Системный анализ
Системный анализ
Основные понятия и определения системного анализа
Основным понятием данного раздела является понятие о технологических процессах и объектах как о системах.
Система – составной объект, части которого закономерно объединены и совместно выполняют общую функцию.
Системы могут быть искусственными и естественными.
Естественные системы. Они не имеют определенной цели существования и создаются в ходе эволюции. Примером естественных систем являются биологические, например организмы. Другим примером являются социальные системы.
Искусственные системы отличаются тем, что они создаются для вполне определенной цели (технические и технологические системы).
Рекомендуемые материалы
Целью технологических систем в металлургии цветных металлов является переработка сырья, содержащего цветные металлы, с получением продукта, имеющего заданные свойства.
Система, как целостный объект, существует во внешней по отношению к ней среде (можно провести границу между системой и внешней средой).
В технологических системах внешняя среда проявляет себя, как источник перерабатываемого сырья и как потребитель произведенного продукта.
Система мысленно или физически может быть разделена на элементы, таким образом система представляет собой совокупность элементов. Элементы объединяются в систему за счет связей. Таким образом, в любой системе существует определённая структура связей.
Задачей системного анализа является определение свойств изучаемой системы. Изучение этих свойств позволяет в последующем выбрать соответствующий задаче метод построения модели. Таким образом, системный анализ является инструментом, позволяющим изучать функционирование сложных технологических систем и выбирать методы моделирования таких систем.
Система – это объект, обладающий набором системных свойств, к числу которых относятся:
1. Целостность и членимость;
2. Наличие существенных связей;
3. Наличие структуры или организации;
4. Наличие интегративного качества.
1. Целостность и членимость. Система, как целостный объект, может быть выделена из внешней среды, а как составной объект, может быть мысленно или физически разделена на составные части. Границами технологической системы в металлургии являются точки поступления исходного сырья и выхода готовой продукции. Масштаб системы может быть различным: от предприятия до отдельно рассматриваемой химической реакции, которая протекает в том или ином технологическом процессе. Как систему можно рассматривать также и отдельный технологический аппарат, совокупность таких аппаратов или технологических операций, т.е. технологическую схему, участок, отделение или цех.
2. Наличие существенных связей. Элементы объединяются в систему за счет связей между элементами. Связи можно разбить на три основные группы:
а) вещественные;
б)энергетические;
в)информационные.
Вещественные связи – представляют собой потоки вещества, циркулирующие между элементами системы. Особенности потоков вещества:
· агрегатное состояние может быть различным (твердое, жидкость, газ);
· фазовое состояние (одно- или многофазное).
Вещественные связи в системе подчиняются закону сохранения вещества: сумма масс всех потоков, поступающих в элемент системы, равна сумме масс, покидающих элемент системы. То есть для каждого элемента системы мы можем составить материальный баланс.
Энергетические связи – представляют собой потоки энергии, циркулирующие между элементами системы. Для металлургических систем виды энергии могут быть различными, наибольшее значение имеют потоки тепловой энергии. В некоторых технологических процессах (электролизе, например) более важное значение имеют и другие виды энергии (электрическая, механическая).
Энергетические связи подчиняются закону сохранения энергии, таким образом, для каждого элемента системы можно составить энергетический (в частности тепловой) баланс.
Информационные связи – представляют собой потоки информации, циркулирующие между элементами системы. Информация, циркулирующая в потоках, представляет собой величины технологических параметров, которые характеризуют работу каждого элемента системы. Чем выше уровень технологии, тем больше количество таких параметров измеряется по ходу технологического процесса, тем большее количество информации получается в информационном потоке. В отличие от вещественных и энергетических связей, информационные потоки описываются не законами сохранения, а законами распространения информации.
Все связи системы характеризуются направленностью.

Е1…Е3 – элементы 1…3.
Связь 1 является прямой связью Е1 и Е3, связь 3 является обратной.
Связи могут быть физически наполненными и не наполненными.
Физически не наполненные связи – это связи типа отношений: А>В
A<B
A=B.
Физически наполненные – связи вещественные и энергетические.
Связи должны обладать устойчивостью, то есть они должны существовать достаточно длительно во времени.
Вещественные связи в технологических системах представляют собой системы промышленного транспорта. Конкретный вид этих систем зависит от свойств вещественной связи: для твердых материалов – механические транспортирующие машины- конвейеры различных типов. Для жидкостей и газов используют системы трубопроводного транспорта.
Связи в системе должны быть существенными. Существенность оценивается количественно по величине силы связи – это отношение потока вещества (энергии), проходящего через эту связь к общему потоку вещества (энергии) в системе:

где: qi – доля общего потока вещества (энергии), приходящаяся на i связь;
- общий поток вещества (энергии) в системе.
В том случае, если сила связи больше критерия значимости α – связь существенная (α = 0,02…0,05). Величина критерия значимости выбирается исходя из ошибок измерения технологических параметров в том или ином технологическом процессе.
3. Наличие структуры или организации. Устойчивая во времени конфигурация связей образует структуру системы.
При описании систем на стадии системного анализа используется иерархи
ческий подход: на первом этапе описания системы стремятся представить её как совокупность небольшого количества элементов, при этом каждый элемент представляет собой подсистему и на следующем иерархическом уровне может быть разделен на некоторое количество своих элементов.
Иерархический подход позволяет представить сложные технические системы в простом виде, упрощая понимание взаимодействия всех элементов, что дает возможность представить функционирование всей системы в целом. Чем глубже уровень описания системы, тем больше элементов мы различаем в ее составе.
Например, автомобиль можно рассматривать как техническую систему. Цель такой системы – перевозка пассажиров и/или груза в заданном направлении (по дороге) за счет использования энергии топлива. На первом этапе системного анализа автомобиль является совокупностью небольшого числа элементов: двигатель является источником энергии, ходовая часть обеспечивает передвижение по дороге, рулевое управление и тормоза обеспечивают следование заданной траектории движения, кузов, шасси и кабина объединяют все элементы и несут груз и пассажиров.
При более глубоком анализе, на следующем иерархическом уровне, каждый из перечисленных элементов автомобиля рассматривается как подсистема, состоящая из своих элементов. Двигатель как источник энергии для движения, преобразует химическую энергию топлива в механическую энергию вращения вала. Для этого двигатель должен иметь систему питания топливом и воздухом (без воздуха топливо не горит), систему выпуска отработавших газов, механизм распределения топливо-воздушной смеси по цилиндрам, кривошипно-шатунный механизм, с помощью которого движение поршней в цилиндрах преобразуется во вращение вала.
Такой анализ можно продолжать и далее, до отдельных деталей, из которых вес и состоит. Разумеется, количество таких деталей будет возрастать очень быстро и достигнет многих тысяч. Если начать с того, что автомобиль является совокупностью нескольких тысяч деталей, то взаимодействие их понять невозможно.
Существуют типовые структуры связей в системах:
1.Сетевая структура. Пусть имеется система из пяти элементов, число элементов n=5, каждый из них имеет n – 1 связь.
Каждый элемент в такой структуре связан со всеми остальными.
Достоинства: устойчивость, равноправность элементов. В случае, если какой-либо элемент неработоспособен (потерял связи с остальными элементами системы), система в целом остается работоспособной. Ущерб с точки зрения функционирования системы минимальный и одинаковый для любого из элементов.
Количество связей в такой структуре наибольшее, а каждая связь требует определенных затрат. Следовательно, такая структура надежная, но дорогая. Ее применение оправданно там, где надежность функционирования системы является основным требованием, например в энергетике.
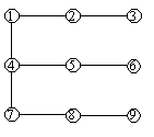
2. Скелетная структура. Рассмотрим систему из девяти элементов, n=9. Пусть система имеет скелетную структуру. Каковы ее особенности?

Такая структура обладает компромиссными качествами и требованиями к элементам. Связи элементов образуют фрагменты, которые объединяются затем в целостную систему. Требования в отношении надежности функционирования элементов становятся неодинаковыми. Так например, нарушения в работе элемента 3 означают минимальный ущерб для системы, означающий потерю только одного этого элемента. Если же перестает работать элемент 1, то система теряет целый фрагмент, а нарушение работы элемента 4 означают, что система распадается на отдельные фрагменты и перестает функционировать. Очевидно, что самые высокие требования по надежности предъявляются к элементу 4, средние – к элементам 1 и 7, минимальные- к элементам 3,6 и 9.
3. Централистская структура. Рассмотрим еще раз систему из девяти элементов, n=9, но имеющую централистскую структуру. Основное ее отличие от предыдущих структур в том, что
количество связей минимально. Это способствует снижению стоимости связей, но выдвигает жесткие требования к надежности элементов. Наиболее надежным должен быть центральный элемент системы, поскольку при невозможности его функционирования система тут же превращается в набор разрозненных элементов, т.е. перестает работать как целостный объект. К периферическим элементам требования по надежности остаются достаточно низкими: утрата любого из этих элементов приводит к минимальному ущербу для функционирования всей системы. Пример такой системы в технике – стационарные телефонные системы связи.
5. Наличие интегративного качества. Интегративное качество – это новое качество системы, которым обладает вся система в целом и не обладает ни один отдельно взятый элемент системы. Возникновение интегративного качества рассмотрим на следующем примере.
Медеплавильный завод как технологическая система имеет ясно поставленную цель: он создан для переработки медных концентратов и получения черновой меди. Пользуясь методом системного подхода, мы можем выделить в структуре медеплавильного завода несколько (три, например) основных элемента. Такими элементами пусть будут цех подготовки шихты, плавильное отделение, в котором из приготовленной шихты получают медный штейн, и отделение конвертирования, где штейн перерабатывается на черновую медь.
Ни один из трех элементов системы не может решить поставленной задачи: цех подготовки шихты перерабатывает медные концентраты, но производит не черновую медь, а только готовит шихту для последующей плавки на штейн. Отделение конвертирования производит черновую медь, но не из медных концентратов, а из ранее полученного штейна, а плавильное отделение и вовсе далеко от поставленной цели, поскольку для его работы необходима подготовленная шихта, а результатом плавки является всего лишь полупродукт – медный штейн.
Интегративное качество образуется только в совокупности всех элементов системы. В целом медеплавильный завод решает поставленную задачу, хотя ни один из его элементов не обладает таким свойством.
Внешние связи системы
Рассмотрим технологическую систему, находящуюся в контакте с внешней средой. Что же понимать под внешней средой? По отношению к технологической системе внешняя среда - это источник сырья и потребитель полученного продукта.
Руководствуясь этим понятием легко определить границы рассматриваемой технологической системы, т.е. выделить ее из внешней среды. Масштаб системы при этом может быть различным. Металлургическое предприятие является примером системы большого масштаба, цех предприятия, участок и отделение- системы меньшего масштаба, еще меньший масштаб представляет собой отдельно взятый технологический аппарат или операция технологической схемы. Наименьший масштаб технологических систем в металлургии цветных металлов соответствует физико-химическому явлению: химической реакции, которая сопровождается тепло- и массообменном.
В процессе выделения системы из внешней среды мы должны определить внешние связи. Связи эти направленные, часть из них ведет от внешней среды к системе и называется входами системы, другие связи называются выходами и ведут от системы к внешней среде. Входы и выходы системы объединяют в несколько основных групп.
Х – вектор фиксированных входных характеристик (X=х1,х2,х3,…,хn) – набор из n величин, характеризующих вход системы. Компоненты вектора х известны нам по величине, но недоступны для изменения (например, состав сырья по определяемым компонентам, габариты печи и др.).
U – вектор управляющих воздействий. (U=u1,u2,…um). Число компонентов вектора U и Х может быть в общем случае разным. Компоненты этого вектора так же известны нам по величине и доступны для изменения в определенных пределах: a1≤U1≤ b1; a2≤U2≤b2; am≤Um≤bm (например, температура процесса, давление процесса и др.). Компоненты вектора управляющих воздействий являются своего рода «рулями», изменяя которые в разрешенных пределах мы добиваемся хода технологического процесса в нужном для нас направлении, т.е. осуществляем управление процессом.
V – вектор возмущений. Компоненты этого вектора не известны нам по величине (отсутствуют средства измерений, методики анализа, отсутствует перечень величин), т.е. это неконтролируемый вектор. В реальных технологических системах возмущения проявляются всегда. В некоторых частных случаях при анализе систем ими можно пренебречь.
Y – вектор выходных характеристик (Y=y1,y2,y3,…уk). Компоненты этого вектора известны нам по величине; влиять на эти величины непосредственно мы не можем. Однако, изменяя доступные нам входы системы U, мы влияем на выход Y. Это влияние можно отобразить такой символической надписью:
Y = Ф(X, U, V, τ)
– выход зависит от всех входов системы и момента времени.
В общем случае, выход системы зависит от состояния её входов и момента времени, в который мы определяем состояние выхода.
Компоненты вектора Y – это состав и масса полученных технологических продуктов.
Управление технологической системой означает выбирать и поддерживать такие величины управляющих воздействий u1…um, которые:
· не нарушают ограничений;
· позволяют получить необходимое значение y1…yk на выходе.
Символ Ф называется оператором перехода. Если он сформулирован математически, то это означает, что построена математическая модель процесса. В простейшем случае Ф может быть задан аналитическим выражением, аргументами которого являются входные величины и время.
В большинстве случаев для Ф нет аналитических выражений, но существует определённый алгоритм, действуя в соответствии с которым можно рассчитать значение компонентов y1…yx по известным нам входным характеристикам и управляющим воздействиям. Другими словами, зная Ф (имея математическую модель технологического объекта), мы можем рассчитать (предсказать, прогнозировать) состояние выхода этого объекта в зависимости от состояния входов для любого момента времени. Для этого «всего лишь» необходимо установить конкретную форму оператора перехода Ф, т.е. построить математическую модель. Как же это делается?
Классификация систем по их свойствам
Выбор метода построения модели представляет собой сложную задачу, включающую элементы творческого процесса и трудно поддающуюся формализации. Вряд ли возможно придумать некий алгоритм, следуя которому мы для любой системы тут же получим ее модель. В некотором смысле моделирование сочетает научный подход с искусством. В качестве наиболее общей рекомендации следует отметить, что выбор метода построения математической модели объекта в большой степени зависит от свойств самого объекта, т.е. технологической системы. Поэтому предварительно надо познакомиться с классификацией систем.
Для классификации систем используется несколько признаков:
а) число элементов и подсистем;
б)характер связи с внешней средой;
в) зависимость характеристик систем от времени;
г) тип входных и выходных величин;
д) уровень организации системы и задачам.
Число элементов и подсистем. По этому признаку различают простые (малые) системы, содержащие меньше 1000 элементов, и большие или сложные системы с числом элементов более 1000. Число элементов сильно зависит от уровня детализации при описании систем, поэтому любая система при повышении уровня этой детализации склонна оказаться в числе больших. На практике к классу больших систем могут быть отнесены предприятия и их объединения, большие цеха, в составе которых несколько переделов или отделений, сложные многостадийные технологические схемы. Отдельный технологический аппарат скорее будет простой или малой системой.
Характер связи с внешней средой. По этому признаку все множество систем делят на детерминированные и стохастические системы.
В детерминированной системе состояние выхода жестко функционально связано с состоянием входа. Рассмотрим систему с единственным входом и единственным выходом.


Для такой системы y = f(x), что позволяет представить ее поведение в декартовой системе координат. Зависимость выхода y от входа x представляет собой график, который называется переходной характеристикой. Детерминированная система отличается тем, что в ней связь выхода y и входа x имеет функциональный, жесткий характер: определенному значению x на входе соответствует вполне определенное значение y на выходе.
В стохастической системе
не является в математическом смысле функцией. Наблюдается корреляция у от х, может быть составлено уравнение регрессии
. Каждому значению входа x теперь соответствует значение y, находящееся в интервале значений. Связь имеет менее жесткий характер, и можно лишь утверждать, что при заданном x на входе y на выходе с определенной вероятностью примет значения из интервала. Причина здесь в том, что на систему оказывают влияния возмущения. Стохастические системы являются более общим случаем систем, лишь при определенных обстоятельствах мы можем пренебречь возмущениями и описывать систему как детерминированную.

Зависимость характеристик систем от времени. По этому признаку системы делят на динамические и статические.
Статические системы отличаются тем, что их выход зависит только от состояния входов и не зависит от времени. Рассмотрим поведение простейшей статической системы, имеющей только один вход и выход во времени. Состояние входа системы х в некоторый момент времени, который мы примем за нуль, изменяется скачком, мгновенно от х1 до х2. Например, проводится очистка раствора от примесей. Проступающий на очистку раствор содержится в емкостях 1 и 2. В первой емкости содержание примеси в растворе составляет 5 г/л, а во второй 10 г/л. В некоторый момент времени раствор в первой емкости закончился и установка по очистке раствора переключается на вторую емкость. Момент переключения и будет нулевым моментом времени.
Установка позволяет выделить 90% примеси из раствора, следовательно, на ее выходе установится концентрация примеси, равная 0.1 от входной. До переключения емкостей выходная концентрация была равна 0.5 г/л, а после переключения она достигнет 1 г/л. Если инерция установки была бы равна нулю, выходная концентрация также мгновенно достигла бы нового значения. Это был бы пример статической системы, показанный ниже на рисунке.

y = f(x) – Выход такой системы не зависит от
времени, а зависит только от входа.

а).
Более общим свойством систем является то, что они проявляют динамические свойства. В некоторых случаях динамическими свойствами системы можно пренебречь и рассматривать её, как статическую.
Инерция технологических систем в металлургии цветных металлов довольно существенна (например, расплав в плавильной печи находится в течение многих часов), и в ряде случаев при моделировнии системы ей пренебречь нельзя.
Если переходный период короткий, изменения на входе системы происходят относительно редко по сравнению с временем переходного периода, то такую систему можно рассматривать, как статическую.
Состояние выхода системы зависит от состояния входа и выбора момента времени.
Как видно на рисунке, в динамической системе изменения на выходе не происходят мгновенно вслед за изменениями на ее входе. После истечения достаточно большого времени достигается новое значение выходной величины, и если на входе поддерживается постоянное значение, то состояние выхода далее также не изменяется. Такое состояние выхода называется новым установившимся значением.
Т – время переходного процесса, зависит от инерции.
Однако в течение некоторого времени состояние выхода изменяется от некоторого существовавшего ранее до нового установившегося значения, хотя состояние входа достигло нового значения и далее остается неизменным. На протяжении этого отрезка времени, которое называется переходным периодом, состояние выхода системы зависит также от момента времени.
Причиной этого является инерция системы. В нашем примере это объясняется тем, что установка для очистки раствора имеет некоторый собственный объем, заполненный раствором. В течение переходного периода не выходе установки мы будем наблюдать изменение концентрации примеси вследствие смешивания «старого» и «нового» очищенного раствора. Когда «старый» очищенный раствор будет практически вытеснен «новым», изменение концентрации примеси на выходе прекратится и будет достигнуто новое установившееся значение.
По типу входных и выходных величин системы делят на несколько классов.
а) непрерывные;
б) дискретные;
в)дискретно – непрерывные (системы массового обслуживания).
а) В системах непрерывного типа входные и выходные характеристики отображаются числами непрерывного ряда. Большинство технологических систем следует рассматривать, как системы непрерывные (составы, производительность, температура и другие параметры измеряются числами непрерывного ряда).
б) В дискретных системах состояние входных и выходных характеристик отображается дискретными величинами. Примером такой системы является показанная ниже на рисунке электрическая цепь, состоящая из источника тока, двух выключателей и лампочки. Выключатель является узлом с двумя возможными дискретными состояниями: он либо замкнут, либо разомкнут. Такие состояния можно отобразить дискретными числами, например 1 соответствует замкнутому, а 0 – разомкнутому состоянию выключателя. Выключатели являются также входами системы и определяют состояние лампочки, т.е. выхода системы. Лампочка также может находиться в одном из дискретных состояний: она либо горит (чему соответствует дискретное число 1), либо не горит (чему соответствует 0).
Модель такой системы представлена в таблице, где перечислены все ее возможные состояния. Кроме таблицы для описания подобных систем применяются известные в математике выражения алгебры логики (Булева алгебра).
В металлургии имеются системы, для описания которых иногда требуется применить такой подход.

| Входы | Выход | |
| S1 | S2 | HL |
| 0 1 0 1 | 0 0 1 1 | 0 1 1 1 |
Таким образом, входные и выходные характеристики изображаются дискретными числами, и состояние выхода зависит от входа.
в) В дискретно – непрерывных системах часть входных или выходных величин отображается числами непрерывными, другая часть – дискретными. В таких системах непрерывной величиной отображается время, а дискретными числами, как правило, отображается состояние элементов системы. Такие системы также называют системами массового обслуживания. Примером такой системы является расчетный узел любого магазина. Если представить его работу во времени, то нетрудно увидеть, что кассир имеет дело с потоком покупателей, причем момент, когда очередной покупатель подойдет к кассе, отображается непрерывным рядом чисел, т.е. время в такой системе непрерывно. Состояние кассира можно отобразить дискретными числами: он либо занят расчетом с покупателем (1), либо свободен и находится в состоянии ожидания очередного покупателя (0). Состояние 1 длится некоторое время, зависящее от ряда случайных факторов, например числа и особенностей покупок. Это время расчета с покупателем тоже измеряется непрерывным рядом чисел.
Задача моделирования подобных систем состоит в определении их пропускной способности, которая фактически является производительностью системы.
В металлургии достаточно примеров таких дискретно-непрерывных систем. Например, работу конвертерного отделения для переработки штейна можно рассматривать с позиций теории систем массового обслуживания. При этом надо учесть, что конвертер является устройством с двумя возможными состояниями: он либо находится под дутьем, т.е. совершает полезную работу по переработке штейна, либо находится в состоянии вспомогательных операций (ожидание заливки штейна, заливка штейна, слив шлака), когда дутье не подается и полезная работа не совершается. Конечно, производительность конвертерного отделения зависит от того, какую часть времени составляют полезная работа и ожидание, и в данном случае цель моделирования состоит в определении вероятности пребывания конвертера в состоянии полезной работы.
Другим примером таких систем является работа электролизных ванн в цехе электролиза, работа мостовых кранов в пролете металлургического цеха и т.п.

По уровню организации системы и задачам различают системы, показанные ниже на рисунке.

АСНИ – Автоматизированные системы научных исследований.
АСУТП – Автоматизированные систему управления технологическими процессами.
САПР – Системы автоматизированного проектирования.
Ещё посмотрите лекцию "Санитарно-гигиенические требования к производству продукции животноводства" по этой теме.
ОАСУ – Организационные автоматизированные системы управления.
Функции АСНИ – исследование технологических систем на уровне отдельно взятых физико-химических явлений, технологических процессов или целых технологий. Оптимизация предполагает поиск наилучших условий работы технологической системы.
Прямое технологическое управление – функция АСУТП, – означает предварительный поиск оптимальных условий и поддержание этих условий по ходу технологического процесса. Сами оптимальные условия не постоянны во времени, они зависят, в частности, от состава перерабатываемого сырья.
САПР предназначены для создания новых технологий. В процессе их работы просчитываются многочисленные варианты технологии, отличающиеся, например, составом исходного сырья, набором технологических операций, применяемых для их осуществления аппаратов. По результатам этих многовариантных расчётов, на основе заранее определённых критериев оптимальности выбирается наилучший вариант.
ОАСУ существуют на многих предприятиях, как правило, решают задачи текущего управления в целом, анализы его работы и планирование работы предприятия в будущем. В составе систем есть подсистемы учёта, анализа, планирования материально-технических ресурсов, учёта труда и заработной платы, бухгалтерского учёта, оборота финансовых средств и т.д.
Метод построения модели выбирается с учётом свойств системы.





















