает воспроизведение различных аспектов, стадий, этапов процесса потребления услуг связи.
3. В качестве инструмента, средства анализа, идеализации, моделирование позволяет решать задачи синтеза и конкретизации знания. Это обычно осуществляется посредством уточнения и дополнения исходной модели новыми элементами, свойствами, характеристиками, в результате конкретизированная модель становится более полным и точным отображением моделируемого фрагмента действительности.
4. Модели и моделирование имеют не только прикладное, но еще и обучающее значение. Они предоставляют возможность дать доступное объяснение в наглядной форме, в частности по аналогии с хорошо известными или изученными процессами с использованием средств эффективной демонстрации.
5. Моделирование можно использовать в качестве средства воспроизведения сложного объекта или структуры в виде единого целого. Это особенно важно, если на практике рассматривается лишь некоторая его часть. При этом образ объекта, который может использоваться при дальнейшем анализе, формируется путем построения знаковых систем, схем, позволяющих наглядно представить связи и отношения, способные охарактеризовать объект как целое.
6. Моделирование связано с процессами абстрагирования и идеализации, посредством которых происходит выделение тех сторон моделируемых объектов, которые отображаются на модели, что позволяет в первую очередь выделять наиболее важные направления решения проблем.
Модель фактически является заменой объекту оригиналу и предполагает возможность осуществления над ней каких-либо экспериментальных действий с целью получения новых знаний, а в итоге разработки и принятия управленческого решения, которое при соответствующей оценке по определенным критериям можно будет считать достаточно эффективным и приемлемым в сложившейся ситуации.
4.2 Сетевые методы планирования и управления (СПУ)
Рекомендуемые материалы
4.2.1 Основы построения сетевой модели
Сетевые методы планирования и управления используются для планирования и управления сложных динамических разработок. Областями наиболее целесообразного применения систем СПУ в хозяйстве связи являются планирование, контроль и оперативное руководство такими видами деятельности, как:
1. Строительство сооружений и монтаж оборудования.
2. Реконструкция и ремонт действующих объектов связи.
3. Организация и управление производственными процессами в организациях связи.
4. Целевые разработки сложных систем.
В основе СПУ лежит сетевая модель разработки.
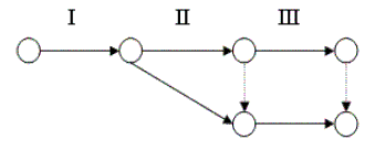
Сетевая модель (сетевой график) – это графическое изображение всех работ, всех операций в их строго технологической последовательности, которые нужно выполнить, чтобы что-то построить или что-то создать.
Преимущество СПУ: они позволяют из всего перечня работ выделить те работы, от своевременности выполнения которых зависит срок сдачи объекта в эксплуатацию (критические работы).
СПУ позволяют установить, какими запасами времени располагают работы, не лежащие на критическом пути. Знания этих резервов используются при корректировке планов.
Основная область применения СПУ – строительство объектов и организация производственных процессов.
Основными элементами СГ являются:
- работа;
- событие;
- путь.
Работа – это процесс или действие, приводящее к определенному результату.
Существует три вида работ:
- действительная – протяженный во времени процесс, требующий затрат ресурсов и времени;
- работа-ожидание – протяженный во времени процесс, не требующий затрат;
- фиктивная – логическая связь между двумя или несколькими работами, не требующих затрат ни материальных, ни труда, ни времени;она указывает на возможность одной работы непосредственно
зависеть от результатов другой;продолжительность фиктивной работы равна нулю.
На СГ действительная работа и работа-ожидание обозначаются так

Над каждой работой указывается либо продолжительность (в часах, днях, месяцах), либо номер, либо наименование работы.
Фиктивная работа на СГ обозначается

Событие определяет окончание одной или нескольких работ и одновременно начало последующих работ.
Любая работа соединяет только два события.

Событие, из которого выходит работа, называется начальным или предшествующим по отношению к данной работе.
Событие, в которое заходит работа, называется конечным или последующим для данной работы.

I – начальное событие
j – конечное событие
Событие, которое не имеет предшествующих работ, называется исходным событием.
Событие, которое не имеет последующих работ, называется завершающим.
Все остальные события являются промежуточными.
Путь – это непрерывная последовательность работ между двумя событиями.
Полный путь – непрерывная последовательность работ от исходного события до завершающего.
Укороченный путь – непрерывная последовательность работ от исходного события до любого промежуточного, либо от какого-нибудь промежуточного события до завершающего.
Критический путь – наибольший по продолжительности полный путь на сетевом графике, он определяет min необходимое время для выполнения всего комплекса работ (т. е. за меньшее время работы выполнить нельзя).
Подкритический путь – по продолжительности близкий к критическому и при определенных условиях он может стать критическим.
Правила построения сетевых графиков
1. Необходимо установить, какие работы должны быть завершены до начала данной.
2. Необходимо определить, какие работы могут выполняться одновременно.
3. Необходимо определить, какие работы могут начинаться после завершения данной работы.
4. Построение СГ нужно осуществлять слева направо.
5. На СГ не должно быть так называемых “тупиковых” и “хвостовых” событий

6. На СГ не должно быть изолированных участков, замкнутых контуров и петель.

7. Любые два события могут быть связаны не более, чем одной работой. Если на СГ обнаружены параллельные работы, то нужно ввести фиктивное событие и фиктивную работу.

8. Если для начала выполнения некоторых работ необходимо только частичное выполнение предшествующей работы, то она должна быть разбита на части и представлена в виде последовательно выполняемых самостоятельных работ.

9. На СГ по возможности необходимо избегать многочисленных пересечений работ или стрелок.
10. На СГ не должно быть ни работ, ни событий, имеющих одинаковые номера или коды.
11. События на СГ нумеруются слева направо и сверху вниз после его построения и упорядочения следующим образом:
- исходному событию присваивается 0 или 1;
- затем вычеркиваются все выходящие работы из данного события;
- следующий номер можно присвоить такому событию, у которого все входящие работы вычеркнуты и т. д.;
- если событий, у которых все работы вычеркнуты, окажется несколько, то нумерация произвольна.

4.2.2 Расчет параметров сетевого графика
Существует два вида сетевых графиков:
1. Детерминированные (определенные) (временные параметры такого СГ установлены на основе действующих норм и нормативов).
2. Стохастические (неопределенные) (СГ, в которых продолжительность выполнения каждой из работ устанавливается экспертным путем, норм и нормативов нет).

Рисунок 4.1 - Основные параметры СГ
tij – продолжительность выполнения данной работы
tijрн, tijро – возможные сроки раннего начала и раннего окончания данной работы
tijпн, tijпо – допустимые сроки позднего начала и позднего окончания данной работы
TL – продолжительность любого пути L
Ткр – продолжительность критического пути
rij – частный резерв времени данной работы – запас времени, на который можно сдвинуть начало выполнения работы или растянуть, причем раннее начало последующих работ останется неизменным
Rij – полный резерв времени данной работы – запас времени, на который можно сдвинуть начало выполнения работы или растянуть, увеличить, причем длина критического пути будет неизменна
RL – полный резерв пути L
Существуют несколько способов расчета параметров сетевого графика:
1. Аналитический
2. Табличный
3. Графический
4.С использованием ЭВМ
1 Аналитический метод
Расчет параметров детерминированных СГ аналитическим методом
Расчет параметров СГ начинается с ранних сроков начала и окончания работ. Расчет осуществляется от исходного события к завершающему.
Работы, выходящие из исходного события, имеют раннее начало, равное нулю.
tвых.исх.собрн = 0 (4.1)
Работы, выходящие из начального события и имеющие продолжительность выполнения работы tij будут иметь ранние окончания
tijро = tijрн + tij (4.2)
Если у данной работы ij только одна предшествующая, то ее раннее начало совпадает с ранним окончанием предшествующей работы
tijрн = thiро (4.3)
Если у данной работы ij две и более предшествующих работ, то ее время раннего начала определяется как наибольшее из ранних окончаний предшествующих работ
tijрн = max {thiро, tniро } (4.4)

Максимальное раннее окончание работ, входящих в завершающее событие, определяет длину критического пути и одновременно поздние окончания этих работ.
Tкр= max {tвх.зав.собро} = tвх.зав.собпо(4.5)
Поздние сроки начала и окончания работ рассчитываются от завершающего события к исходному, справа налево.
Допустимые сроки позднего начала работ определяются так
tijпн= tijпо- tij(4.6)
Если у данной работы только одна последующая, то ее позднее окончание совпадает с поздним началом последующей работы
tijпо= tjkпн(4.7)
Если у данной работы последующих работ две и более, то время позднего окончания определяется следующим образом
tijпо= min {tjkпн, tjlпн} (4.8)
Работы, у которых совпадают ранние и поздние начала, ранние и поздние окончания, а также нет ни частного, ни полного резервов, являются работами критического пути.
Частный резерв времени работы ij
ij= tjkрн– tijро(4.9)
Полный резерв времени работы ij
Rij= tijпн– tijрн= tijпо– tijро(4.10)
Полный резерв пути
RL= Ткр– ТL(4.11)
Расчет параметров стохастических СГ аналитическим методом
В зависимости от степени известности работ используют следующие оценки времени их выполнения:
1. Однозначная
2. Двухзначная
3. Трехзначная
1 Однозначная используется, когда всем работам дается однозначная оценка выполнения по нормам, нормативам с достаточной точностью.
2 Двухзначная используется, когда работы выполняются впервые, характер работ неизвестен.
Оценки:
- оптимистическая tij min – min время, необходимое для выполнения работы ij при благоприятных условиях;
- пессимистическая tij max – max время, необходимое для выполнения работы ij в условиях значительно хуже обычных
Средняя продолжительность выполнения работы
t‾ij= (3tij min+ 2tij max)/ 5 (4.12)
3 При трехзначной оценке к двум выше указанным оценка добавляется
- реалистическая tij н.в. – наиболее вероятное время выполнения работ
tij max< tij н.в.< tij min
Средняя продолжительность выполнения работ
t‾ij= (tij min+ 4tij н.в.+ tij max)/ 6 (4.13)
Дальнейший расчет параметров стохастических СГ осуществляется аналогично расчету параметров детерминированных СГ.
2 Табличный метод
Расчет производится в таблице стандартной формы, имеющей девять граф.
Таблица 4.1 Расчет параметров СГ табличным методом
max tро = Ткр = 23 = tвх.зав.собпо
Первой заполняется графа 2: коды работ переносятся с сетевого графика и располагаются в порядке возрастания номеров как начальных, так и конечных событий. Затем заполняется графа 3 путем переноса числовых значений продолжительности выполнения каждой из работ с сетевого графика в таблицу. Далее заполняется графа 1 либо по графику, либо по номерам конечных событий в таблице. Определение возможных сроков начала и окончания выполнения работ осуществляется параллельно сверху вниз в соответствии с формулами и правилами, приведенными выше, т.е. для каждой работы необходимо сразу определять раннее начало и раннее окончание ее выполнения. Определение допустимых сроков позднего начала и окончания работ осуществляется также параллельно, но снизу вверх. Причем заполнение граф 6 и 7 необходимо начинать с графы 7. Графы 8 и 9, т.е. резервы определяются по формулам, приведенным выше.
3 Графический метод
Расчет всех параметров СГ осуществляется внутри события, для этого событие вырисовывается покрупнее.

Рисунок 4.2 – Событие СГ при графическом методе расчета параметров
N – номер работы
Дата – по календарю
Графический метод используется при простом небольшом СГ.
Если у данного события предшествующих работ несколько, то РО сектор разделится на несколько секторов (по количеству предшествующих работ). Если у данного события несколько последующих работ, то сектор ПН разделится на несколько секторов.
4.3 Метод экспертных оценок (МЭО)
МЭО используется при принятии решений в условиях неопределённости, под которой понимают:
- Принятие решений впервые.
- Небольшое количество информации.
- Недостаточная достоверность информации.
Сущность МЭО заключается в проведении экспертами интуитивно-логического анализа какой-либо проблемы с количественной оценкой результатов, суждений и их формализованной обработкой.
Полученное в результате обработки обобщённое мнение экспертов принимается как основное направление решения проблемы.
Характерными особенностями МЭО являются:
- Применение количественных методов как при организации экспертизы, так и при обработке результатов.
- Научное обоснование организации и проведения всех этапов экспертизы.
Основные этапы МЭО
1 Этап. Подготовка руководящего документа.
Должна быть отражена цель проведения экспертизы, должна быть обоснована необходимость проведения экспертизы, установлены сроки выполнения работ, объёмы необходимых средств и ответственные лица.
2 Этап. Подбор экспертной группы.
Осуществляется в следующей последовательности:
- уяснение решаемой задачи;
- определение круга (областей) деятельности, связанных с рассматриваемой проблемой;
- определение долевого состава экспертов по каждой области деятельности;
- определение количества экспертов в группе, составление предварительного списка, получение их согласия на участие в экспертизе.
Эффективность решения проблемы методом экспертных оценок определяется характеристиками достоверности экспертизы, которые, в свою очередь, зависят от общего числа экспертов в группе, долевого состава различных специалистов и качественных характеристик экспертов (см. рис.4.3).
Для описания качественных характеристик экспертов используются следующие показатели:
- Компетентность в исследуемой области, которая в основном зависит от уровня квалификации.
- Креативность. Характеризует способность творчески решать задачи, методы решения которых полностью или частично неизвестны.
- Конформизм. Подверженность влиянию авторитетов, проявляется в виде неустойчивости собственного мнения.
- Всесторонность. Способность видеть проблему с различных точек зрения.
- Стремление комплексно подходить к решению проблем.
- Предикаторность – способность предсказывать или предчувствовать состояние исследуемого объекта на основе опыта, интуиции и т.д.
- Положительное отношение к проведению экспертизы.

Рисунок 4.3 Зависимость достоверности экспертизы от количества экспертов
3 Этап. Разработка методики и организация проведения опроса экспертов
- место и время проведения опроса;
- порядок фиксации и сбора результатов опроса;
- состав необходимых документов.
Виды опроса экспертов.
Опрос – главный этап совместной работы группы управления и экспертов. В зависимости от целей проведения экспертизы и качественных характеристик экспертов могут использоваться следующие виды опроса:
- метод комиссий – состоит в открытой дискуссии по обсуждаемой проблеме для выработки единого мнения экспертов;
- метод проведения судебного совещания;
- анкетирование;
- интервьюирование;
- метод “мозгового штурма”;
В этом случае эксперты делятся на две группы:
1. Генераторы идей.
2. Аналитики.
На первом этапе группой генераторов идей выдвигаются всевозможные предположения, версии, идеи относительно путей решения поставленной проблемы или выполнения поставленных задач. при этом должны соблюдаться следующие правила:
1. Предварительные критические высказывания или оценка ценности (важности) высказанных мыслей не допускается.
2. Важно количество высказанных мыслей и их разнообразие.
3. Идеи должны подхватываться и развиваться другими экспертами.
На втором этапе происходит тщательный анализ, критика высказанных мнений и отбор наиболее ценных.
- метод Дельфы.
В этом случае обеспечение продуктивности работы экспертов достигается анонимностью процедуры и возможностью пополнить информацию о предмете экспертизы. Экспертизы по этому методу чаще всего проводят в четыре тура с целью обеспечения обратной связи, позволяющей экспертам корректировать свои суждения с учетом промежуточных усредненных оценок и пояснений экспертов, высказавших “крайние” точки зрения.
4 Этап. Выбор метода измерения.
- обработка результатов опроса;
- оценка достоверности полученных данных.
Методы обработки информации, получаемой от экспертов.
Экспертное оценивание представляет собой процесс измерения, который можно определить как процесс сравнения объектов по выбранным критериям.
I. Ранжирование.
Ранжирование - это упорядочение объектов, которое выполняет эксперт. При ранжировании эксперт на основе своих знаний, интуиции, опыта должен расставить объекты в порядке предпочтения относительно одного или нескольких критериев. При этом каждому из объектов присваивается число натурального ряда, самому предпочтительному объекту присваивается ранг номер 1. Если эксперт двум и более объектам присваивает один и тот же ранг, то необходимо рассчитывать стандартизированный ранг Sст..
m
Sст. = ∑ Ni / m (4.14)
i = 1
где Ni – порядковые номера мест объектов с одинаковыми оценками,
m – число объектов с одинаковыми оценками (рангами).
Таблица 4.2 Пример расчета стандартизированного ранга при ранжировании изучаемых дисциплин
| Объекты | Балл | Условныеместа | Ранги |
| Менеджмент Сети связи Программирование Цифровые системы Физ-ра Воен.подготовка | 10 7 5 9 10 7 | 1* 4* 6 3 2* 5* | 1.5 4.5 6 3 1.5 4.5 |
| Сумма | - | - | 21 |
* Расчет стандартизированных рангов:
S1,2 = (1+2)/2 = 1.5
S4,5 = (4+5)/2 = 4.5
Если ранжирование выполнено верно, то сумма рангов равна:
n
∑ S j = n(n+1)/2, (4.15)
j = 1
где n – количество объектов.
Ранжирование используется при количестве оцениваемых объектов не более двух десятков.
- Непосредственная оценка.
При этом способе объектам присваиваются числовые значения в шкале интервалов, т.е. эксперту предлагается поставить в соответствие каждому объекту точку на непрерывной числовой оси, например, [0, 1]. С целью упрощения этой процедуры при непосредственной оценке вместо непрерывной числовой оси используют балльную шкалу: 5-ти балльную, 10-ти балльную, 100 балльную и т.д.
- Последовательное сравнение.
Представляет собой комплексную процедуру измерения, включающую как ранжирование, так и непосредственную оценку. Предполагает следующие действия:
- Эксперт осуществляет предварительное ранжирование объектов.
- Эксперт проводит непосредственную оценку объектов на отрезке [0, 1], при этом считает, что числовая оценка первого в ранжировке объекта равна 1.
- Эксперт принимает решение относительно того, будет ли первый объект превосходить по значимости все остальные объекты вместе взятые. Если да, то эксперт увеличивает числовое значение оценки первого объекта, так чтобы оно стало больше суммы числовых оценок всех остальных объектов. Если нет, то эксперт изменяет оценку первого объекта так, чтобы она стала меньше, чем сумма оценок остальных объектов.
- Эксперт решает будет ли второй объект предпочтительнее, чем все последующие объекты вместе взятые и т. д.
- Парное сравнение.
Представляет собой процедуру установления предпочтения объектов при сравнении всех возможных пар. В практике экспертного оценивания парное сравнение проводят с использованием матрицы n х n, где n – это количество объектов. При этом чаще всего при расстановке оценок в ячейках матрицы используют следующую шкалу:
- оценка в 2 балла отражает превосходство оцениваемого объекта над другим;
- оценка в 1 балл характеризует равнозначность объектов;
- оценка в 0 баллов отражает то, что оцениваемый объект уступает другим.
Матрица для проведения парного сравнения представлена в таблице 4.3.
Таблица 4.3 Матрица для парного сравнения
| Объекты | Объекты | Сумма | ||||
| 1 | 2 | 3 | ….. | n | ||
| 1 | 1 | |||||
| 2 | 1 | |||||
| 3 | 1 | |||||
| : : | 1 | |||||
| n | 1 | |||||
| Сумма | - |
По итоговым суммам оценок для каждого объекта производится итоговое ранжирование.
Обработка экспертных оценок.
Исходной информацией для обработки являются числовые данные, отражающие предпочтения экспертов. В зависимости от целей экспертного оценивания при обработке результатов опроса решаются следующие задачи
- Построение обобщенной оценки объектов на основе индивидуальных оценок экспертов.
m
Si = ∑ Xij / m, (4.16)
j = 1
где Xij – оценка i – го объекта j-м экспертом,
m – число экспертов.
2.Определение значимости объектов.
3. Определение согласованности мнений экспертов. Для этого рассчитывается коэффициент конкордации.
(4.17)
где m – количество экспертов;
n – количество объектов;
S –обобщенная оценка.

Чем ближе W к 1, тем выше согласованность экспертов.
При наличии связанных рангов
m
W = 12S/[ m2 (n3 – n) - m∑ Tj] (4.18)
j=1
где Tj – показатель связанных рангов.
Hj
Tj= ∑(hk3 - hk), (4.19)
k=1
"16 Тесты и приложения" - тут тоже много полезного для Вас.
где Hj – число групп равных рангов в j-ой ранжировке; hk – число равных рангов в k-ой ранжировке j-ым экспертом.
, (4.20).
Таблица 4.4 – Исходные данные для расчета показателя связанных рангов

Tj = (23 – 2) + (33 – 3) = 6 + 24 = 30
2–количество ранга 3
3 – количество ранга 4




















