Гидродинамика водного теплоносителя в паровых котлах
9.Гидродинамика водного теплоносителя в паровых котлах
9.1.Гидродинамика водного теплоносителя в поверхностях с принудительным движением
9.1.1.Теплогидравлические характеристики поверхностей нагрева парового котла
Поверхности нагрева парового котла разделяются на три группы (рис.9.1): радиационные, полурадиационные, конвективные.

Радиационные поверхности нагрева расположены на стенках, поде и потолке топочной камеры, горизонтального газохода и конвективной шахты.
Полурадиационные поверхности (ширмы) располагаются в топке (в верхней ее части) и в горизонтальном газоходе (в особых случаях - в опускной шахте). Ширмы являются ступенью перегревателя и могут быть вертикальными или горизонтальными.
Конвективные поверхности в горизонтальном газоходе и в конвективной шахте выполняются с вертикальным и горизонтальным расположением труб.
Конструктивное выполнение поверхностей нагрева, их крепление, обмуровка и другие аналогичные вопросы рассматриваются в гл.2.
Испарительные поверхности барабанных котлов выполняются в топке в виде вертикальных панелей с подъемным движением, а у прямоточных котлов докритического давления, кроме того, можно делать горизонтальные и слабонаклоненные, но в них приходиться идти на большие массовые скорости для предотвращения расслоения пароводяной смеси. Панели с опускным движением потока при докритическом давлении не выполняются.
При сверхкритическом давлении высокий коэффициент теплоотдачи от стенки к водному теплоносителю (рабочей среде) α2 можно обеспечить при вертикальном, горизонтальном и наклонном движении рабочей среды, но для горизонтальных труб и участков поверхности нагрева требуется более высокая скорость и панели с такими элементами не рекомендуется располагать в области высоких тепловых потоков, особенно при сжигании мазута. Кроме того, U-, П-, N-образные панели, как будет показано в данной главе, имеют меньшую гидравлическую устойчивость.
Важной характеристикой конструкции поверхности нагрева (элемента котла) является общая поверхность нагрева H ЭЛ, а также поверхность нагрева каждой из труб Hm. Если в элементе параллельно включено n труб, то средняя поверхность нагрева одной трубы
В действительности, трубы элемента имеют различную длину Lm и, соответственно, разную поверхность нагрева Нm. Отношение обогреваемой поверхности отдельной трубы Нm к средней обогреваемой поверхности труб элемента НСР называется коэффициентом конструктивной нетождественности ηК
| ηK = Hm/HСР | (9.2) |
Площадь поверхности нагрева можно выразить через обогреваемую длину данной трубы Lm и через среднюю по конструктивному элементу LСР площадь радиационной поверхности (9.3):
|
| (9.3) |
где хm, хСР - угловой коэффициент труб; S - шаг труб;
площадь конвективной поверхности
|
| (9.4) |
площадь полурадиационной поверхности
|
| (9.5) |
При

коэффициент
| ηK = Lm/LСР | (9.6) |
Коэффициент ηК » 1 у одноходовых вертикальных панелей, горизонтальной навивки, многоходовых панелей (с горизонтальными или вертикальными трубами), в конвективных змеевиковых поверхностях, где длина труб большая и отличие Lm и LСР мало проявляется (hK = 0,95…1,05 ). В U-, П-, L-образных панелях, горизонтальных ширмах конструктивная нетождественность значительна ( ηK = 0,8…1,2 и более). Следует иметь в виду, что при обводке труб вокруг горелок, лазов, лючков, взрывных клапанов их длина увеличивается. В этом случае коэффициент ηК рассчитывается для конкретных условий.
Неравномерности тепловосприятия панелей зависят от места их расположения. Например, горизонтальная навивка по схеме Рамзина (рис.9.1д) размещена на всех четырех стенах топки, и, следовательно, в ней сглаживаются неравномерности теплового потока по ширине стен и между стенами.
В вертикальной панели, расположенной по всей высоте топки, неравномерности тепловосприятия по высоте уменьшаются. Таким образом, чем больше размер поверхности нагрева панели, тем ближе к единице коэффициенты неравномерности (ηК, η ш, и ηВ), по которым определяется среднее удельное тепловосприятие элемента qЭЛ (см.гл.10), но при этом увеличивается разность удельных тепловосприятий отдельных труб в элементе qm и коэффициент неравномерности тепловосприятия ηm = qm/qЭЛ
По водному теплоносителю поверхности нагрева представляют собой параллельно включенные каналы, имеющие общие входные (раздающие) и выходные (собирающие) коллекторы. Гидравлический режим системы параллельных труб и каждой отдельной трубы в ней существенно отличается от гидравлического режима одиночной трубы.
На рис.9.2 изображена схема обогреваемого элемента из n труб.

На вход подается рабочая среда с энтальпией hВХ, давлением р1. Расход среды через элемент (панель) GЭЛ. Средняя длина (высота) обогреваемой части LСР, qЭЛ = qСР - средняя плотность теплового потока. Суммарная поверхность нагрева (обогреваемая) - НЭЛ.
Среднее приращение энтальпии среды в элементе Δh ЭЛ определится из формулы (9.7)
|
| (9.7) |
В расчете на одну условную, усредненную трубу:
HСР = HЭЛ/n
GСР = GЭЛ/n
qЭЛ = qCP
Приращение энтальпии среды в этой средней трубе (9.8)
|
| (9.8) |
Энтальпия среды на выходе (после собирающего коллектора) из элемента hвых может быть определена по Δh ЭЛ или по ΔhСР

Поэтому при анализе элемента котла (поверхности нагрева) пользуются понятием средней трубы, к которой относятся все средние данные элемента, хотя, фактически такой трубы в элементе может и не быть.
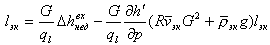
В действительности параметры работы каждой трубы в элементе отличаются от средних. Будем считать, что вторая труба слева (рис.9.2) находится в наиболее опасных температурных условиях - разверенная труба (см.§10.2). Поверхность нагрева разверенной трубы Hm = ηКHСР тепловой поток qm = ηmq ЭЛ, энтальпия на входе hВХ. Давление на входе в разверенную трубу pmВХ будет меньше давления среды на входе в раздающий коллектор р1 на сопротивление движению среды в этом коллекторе
|
| (9.9) |
Сопротивление Δpвых.к зависит от места подсоединения трубы к коллектору, т.е. для каждой трубы имеет свое значение, и, следовательно, давление на входе в трубы будет различаться. Аналогично на выходе из труб в собирающий коллектор давление также различно и зависит от сопротивления в этом коллекторе Δpвых m для разверенной трубы (9.10)
|
| (9.10) |
Перепад давления в разверенной трубе (9.11)
|
| (9.11) |
Давления р 1 и р 2 и их разность p 1 - p 2 = Δpа относятся ко всему элементу и для всех труб остаются постоянными и одинаковыми величинами, а сопротивления во входном и выходном коллекторах зависят от расположения труб. Поэтому перепады давления в трубах Δpm будут различаться. Для средней трубы элемента запишем выражение (9.12), аналогичное (9.11)
|
| (9.12) |
Формула (9.12) используется для расчета сопротивления поверхности нагрева Δpа по сопротивлению средней трубы ΔpЭЛ и среднему сопротивлению в коллекторах (9.13)
|
| (9.13) |
В параллельных трубах элемента перепад давления будет различным. Очевидно, это приведет к перераспределению рабочей среды между трубами и в каждой трубе установится свой расход среды Gi. Введем обозначения: расход среды в разверенной трубе Gm а в средней - GСР . Отношение расхода среды в отдельной трубе к среднему расходу в элементе называется коэффициентом гидравлической разверки ρГ
|
| (9.14) |
а само это явление - гидравлической разверкой.
Для расчета ρГ необходимо знать зависимости Δpm = f(Gm) и Δp ЭЛ = f(G ЭЛ) - зависимость между расходом рабочей среды G и перепадом давления Δp, возникающим при ее движении, называется гидравлической характеристикой трубы и выражается в виде Δp = f(G). Следовательно, анализ гидравлической разверки и ее расчет можно проводить по гидравлическим характеристикам разверенной и средней трубы.
Определим приращение энтальпии среды в разверенной трубе (9.15)
|
| (9.15) |
и энтальпию на выходе из трубы (9.16)
|
| (9.16) |
Отношение приращения энтальпии в отдельной трубе Δh ЭЛ к среднему приращению в элементе Δhm называется коэффициентом тепловой разверки ρq (9.17)
|
| (9.17) |
Преобразуем формулу (9.17), выразив Δhm и ΔhЭЛ через (9.15) и (9.7) получим (9.18)
|
| (9.18) |
Полученная зависимость показывает связь между коэффициентами тепловой и гидравлической разверок с учетом неравномерности тепловосприятия и конструктивной нетождественности.
Общий подход к анализу надежности работы поверхностей нагрева заключается в следующем: определяются трубы элемента, на которые приходятся максимальные значения ηК и ηm, и минимальные значения ρГ, для этих труб рассчитывают ρq, для трубы с наибольшей тепловой разверкой определяют температуру металла. Если максимальные значения ηК и ηm и минимальное значение ρГ приходятся на разные трубы, то значение ρq и температуру металла определяют для нескольких труб, выбирают трубу с наибольшей температурой и сравнивают с допустимой для металла.
При понижении нагрузки котла, нарушении гидравлического режима и в аварийных ситуациях необходимо обращать внимание не только на сильно обогреваемые трубы, но и на слабообогреваемые.
9.1.2.Гидравлическая характеристика горизонтальных одиночных труб
Полное гидравлическое сопротивление трубы Δp или какого-либо другого участка элемента представляет собой сумму сопротивления трения ΔpТР, местного ΔpМ, ускорения Δpуск и нивелирного напора ΔpНИВ (см.гл. 8) (9.19)
|
| (9.19) |
Сопротивление трения и местное сопротивление в явном виде зависят от скорости потока w или ρw, поэтому их сумму называют гидравлическим сопротивлением Δpг. Тогда (9.19) можно записать (9.20)
|
| (9.20) |
Для горизонтальных труб ΔpНИВ = 0. Рассмотрим гидравлические характеристики необогреваемых и обогреваемых горизонтальных труб.
Гидравлическая характеристика горизонтальных необогреваемых труб
В паровых котлах необогреваемыми являются трубы, по которым подается вода к экономайзеру, перепускные трубы между поверхностями нагрева, опускные трубы в контурах естественной циркуляции, пароотводящие трубы. В этих трубах движется как однофазный поток (вода, пар), так и двухфазный поток (пароводяная смесь).
Для необогреваемых труб (изотермического потока) Δpуск = 0 и гидравлическое сопротивление (9.20)
|
| (9.21) |
Для однофазного потока (9.22)
|
| (9.22) |
Выразим скорость среды w через расход G
|
|
поскольку ρv = 1.
Подставляем полученное выражение в (9.22) и получаем зависимость для гидравлической характеристики (9.23)
|
|
где R-приведенный коэффициент сопротивления:
|
| (9.24) |
Для изотермического однофазного потока в трубе удельный объем v = const, поэтому графики гидравлической характеристики имеют квадратичную зависимость (рис.9.3) в области жидкости (vВ ≤ v', кривые 3 и 4) и пара (vП ≥ v", кривые 1 и 2). Так как в этом случае для каждой из кривой определенному перепаду давления Δp1 соответствует только один расход среды, то такие характеристики называются однозначными или устойчивыми.

Для двухфазного адиабатного потока были получены формулы (9.25) и (9.26) (см.§ 8.4)
|
| (9.25) |
|
| (9.26) |
При х = const и ψ = const гидравлическая характеристика однозначна и квадратична (кривая 5 на рис.9.3). В действительности при увеличении скорости потока коэффициент ψ уменьшается и при том же расходе G сопротивление трубы будет меньше (кривая 6).
Интересно рассмотреть случай, когда постоянным будет расход паровой фазы GП через трубу, а увеличивать расход среды G будем за счет подачи воды (жидкой фазы) GВ. Тогда G = GП + GВ, а массовое паросодержание является переменной величиной х = GП/ G При GВ = 0, G = GП, x = 1 и гидравлическая характеристика однозначна (кривая 1 на рис.9.4). С увеличением расхода среды паросодержание уменьшается и сопротивление определим по преобразованной формуле (9.25)
|
| (9.27) |
При G → µ, x → 0, Δp → RG2/ρ, т.е. характеристика стремится к кривой 2 (рис.9.4). Полученные в результате расчета кривые 3 и 4 показывают, что в этом случае гидравлическая характеристика может быть однозначной (кривая 3) или многозначной (кривая 4).

Гидравлическая характеристика горизонтальных обогреваемых труб
Для упрощения задачи возьмем горизонтальную трубу без местных сопротивлений ( ΔpМ = 0), будем считать, что сопротивление ускорения мало, Δpуск = 0. Тогда полное гидравлическое сопротивление будет равно сопротивлению трения, Δp = ΔpТР.
Горизонтальная труба (рис.9.5) длиной l, м, и с внутренним диаметром d, м, равномерно обогреваются, тепловой поток на 1 м длины трубы ql, кВт/м. На вход трубы подается вода, недогретая до кипения (hВХ < h'). На экономайзерном участке вода нагревается до энтальпии кипения и затем начинает испаряться; на выходе из трубы - пароводяная смесь с xВЫХ.

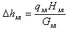
Длина экономайзерного участка определится из уравнения теплового баланса
|
| (9.28) |
|
| (9.29) |
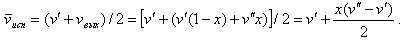
Длина экономайзерного участка при G и q1 = const зависит от недогрева воды на входе до кипения Δhнед=h' - hВХ.
Длина испарительного участка lИСП = l - l ЭК, или по тепловому балансу
|
| (9.30) |
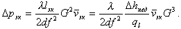
Учитывая разное фазовое состояние на участках, сопротивление трения в трубе представим как сумму сопротивлений на экономайзерном ΔрЭК и испарительном ΔрИСП участках
Δр = ΔрТР = ΔрЭК + ΔрИСП
Сопротивление на экономайзерном участке при длине lЭК по (9.29)
|
| (9.31) |
Получилась кубическая зависимость, так как lЭКзависит от расхода G.
При небольшом недогреве Δhнед можно принять без предварительного расчета.
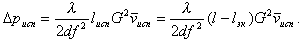
Сопротивление на испарительном участке
|
| (9.33) |
На испарительном участке удельный объем изменяется существенно, и, в общем виде, есть среднеинтегральная величина. Возьмем первое, линейное, приближение
|
| (9.34) |
В выходном сечении массовое паросодержание
|
| (9.35) |
Подставляя в (9.34) выражения для хВЫХ (9.35) и затем для lЭК (9.29), получаем
|
| (9.36) |
Введем обозначение
|
| (9.37) |
Подставляем в (9.31) зависимости (9.32) и (9.33) с учетом (9.29), (9.36) и проводим перегруппировку членов формулы. В результате получаем
|
| (9.38) |
где
|
| (9.39) |
|
| (9.40) |
|
| (9.41) |
Таким образом, гидравлическая характеристика обогреваемой горизонтальной трубы при движении двухфазного потока с недогревом выражается уравнением третьей степени (9.38).
Решение уравнения третьей степени может иметь один действительный и два мнимых корня (кривая 7, рис.9.6) или все три действительных корня (кривая 2, рис.9.6). В первом случае имеем однозначную характеристику; во втором случае кривая имеет точку перегиба и два экстремума, а перепаду давления Δp0 отвечают три расхода среды: G1, G2 и G3 Такая характеристика называется многозначной. Проведя горизонтали через точку минимума и максимума кривой 2, получим диапазон неоднозначности по расходу (GМИН…GМАКС) и сопротивлению (ΔpМИН…ΔpМАКС). Вне этого диапазона кривые однозначны.

При малых расходах (G < G МИН) длины экономайзерного и испарительного участков уменьшаются и может появиться перегревательный участок, причем с уменьшением G доля его возрастет, кривая 2 при этом приближается к гидравлической характеристике при прохождении через трубу перегретого пара (кривая 3, рис.9.6). При больших расходах среды (G > G МАКС), наоборот, длины экономайзерного и испарительного участков растут, затем испарительный участок исчезает, и сопротивление определяется однофазным потоком недогретой до кипения жидкости (кривая 4). В области неоднозначности расхода (С МИН - G МАКС) длина экономайзерного участка увеличивается, а испарительного - уменьшается, снижается также массовое паросодержание х за счет уменьшения парообразования (lИСП и G П уменьшаются) и увеличения расхода жидкой фазы.
Нестабильность гидравлической характеристики опасна тем, что в параллельных трубах, находящихся практически в одинаковых условиях, расход среды может быть различным (G 1 и G 3, рис.9.6), паросодержание в них будет значительно различаться и возможно возникновение кризиса теплообмена. Кроме того, расходы через трубы могут изменяться самопроизвольно (G1 или G3), возникает пульсация потока во всем элементе, колебания температуры стенки. Все это может закончиться повреждением труб. Такие режимы недопустимы.
Выявим область неоднозначности. Для этого возьмем производную кубического уравнения по расходу dΔp/dG и определим точки экстремума
|
| (9.42) |
Точки экстремума
|
| (9.43) |
Зная комплексы А, В и С, определяем точки G'ЭКСТР, а по ним значения Δp МИН и Δp МАКС
Формулу (9.43) можно использовать для нахождения параметров, при которых характеристика будет однозначной. Для этого необходимо, чтобы точки экстремума отсутствовали в положительной области G: были мнимыми или отрицательными.
В первом случае должно выполняться условие
| В2 - ЗАС < 0, т.е. В2 < ЗАС. | (9.44) |
Второе условие (G ЭКСР < 0) возможно выполнить при В > 0 (в зависимости от D h нед комплекс В может быть как положительным, так и отрицательным).
Из этих двух условий вытекает одно условие
|
| (9.45) |
при котором гидравлическая характеристика горизонтальной трубы будет однозначна (рис 9.7).

При р = 11 МПа недогрев должен быть меньше 961 кДж/кг (h' = 1451 кДж/кг), при p = 16 МПа Δhнед < 1558 кДж/кг (h' = 1651 кДж/кг). Этот параметр при высоком давлении не ограничивает выбор температуры на входе в горизонтальную одиночную трубу. При Δhнед = 0 коэффициент А = 0, В = R1lv'. С не зависит от недогрева, уравнение будет иметь вид
|
| (9.46) |
Пример. Оценим вклад слагаемых уравнения (9.46). Давление р = 16 МПа, v' = 0,00171 м3/кг, v" = 0,00933 м3/кг, r = 931,2 кДж/кг, примем l = 10 м, d = 20 мм, ql = 500 кВт/м2, пересчет ql = 500 πdl/l = 500 πd = 500π·0,020 =31,4 кВт/м. Формулу (9.46) запишем в виде
|
| (9.47) |
При ρw = 1000 кг/(м2·c) G = 0,314 кг/с , тогда
|
| (9.48) |
При G = 1 кг/с Δp/R1·l = 1,71·10-3+1,29·10-33·10-3
Расчет показывет, что вклад второго слагаемого в уравнении (9.46) с ростом G уменьшается и сопротивление трубы становится пропорционально квадрату расхода среды; коэффициент пропорциональности зависит от удельного объема воды v', длины трубы l и коэффициента гидравлического сопротивления R1 (кривая 1, рис.9.8).
При Δh нед > 0 коэффициент А > 0, В уменьшается и график зависимости Δр = f(G) изменяет форму (кривая 2); при Δhнед > 7,46 rv'/(v"- v') график становится многозначным (кривая 3).
Влияние конструктивных и режимных факторов на гидравлическую характеристику горизонтальных необогреваемых и обогреваемых труб
В горизонтальных необогреваемых трубах при течении однофазного потока (вода, пар) гидравлическая характеристика однозначна. Конструктивное выполнение труб (длина, диаметр, суммарное сечение труб, гибы) влияет на величину гидравлического сопротивления, но не изменяет вид гидравлической характеристики.
При течении пароводяной смеси в горизонтальных необогреваемых трубах на гидравлическую характеристику оказывает влияние не только конструктивные, но и режимные параметры: при изменении нагрузки котла изменяется массовое паросодержание и скорость потока, что ведет к изменению вида гидравлической характеристики (см. рис.9.4). Кроме того, при движении в горизонтальных трубах двухфазного потока возможно его расслоение на жидкую и паровую фазы.
Расслоенный режим течения не желателен и в необогреваемых трубах.
На гидравлическую характеристику горизонтальных обогреваемых труб существенное влияние оказывают такие факторы, как давление среды, интенсивность обогрева, местное сопротивление, ускорение потока.
Влияние давления проявляется через удельный объем на экономайзерном участке v' и комплекс а = (v" - v')/r, характеризующий изменение объема воды при испарении (v" - v') на единицу приращения энтальпии r. С ростом давления комплекс а уменьшается: р = 11 МПа, а = 11,5·10-6 м3/кДж, р = 18 МПа, а = 7,29·10-6 м3/кДж. Гидравлическая характеристика при этом становится более стабильной (рис.9.9, давления р1 < р2 < р3). При сверхкритическом давлении среды в зоне больших теплоемкостей, где сильна зависимость удельного объема воды от энтальпии, гидравлическая характеристика может быть многозначной. Только при повышении давления (р4, р5 - рис.9.9) до такого значения, где ЗБТ практически не выделима, гидравлическая характеристика будет стремиться к квадратичной зависимости р = R1·l·v·G2 (кривая p6).

Увеличение теплового потока ql приводит к уменьшению длины экономайзерного участка lЭК и сопротивления ΔpЭК, к увеличению длины lИСП и сопротивления ΔpИСП испарительного участка. Увеличивается и суммарное гидравлическое сопротивление трубы (рис.9.10).

Зона неоднозначности с ростом ql, смещается в область более высоких расходов среды. Длина обогреваемой трубы l влияет (качественно) на гидравлическую характеристику аналогично ql численное влияние сказывается более сильно, так как длина трубы l непосредственно влияет на гидравлическое сопротивление в зонах двухфазного и однофазного потоков (рис.9.11).

В испарительных поверхностях нагрева местными сопротивлениями являются вход и выход трубы, гибы труб, дроссельные шайбы, устанавливаемые для регулирования распределения расхода среды между трубами. Расчет местного сопротивления проводится по формуле (9.26). Заменим скорость w на расход среды G
|
| (9.47) |
где
|
| (9.48) |
Местное сопротивление на входе в трубу находится в зоне однофазного потока (жидкости). Зависимость ΔpМ = f(G2) однозначная. Этим свойством пользуются для изменения вида гидравлической характеристики трубы, устанавливают на входе в нее дроссельную шайбу с сопротивлением ΔpШ
|
| (9.49) |
|
|
где ξШ - коэффициент сопротивления шайбы.
При этом в кубическом уравнении (9.38) появится дополнительный член:
|
| (9.50) |
Характер зависимости Δp = f(G) с учетом сопротивления шайбы ΔpШ изменится (рис.9.12). Путем выбора сопротивления шайбы можно многозначную характеристику трубы преобразовать в однозначную.

Наличие дополнительного сопротивления шайбы скажется на критерии однозначности (9.45):
|
| (9.51) |
Из формулы (9.51) можно рассчитать сопротивление шайбы, при котором однозначна характеристика трубы.
Местное сопротивление на выходе из трубы находится в двухфазном потоке, причем xВЫХ зависит от расхода среды. Местное сопротивление на выходе из испарительной трубы отрицательно сказывается на однозначности гидравлической характеристики трубы, поэтому его надо уменьшать, дроссельную шайбу на выходе ставить нельзя (рис.9.13а).

Падение давления от ускорения потока ΔpУСК на экономайзерном участке практически равно 0 (v ВХ = v'), а на испарительном участке можно рассчитать по формуле
|
| (9.52) |
Полученное выражение показывает, что

точка максимума G ЭКСТР = G1/2 Потери давления от ускорения потока увеличивают нестабильность (неоднозначность) гидравлической характеристики или могут сделать из однозначной многозначную характеристику (рис.9.13б).
9.1.3.Гидравлические характеристики вертикальных одиночных труб
В вертикальных трубах при расчете полного сопротивления необходимо учитывать нивелирный напор
|
|
Для упрощения решения задачи примем, что ΔpМ ≈ 0 и ΔpУСК ≈ 0. Тогда сопротивление будет включать в себя две составляющие - сопротивление трения ΔpТР и нивелирный напор ΔpНИВ
Δp = ΔpТР + ΔpНИВ.
Сопротивление трения парогенерирующей трубы представим как сумму сопротивления на экономайзерном и испарительном участках
Δp = ΔpЭК + ΔpИСП + ΔpНИВ
или, с учетом (9.32), (9.33) и (8.14 г),
|
| (9.54) |
где H - высота панели (разность отметок выходного и входного коллекторов).
Сопротивление трения зависит от длины трубы l, нивелирный напор - от высоты панели Н. Длина трубы и высота панели совпадают только в случае одноходовой вертикальной панели (l = Н). Влияние нивелирного напора здесь самое большое. С увеличением длины трубы l при той же высоте H (горизонтальная навивка, меандровая навивка, многоходовые панели) доля нивелирного напора в общем сопротивлении уменьшается, и при l >> Н гидравлическая характеристика такой панели приближается к характеристике горизонтальной трубы.
На входе в трубу энтальпия среды hВХ, давление рВХ, равномерный обогрев трубы с тепловым потоком ql. При подаче воды с недогревом до кипения в трубе появляется экономайзерный участок lЭК и испарительный lИСП. Энтальпия среды линейно повышается от hВХ до hВЫХ, приращение энтальпии Δh = hВЫХ - hВХ. Давление среды по высоте трубы уменьшается на Δp = ΔpТР + ΔpНИВ. В сечении (точке) закипания воды I-I давление pт.з = pВХ - (ΔpНИВ + ΔpТР)ЭК.
На рис.9.14 показано изменение энтальпии воды на линии насыщения h'(p) по высоте трубы: с уменьшением давления h'(p) также уменьшается. В сечении I - I h(l) = h'(pт.з).

Если принимать давление среды по высоте трубы постоянным и равным рВХ, то была бы постоянной и h'(pВХ). В этом случае закипание воды произошло бы в сечении II, а длина экономайзерного участка lЭКII была бы больше lЭК. Таким образом, действительная длина экономайзерного участка lЭК меньше, чем в случае неучета изменения давления по высоте трубы. Так как Δр зависит от расхода среды G, то и разность должна зависеть от G. Для определения длины экономайзерного участка lЭК составим уравнение теплового баланса
|
| (9.55) |
где Δh'нед рассчитывается по недогреву на входе в трубу
и снижению энтальпии насыщения из-за уменьшения давления
|
| (9.56) |
Тогда
|
| (9.57) |
Длина экономайзерного участка
|
| (9.58) |
Сопротивление на экономайзерном участке
|
| (9.59) |
Подставляем формулы (9.57) и (9.59) в (9.58)

Отсюда
|
| (9.60) |
При постоянном давлении в трубе lЭК пропорциональна расходу G, при учете изменения давления рост lЭК при увеличении расхода G замедляется.
Пример. Оценить длину экономайзерного участка для условий: диаметр трубы dВН = 30 мм; тепловой поток ql = 20 кВт/м; ΔhНЕДВХ =100 кДж/кг; давление р = 16 МПа. Справочные данные: λ/d = 0,8 м -1; v' = 0,001693 м3/кг; ρ' = 590,5 кг/м3; h' / p = 4,06·10-5 Δh'/Δp = 4,06·10 -5 .
Решение:

при G = 1 кг/с, lЭКII = 5 м;

Принимаем,
:


Определяем комплекс

при G = 1 кг/с
К = 7,14·103, кг/(м2·с2);
Расчеты показывают, что снижение давления по высоте трубы из-за сопротивления трения и нивелирного напора практически не сказывается на длине (высоте) экономайзерного участка lЭК. Для горизонтальной трубы комплекс К в несколько раз меньше (отсутствует
). Поэтому расчеты и анализ гидравлической характеристики будем вести без учета изменения lЭК.
Схема изменения параметров среды по высоте трубы при опускном движении среды представлена на рис.9.15.

Давление среды по ходу движения ее (сверху вниз) растет за счет нивелирного напора и уменьшается за счет сопротивления трения:
| Δp = ΔpТР-ΔpНИВ; | (9.61) |
| pВЫХ = pВХ - Δp = pВХ + ΔpНИВ-ΔpТР; | (9.62) |
Соответственно, энтальпия насыщения h'(p) также увеличивается сверху вниз, в точке закипания h'(pТ.З.) = h(lт.з), длина экономайзерного участка lЭК = lТ.З. Если принять энтальпию насыщения постоянной по высоте трубы h'(l) = h'(pВХ), то длина экономайзерного участка будет меньше: (рис.9.15).
Следует обратить внимание на различия в изменении параметров среды при подъемном и опускном движении:
- при подъемном движении давление и энтальпия насыщения по ходу среды уменьшаются; следовательно, если в необогреваемую трубу подавать среду с ΔhНЕДВХ (hВХ = h'(pВХ)), то в ней начнется вскипание воды с энтальпией испарения

Вскипания в необогреваемой трубе не будет, если

- при опускном движении давление и энтальпия насыщения по ходу среды увеличиваются; поэтому при подаче на вход воды с ΔhНЕДВХ = 0 вскипания воды не будет, наоборот, появится недогрев

максимален недогрев на выходе из трубы

С учетом недогрева на входе в трубу ΔhНЕДВХ суммарный недогрев на выходе трубы (внизу)
|
| (9.63) |
Таким образом, длины экономайзерного и испарительного участков в вертикальной трубе практически такие же, что и в горизонтальной трубе. Поэтому гидравлическое сопротивление трения в вертикальной трубе можно принимать таким же, как и в горизонтальной, и, следовательно, для его расчета справедливы полученные ранее зависимости, в том числе и учитывающие влияние местного сопротивления и сопротивления ускорения.
Нивелирный напор рассчитывается по формуле (8.91)
|
| (9.64) |
Для парогенерирующих труб нивелирный напор можно представить как сумму напоров на экономайзерном и испарительном участках:

где
|
| (9.65а) |
|
| (9.65б) |
Истинное паросодержание на испарительном участке изменяется от нуля до максимального значения на выходе из трубы φВЫХ. В качестве первого приближения среднеинтегральное значение
можно заменить на среднеарифметическое
|
| (9.66) |
Проведем графический анализ зависимости ΔpНИВ от расхода среды G.
На рис.9.16а показана зависимость энтальпия среды от расхода среды. При G →∞, h → hВХ. С уменьшением расхода энтальпия растет и достигает значения h' при G1 а затем вода начинает испаряться. При расходе G2 энтальпия среды на выходе h = h", насыщенный пар начинает перегреваться. Таким образом, при G ≥ G1 имеем поток однофазной среды, при G2 < G < G1 есть экономайзерный и испарительный участки, при G < G2 появляется еще участок перегрева пара. Относительная доля (рис.9.16б) экономайзерного участка lЭК / l с уменьшением расхода при G < G1 падает, испарительного участка lИСП/l при G = G1…G2 растет, а при G < G2 - падает; доля участка перегрева при G < G2 увеличивается от 0 до 1 (при G = 0).

В соответствии с этим изменением фазового состава потока будет изменяться и истинное паросодержание
: при G > G1
= 0; при G < G1
непрерывно растет, стремясь к 1 при G = 0. Нивелирный напор при подъемном движении ΔpНИВП на участке однофазного потока (G > G1) равен ρ'gH, а при G = 0 (
= 1) ΔpНИВП ≈ ρ"gh . Между этими крайними значениями ΔhНИВП изменяется монотонно и более интенсивно при малых расходах (рис.9.17).

При опускном движении среды график зависимости ΔhНИВОП отличается от графика, симметричного ΔhНИВП (пунктирная линия на рис.9.17). Это связано с тем, что при опускном движении коэффициент C > 1 (при подъемном - С < 1), φОП > φП при одинаковом значении х и ΔpНИВОП по абсолютной величине меньше при одинаковом расходе среды. С увеличением расхода среды это различие уменьшается.
Полученные графики используем для построения гидравлических характеристик вертикальных труб.
На рис.9.18 показана зависимость ΔpГ (для примера взята однозначная зависимость) и ΔpНИВ от расхода среды для одноходовой трубы с подъемным движением, а на рис.9.19 - с опускным движением среды. Видно, что суммарная гидравлическая характеристика при подъемном движении остается однозначной, а при опускном появляется зона многозначности (wρ < wρМИН), когда одному перепаду давления Δp соответствуют два расхода среды. Следовательно, при опускном движении потока нивелирный напор ухудшает гидравлическую характеристику.
|
|
|
При построении гидравлической характеристики труб с двумя вертикальными участками (П-, U-образные компоновки панелей) необходимо иметь в виду, что на втором участке (по ходу среды) энтальпия среды выше, чем на первом.
Следовательно, средняя плотность среды на втором участке ρII всегда ниже, чем на первом участке
:
В зависимости от последовательности ходов (подъемный - опускной или наоборот) суммарный нивелирный напор будет иметь разный знак. При П - образной компоновке (рис.9.20) наблюдается подъемно-опускная схема движения потока.

В этом случае нивелирный напор будет равен

Так как то ΔpНИВ > 0. При G → 0 средняя плотность на обоих участках стремится к плотности пара, а разность - к нулю. С другой стороны, при G → ∞ в обеих ветвях будет вода и разность - также стремится к нулю. Следовательно, зависимость ΔpНИВ = f(G) имеет максимум при каком-то значении G. Полная гидравлическая характеристика Δp = ΔpГ+Δ pНИВ может иметь зону многозначности.
Для U-образной компоновки последовательность движения обратная: схема опускная-подъемная, нивелирный напор при этом отрицателен

В целом гидравлическая характеристика труб U-образной системы компоновки (рис.9.21) неоднозначна в широком диапазоне расходов среды.

Таким образом, гидравлические характеристики труб имеют значительный диапазон неоднозначности, что накладывает существенные ограничения на допустимые значения расхода среды.
Аналогично можно построить гидравлические характеристики для N-образных и более сложных компоновок поверхностей нагрева.
9.1.4.Гидравлические характеристики системы труб парового котла
В предыдущих разделах рассматривалась гидравлическая характеристика одиночной трубы. Элементы парового котла (поверхности нагрева, соединительные трубопроводы) выполняются из ряда параллельно включенных труб, а сами элементы могут быть соединены как параллельно, так и последовательно. В зависимости от схемы соединения суммирование гидравлических характеристик отдельных труб производится различными способами. При последовательном включении труб или элементов суммирование производится при одинаковых расходах среды (рис.9.22а): сопротивление двух или более последовательно включенных труб равно сумме их сопротивлений (Δр = ΣΔpi при G = const). При параллельном соединении труб или элементов (рис.9.22а) перепад давления на них одинаков, но расход равен сумме расходов по отдельным трубам (G = ΣGi, при Δр = const).

Сравним режим работы одиночной трубы и трубы в элементе (системе труб), имеющих многозначные гидравлические характеристики (рис.9.23). В одиночной трубе расход среды может изменяться за счет производительности насоса непрерывно от нуля до G6, перепад давления на трубе будет изменяться в соответствии с характеристикой 0 - 1 - 2 - 3 - 4 - 5 - 6 (рис.9.23а).

При увеличении расхода среды в элементе будет увеличиваться и расход в каждой из труб. Считаем, что все трубы элемента имеют аналогичные гидравлические характеристики (рис.9.23б).
При увеличении расхода до G3 расход по всем трубам одинаков. Дальнейшее повышение расхода (G > G3) в элементе приводит к тому, что расход среды в трубах будет различным - в ряде труб G3, в других G5. Причем в зависимости от режима работы котла в одной и той же трубе может быть то G3, то G5, т.е. может возникнуть пульсация расхода среды в трубах. В трубах с меньшим расходом среды и при режиме пульсации надежность работы труб и элемента в целом снижается. При достижении среднего расхода в элементе величины G5 трубы элемента опять выходят на устойчивый, однозначный режим работы. Таким образом, при подъеме нагрузки участок характеристики G3 - G5 не реализуется, в этом диапазоне работа элемента носит неустойчивый характер, опасный для надежности работы труб.
При понижении расхода в элементе на участках 6 - 5 - 4 и 2 - 1 - 0 (рис.9.23б) наблюдается устойчивая работа труб, а в диапазоне расходов G4 - G2 - неустойчивый режим работы, с расходом в разных трубах G4 или G2. Опускной участок характеристики 3 - 4 обычно не реализуется, за исключением случаев, когда число параллельных труб не превышает трех - четырех. При этом расходы среды в трубах соответствуют точкам 8 или 9.
Таким образом, устойчивая работа труб в элементе обеспечивается на подъемных участках гидравлической характеристики (0 - 1 - 2 - 3 и 4 - 5 - 6). Левая ветвь характеристики имеет существенно меньший расход среды и, как правило, не может обеспечить надежный температурный режим труб. Правая ветвь имеет большой расход среды, температурный режим труб здесь выдерживается.
Устойчивая работа труб в элементе обеспечивается, прежде всего, правильным выбором расхода среды, массовой скорости в элементе, уменьшением неравномерности тепловосприятия между трубами, их конструктивной тождественностью, выбором конструкции элемента. В исключительных случаях выравнивание расхода среды по трубам добиваются установкой дроссельных шайб.
Неравномерность расхода среды между трубами в элементе котла, вызванную неодинаковыми гидравлическими характеристиками труб, называют межтрубной разверкой.
В паровых котлах широко практикуется выполнение поверхностей нагрева (НРЧ, СРЧ, ВРЧ, контуры циркуляции и т.д.) из отдельных элементов (панелей), которые соединяются между собой параллельно (рис.9.24). Точки А и Б являются общими для них. Для каждой из трех панелей вместе с их подводящими и отводящими трубами могут быть построены гидравлические характеристики. По этим характеристикам рассчитывается распределение среды по панелям (межпанельная разверка). При неправильном конструктивном выполнении такой схемы (рис. 9.24а, рис. 9.24б) может случиться, что, несмотря на однозначную характеристику самой панели, вся система (подводящие трубы - панель - отводящие трубы) между точками А и Б будет иметь многозначную характеристику (рис.9.24а соответствует П-схеме; рис.9.24б - U - схеме).

При построении гидравлической характеристики вертикального элемента графики для зависимостей от расхода среды ΔpГ, ΔpНИВ и суммы Δp = ΔpГ + ΔpНИВ строятся так же, как и для одиночной вертикальной трубы (рис.9.25).

Для отрицательного (обратного) расхода среды в какой-либо трубе рассчитываются ΔpГ и ΔpНИВ и их разность по формулам для опускного движения в вертикальной трубе, но расход среды принимается с отрицательным знаком.
Графики получаются аналогичными, но повернутыми на 180° относительно центра осей. Еще одна особенность построения графиков при G < 0: рабочая среда поступает в трубы с опускным движением из верхнего коллектора, где ее энтальпия выше, чем на входе в панель. Энтальпия на входе трубы с опускным движением hОПВХ близка к энтальпии на выходе из всего элемента (hОПВХ ≈ hВЫХ). Следовательно, удельный объем в такой опускной трубе будет больше (ΔpГ больше), а плотность среды - меньше (ΔpНИВ меньше), чем в подъемных трубах.
В отличие от гидравлической характеристики одиночной вертикальной трубы с подъемным движением (см. рис.9.18), в характеристике системы труб (рис.9.25) появляется зона неоднозначности (границы ее: по перепаду давления от Δp2 до Δp1, по расходу среды - от GОПМИН до GПМИН, где одному перепаду давления отвечают три расхода среды - два отрицательных и один положительный. Из графика видно, что однозначное подъемное движение среды будет при G > GПМИН, а однозначное опускное движение - при

Полная гидравлическая характеристика элемента показывает, что при малых расходах через него (Δр < Δр1) в некоторых трубах возможно опускное движение среды, т.е. произойдет так называемое опрокидывание движения среды. Возможны случаи застоя движения, когда в трубе G = 0. Необходимо иметь в виду, что эти выводы сделаны по гидравлической характеристике, при построении которой не было ограничений по давлению (докритическое или сверхкритическое) и по характеру движущих сил (принудительное движение или естественная циркуляция). Следовательно, застой или опрокидывание движения среды в вертикальных панелях возможны во всех этих случаях.
9.1.5.Гидравлическая разверка в системе труб парового котла
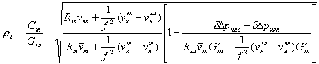
Расчет гидравлической разверки можно вести по гидравлическим характеристикам, построенным для элемента, параметры которого соответствуют данным для средней трубы, и разверенной трубы, находящейся в наиболее опасном температурном режиме. Гидравлическая характеристика должна учитывать сопротивления трения Δртр, местное ΔрМ, от ускорения потока ΔрУСК, нивелирный напор ΔрНИВ и сопротивление во входном ΔрВХ.К и выходном ΔрВЫХ.К коллекторах
|
| (9.67) |
где

С учетом (9.23) перепад давления Δp запишем для элемента
|
| (9.68) |
и разверенной трубы
|
| (9.69) |
где vК , vН - удельный объем среды в конце и начале трубы, м3/кг. Поскольку средняя труба и разверенная труба гидравлически имеют общие точки на входе и выходе панели, то они находятся под одним и тем же перепадом давления, т.е.
| ΔpЭЛ =Δpт | (9.70) |
Поэтому после построения гидравлических характеристик ΔpЭЛ = f(G) и Δpт =f(G) в пределах G от 2,5 до 150% от номинального значения определяют ΔpЭЛ при G ЭЛ = Gном (рис.9.26).

По условию Δpт = ΔpЭЛ находят значение Gт и рассчитывают коэффициент гидравлической разверки ρГ
ρГ = Gт/GЭЛ.
Для того чтобы выявить влияние на гидравлическую разверку теплового потока, конструктивного выполнения труб, высоты панели и других факторов, необходимо каждый раз строить гидравлические характеристики. Удобнее проводить такого типа анализ не графически, а аналитически. Для этого приравняем обе зависимости (9.68) и (9.69).
Получаем
|
| (9.71) |
где
|
| (9.72) |
Гидравлическая разверка зависит от конструктивного выполнения разверенной и средней труб (Rт, RЭЛ, f), интенсивности их обогрева
,пространственного расположения труб и направления потока (±pНИВm, ± pНИВЭЛ), сопротивления в коллекторах (ΔpКОЛm, ΔpКОЛЭЛ).
На гидравлическую разверку влияют также давление среды, энтальпия потока на входе в трубу и другие параметры.
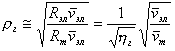
Проведем анализ выражения (9.71) по следующим направлениям: горизонтальная поверхность нагрева; влияние нивелирного напора и сопротивления в коллекторах (коллекторного эффекта). Для горизонтальной трубы нивелирный напор ΔpНИВm = ΔpНИВЭЛ = 0 и соответственно ΔpНИВ = 0. Для вертикальных труб разность нивелирных напоров

Если принять, что Hт ≈ HЭЛ = H, то
|
| (9.73) |
Из (9.73) видно, что DpНИВ ≈ 0, при
. Это условие достаточно хорошо выполняется в некипящих экономайзерах и в выходных пакетах пароперегревателя, где удельный объем воды или пара мало зависит от температуры.
К этому же случаю можно отнести и многоходовые панели, для которых разность нивелирных напоров мала по сравнению с гидравлическим сопротивлением.
Примем, что ΔpУСКЭЛ, ΔpУСКm и ∂∆pКОЛ малы по сравнению с гидравлическим сопротивлением ∆pГ, тогда формула (9.71) примет простой вид
|
| (9.74) |
где ηГ - коэффициент гидравлической неравномерности, он показывает отношение коэффициентов сопротивления раверенной Rт и средней RЭЛ труб
|
| (9.75) |
Для необогреваемых труб (перепускные трубы между поверхностями нагрева котла, опускные трубы в барабанном котле и т.д.)
и гидравлическая разверка зависит от коэффициента гидравлической неравномерности. Труба, длина которой больше других, имеющая дополнительные гибы, с большей шероховатостью, у которой больше сварных соединений, имеет увеличенный коэффициент сопротивления Rт > RЭЛ и, соответственно, у нее ηГ > 1, а ρГ < 1, т.е. расход среды через такую трубу будет меньше, чем через другие.
При равномерном обогреве (ηт = q т / q ЭЛ = 1) и при ηГ = 1 гидравлическая разверка отсутствует, т.е. ρГ = 1. Если же в какой-либо трубе ηГ > 1 (по конструктивному выполнению, из - за отложения примесей и т.п.), то в ней расход будет меньше (ρГ < 1, Dт < DЭЛ), чем в других, это, в свою очередь, вызовет более высокий нагрев среды в трубе ( Δhт > ΔhЭЛ,
) и дальнейшее снижение расхода среды до установления равновесия в системе .(уменьшение расхода в трубе ведет к увеличению в других, т.е. к росту общего сопротивления). При равномерном обогреве труб из-за гидравлической неравномерности расход среды по трубам и температура ее будут различаться.
Неравномерность обогрева даже при ηГ = 1 приводит к изменению расхода среды в трубах. В разверенной трубе (ηт > 1, qт > qЭЛ) средняя температура водного теплоносителя и его удельный объем
больше средних величин
по панели, соответственно появляются гидравлическая разверка (ρГ < 1) и расход Dт < DЭЛ. Таким образом, тепловая неравномерность в элементе вызывает появление гидравлической разверки. Механизм (явление), отражающий эту взаимосвязь, называют теплогидравлической разверкой, а зависимость коэффициента гидравлической разверки от неравномерности тепловосприятия ρГ = f(η т) - разверочной характеристикой.
Построим разверочные характеристики для горизонтальной поверхности нагрева (примем ηГ = 1, ∂∆pКОЛ = 0, ΔpУСК = 0). Для разверенной трубы ηт > 1. Такую трубу будем называть также сильнообогреваемой в отличие от слабообогреваемой, у которой ηт < 1.
Энтальпия среды на выходе из разверенной трубы и приращение энтальпий определяются по формуле
|
| (9.76) |

Затем определяется среднее значение энтальпии в разверенной трубе, удельный объем среды и другие величины.
Вид разверочной характеристики зависит не только от удельного объема, но и от интенсивности изменения удельного объема с увеличением энтальпии среды.
Рассмотрим три случая:
а) на входе в панель набдюдается существенный недогрев воды до температуры кипения (vВХ < v') или до ЗБТ. В разверенной трубе vВХ < v' увеличивается с уменьшением расхода среды Gт; при линейной зависимости удельного объема воды от энтальпии (β = dv /dh = const) разверочная характеристика ρГ = f(ηт) монотонно убывающая (рис.9.27, кривая 7).

Если β возрастает, то разверочная кривая 2 будет идти ниже кривой 1. Если средняя энтальпия воды в разверенной трубе будет меньше энтальпии кипения (докритическое давление, DKD) или в начале ЗБТ (сверхкритическое давление, CKD), то разверочная характеристика однозначна; б) энтальпия
соответственно в зоне большой теплоемкости (при СКД), где коэффициент β резко возрастает (рис.9.28), а затем падает. Зависимость ρГ = f(ηт) может быть однозначной (кривая 3) или неоднозначной (кривая 4): в зоне неоднозначности одному значению ηт соответствует три значения ρГ. При докритическом давлении при
коэффициент β изменяется скачком и разверочная кривая будет иметь ломаный характер, характеристика - неоднозначная; в) в области перегретого пара разверочная характеристика однозначна (кривая 5).

Для вертикальной трубы с подъемным движением среды (∂∆pКОЛ = 0; ΔpУСК = 0) формулу гидравлической разверки запишем в следующем виде
|
| (9.77) |
где
|
| (9.78) |
Комплекс А характеризует отношение гидравлических сопротивлений и удельных объемов в элементе и разверенной трубе.
Комплекс В учитывает влияние разности нивелирных напоров в элементе и разверенной трубе на гидравлическую разверку. Для подъемного движения среды перед В стоит знак +. В сильнообогреваемой трубе (ηт > 1) плотность среды
меньше, чем в элементе
. Комплекс В положителен и, как видно из формулы (9.77), увеличивает ρГ, расход среды в разверенной трубе больше (рис.9.29, кривая 2) по сравнению с горизонтальной панелью.

В слабообогреваемой трубе (ηт < 1), где
, комплекс В отрицателен, что приводит к уменьшению расхода среды в этой трубе по отношению к горизонтальной трубе. Таким образом, при подъемном движении среды в вертикальной панели нивелирный напор играет положительную роль (в сильнообогреваемой трубе расход среды увеличивается, а в слабообогреваемой - уменьшается).
Вклад нивелирной составляющей в гидравлическую разверку зависит от расхода среды в элементе GЭЛ. При больших расходах среды GЭЛ комплекс В уменьшается и разверочная характеристика вертикальных панелей приближается к характеристике горизонтальных панелей. С уменьшением расхода среды нивелирная составляющая играет большую роль (кривые 2 и 3, рис.9.29).
Перед комплексом В (9.77) при опускном движении потока должен быть знак минус. Влияние нивелирного напора становится обратным, в сильнообогреваемых трубах расход среды уменьшается, а в слабообогреваемых - увеличивается (кривые 5 и 6, рис.9.29). В этом случае нивелирный напор играет отрицательную роль. Поэтому панели с опускным движением выполнять не следует.
Интересно провести анализ разверочных характеристик в вертикальных панелях (при докритическом или сверхкритическом давлении, с принудительным или естественным движением среды) при малых средних расходах среды в элементе (панели). При подъемном движении среды в слабообогреваемой трубе (кривая 7, рис.9.29) с ηт = ηт7 расход среды равен нулю (Gт7 = 0). Это возможно при условии 

или
|
| (9.79) |
В этой трубе будет застой движения среды (застой циркуляции). При ηт < ηт7 в выражении (9.77) для ρГ под корнем отрицательное число. По графику (кривая 7, рис.9.29) ρГ меняет знак на минус; это означает, что меняется направление движения среды - происходит опрокидывание режима движения (опрокидывание циркуляции).
В панелях с опускным движением среды аналогичная картина может происходить в сильнообогреваемых трубах при малых расходах среды (кривая 6, рис.9.29).
При ηт > ηт6 в разверенной трубе, т.е. развившийся в ней нивелирный напор "потянет" расход среды вверх, произойдет опрокидывание движения.
Из этого следует, что в прямоточных и барабанных котлах необходимо анализировать режимы работы панелей при малых расходах среды (пуск, останов, работа на малых нагрузках) на предмет возможного застоя или опрокидывания движения среды в разверенных трубах, чтобы избежать повышения температуры металла труб и их разрушения.
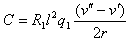
Коллекторный эффект - влияние гидродинамических процессов в коллекторах поверхности нагрева на гидравлическую разверку - обусловлен не только изменением сопротивления трения и местного сопротивления по длине коллектора, но и изменением давления по ходу среды. Так, по длине раздающего коллектора (рис.9.30) по мере отбора среды змеевиками панели расход среды уменьшается, скорость потока также изменяется от максимального значения wВХ на входе в коллектор до нуля у противоположного торца коллектора. При этом динамический напор потока переходит в статическое давление, максимальное приращение статического давления ∆pСТ будет в сечении, где w = 0, и составит

По ходу среды ∆pСТ растет до ΔpСТМАКС (рис.9.30а).

В то же время увеличивается и гидравлическое сопротивление ∆pГ = ΔpТР + ΔpМ. Следовательно, в раздающем коллекторе давление по ходу среды рРКОЛ определяется как результат действия этих факторов
|
| (9.80) |
В собирающем коллекторе (рис.9.30б) наоборот, скорость потока w возрастает по ходу среды до максимального значения на выходе wВЫХ; статическое давление уменьшается, максимальное изменение его имеет место на выходе из коллектора:

Гидравлическое сопротивление ΔpГ по ходу среды в коллекторе увеличивается. В результате давление в собирающем коллекторе
|
| (9.81) |
где - максимальное значение изменения статического давления и гидравлического сопротивления - на выходе из собирающего коллектора. Сумма
представляет собой давление среды в торце коллектора, где w = 0.
Изменение давления в коллекторах зависит от места присоединения к ним подводящих и отводящих труб: трубы могут быть подсоединены с одного или с обоих торцов коллектора; по длине коллектора (одна труба или несколько). Учитывая, что подвод труб к раздающему коллектору и отвод от собирающего могут быть различно выполнены, можно отметить большое разнообразие в схемах движения потоков в поверхностях нагрева паровых котлов. Три часто встречающиеся схемы представлены на рис.9.31: схемы Z- и П-образные с торцевым подводом и отводом среды и схема с двумя подводами и отводами по длине коллекторов. С учетом графиков рис.9.30 на рис.9.31 показано изменение давления в раздающих и собирающих коллекторах
.
Змеевики (трубы) панели работают при перепаде давления Δpзм, равном разности давлений в раздающем и собирающем коллекторах:
|
| (9.82) |
где Δp ЭЛ - общий перепад давления в элементе котла;
|
| (9.83) |
ΔpСТm - разность изменения статического давления в раздающем и собирающем коллекторах; ΔpmГ - разность изменения гидравлического сопротивления в коллекторах. ΔpСТm и ΔpmГ зависят от расположения трубы по длине коллекторов, следовательно, и перепад давления Δpзм будет различным для разных труб.

В Z-схеме (рис.9.31а) максимальный перепад давления приходится на правые трубы, в них будет и максимальный расход среды; в левых трубах перепад давления и расход среды минимальны. В П-схеме (рис.9.31б) различие перепадов давления по трубам существенно сглажено.
При подводе среды радиальной трубой (перпендикулярно оси коллектора) теплоноситель расходится в коллекторе в две стороны от подводящей трубы, скорость его уменьшается в 2 раза, а сопротивление и динамический напор - в 4 раза. Если проводящих труб две (рис.9.31в), то максимальная скорость уменьшится в 4 раза, а сопротивление и динамический напор - в 16 раз. Аналогичная картина наблюдается и в собирающем коллекторе при отводе среды трубами по длине коллектора. В этой схеме давление среды по длине коллекторов мало изменяется и расход среды по змеевикам будет более равномерным. Следовательно, для снижения влияния коллекторного эффекта на гидравлическую разверку лучше делать рассредоточенный подвод и отвод среды по длине коллектора, а при вынужденом (конструктивно) торцевом подводе и отводе - П-схему.
В коллекторах экономайзеров скорость воды мала, поэтому коллекторный эффект обычно не учитывают. В испарительных поверхностях прямоточного котла или котла с многократной принудительной циркуляцией сопротивление в коллекторах мало по сравнению с полным гидравлическим давлением и им можно пренебречь.
В раздающих коллекторах контуров естественной циркуляции скорость воды мала и ΔpКОЛP ≈ 0; в собирающих коллекторах пароводяная смесь движется с большой скоростью, поэтому для уменьшения влияния коллекторного эффекта отвод делается 3…4 трубами радиально даже из коллектора небольшой длины, в этом случае ∂∆pКОЛ ≈ 0.
Конструктивное выполнение пароперегревателей может быть различным.
Если подвод и отвод пара выполняется рассредоточенным по длине коллектора, то даже при большой скорости пара можно принимать ∂ΔpКОЛ = 0. Часто входной (или выходной) коллектор сочленяется с впрыскивающим устройством, при этом подвод пара к последующей (от предыдущей) поверхности будет торцевым. Такая же схема получается, если коллектор используют для переброса пара с левой стороны газохода в правую, и наоборот. В этих случаях необходимо рассчитывать ∆pКОЛ.
Промежуточные пароперегреватели выполняются с малым гидравлическим сопротивлением, что достигается за счет уменьшения скорости пара в змеевиках и коллекторах, при этом сопротивление в коллекторах вносит существенный вклад в общее сопротивление пакета и его необходимо учитывать.
Потери на ускорение потока ΔpУСК обычно малы, а при расчете гидравлической разверки принимается их разность в разверенной трубе и элементе. Поэтому влияние ΔpУСК на гидравлическую разверку может быть заметным только в ЗБТ, в остальных случаях им можно пренебречь.
Влияние конструктивных факторов рассмотрим на примере шайбования трубы и выполнения так называемой ступенчатой трубы. Шайбование на входе трубы существенно уменьшает разверку, особенно при неблагоприятных разверочных характеристиках. Путем установки в трубах шайб с разными диаметрами (с разными коэффициентами сопротивления) можно выравнять расход среды в них (для простоты не рассматриваем влияния ΔpНИВ, ΔpКОЛ, ΔpУСК)
|
| (9.84) |
Приняв как исходное условие ρГ = 1, получим
|
| (9.85) |
На входе
. Дроссельная шайба в разверенной трубе должна иметь приведенный коэффициент сопротивления
|
| (9.86) |
Таким образом, приведенные коэффициенты сопротивления шайб находятся в обратной зависимости от удельных объемов: чем больше удельный объем в разверенной трубе, тем меньше должно быть гидравлическое сопротивление шайбы.
Ступенчатая труба (когда трубы панели выполняются из участков с разным внутренним диаметром) изменяет распределение по длине трубы потерь на трение, а в месте изменения диаметра появляется дополнительное местное сопротивление. Уменьшение диаметра на входном участке приводит к увеличению его сопротивления и уменьшает гидравлическую разверку; использование малого диаметра на выходном участке усиливает разверку, поэтому ступенчатая труба выполняется с увеличением диаметра по ходу рабочей среды.
Расчет разверочных характеристик заключается в определении по изложенным в данном разделе формулам коэффициентов гидравлической разверки ρГ, конструктивной нетождественности ηК и неравномерности тепловосприятия ρт, а также температуры рабочей среды на выходе из разверенной трубы tВЫХm.
Расчет завершается построением разверочных кривых
.
Пример разверочных характеристик представлен на рис.9.32. В сильнообогреваемых трубах (ηт > 1) с увеличением коэффициента ηт расход среды падает, температура среды t ВЫХ растет. Чем больше общее среднее тепловосприятие элемента ηЭЛ, тем круче идут кривые ρГ = f(ηт) и t ВЫХ = f(ηт). Следовательно, увеличение прироста энтальпии в элементе (увеличение поверхности нагрева или теплового потока) неблагоприятно воздействует на гидравлическую и тепловую разверки.

Разверочные характеристики используются для общего анализа условий работы поверхности нагрева, влияния различных факторов на ее работу. В частности, по известной допустимой температуре среды tдоп можно определить ηтДОП (рис.9.32) и сравнить его с реальным ηдоп. Должно быть ηт ≤ ηтДОП. Можно решить и обратную задачу: по известному ηт определяются ρГ, ρq, tmВЫХ
Разверочные характеристики используются для анализа температурного режима металла труб. Для этого на зависимости tmВЫХ = f(ηт) строятся дополнительные графики: зависимости температуры стенки на внутренней поверхности трубы tСТВН, на наружной - tСТН и средней по толщине стенки tСТСР от неравномерности тепловосприятия (рис.9.33). По допустимой температуре наружной поверхности трубы (tСТН)ДОП, или средней температуре (tСТСР)ДОП, определяется допустимое значение (ηтДОП)МЕТ.

При анализе разверочных характеристик может оказаться, что для заданных начальных условий температура металла труб выше допустимого значения. Снизить температуру водного теплоносителя и, соответственно, температуру металла труб можно за счет теплоприращения ΔhЭЛ в элементе. Для этого необходимо сократить обогреваемую длину трубы в элементе, т.е. установить дополнительные промежуточные коллекторы. При этом количество последовательно включенных элементов (панелей) по пароводяному тракту котла возрастает, в частности радиационные поверхности прямоточных котлов разбивают на 2…3 элемента, а пароперегревательные поверхности барабанных и прямоточных котлов на 3…5 элементов.
9.1.6.Пульсация потока в системах труб парового котла
При работе парового котла в переходных режимах и при постоянном режиме всегда имеет место колебание параметров: расход топлива, переход с одного топлива на другой, включение и отключение горелок, изменение давления и расхода среды из-за работы питательных насосов, при повышении или снижении нагрузки, изменение температуры питательной воды, при включении или отключении ПВД и т.д. В конечном итоге все возмущения сказываются на расходе водного теплоносителя и могут вызвать общекотловые или межтрубные пульсации.
Общекотловые пульсации представляют собой колебания расхода среды в ряде последовательно включенных элементов котла (контуры циркуляции, экономайзер или пароперегреватель в барабанном котле, участки между впрыскивающими пароохладителями или промежуточный пароперегреватель в прямоточном котле) или во всем котле.
В параллельно включенных элементах котла расход среды изменяется синхронно. Общекотловые пульсации могут возникать при резких колебаниях расхода топлива, воды и пара, давления в котле, при неустойчивой работе системы регулирования основных параметров. Эти пульсации являются затухающими (рис.9.34а), прекращаются после устранения возмущения. Если амплитуда колебаний велика, то может произойти аварийный разрыв какой-либо трубы. Амплитуда колебаний зависит от амплитуды возмущения, следовательно, основной путь борьбы с вредными последствиями общекотловой пульсации - уменьшение амплитуды и частоты возмущений.
Межтрубная (межвитковая) пульсация заключается в периодическом изменении расхода среды на входе и выходе трубы, причем колебания расхода на входном и выходном участках трубы находятся в противофазе. Колебания расхода в данной трубе компенсируются колебанием расхода в других параллельных трубах элемента, т.е. эти колебания расхода охватывают практически все трубы элемента. Пульсации потока в параллельных трубах сдвинуты по фазе, поэтому общий расход среды через элемент котла и перепад давления в нем остаются почти постоянными.

Межтрубная пульсация самопроизвольно не затухает, имеет автоколебательный характер. На рис.9.34б показано изменение расхода среды на входе и выходе трубы после нанесения возмущения параметром N. В первом полупериоде расход среды на входе трубы уменьшается до минимального значения, а затем возрастает до максимального значения во втором полупериоде. Расход среды на выходе трубы, наоборот, увеличивается в первом полупериоде, а во втором - принимает минимальное значение. Температура металла стенки при снижении расхода возрастает, при увеличении - уменьшается, т.е. находится в противофазе с расходом среды (рис.9.34б).
Межвитковые пульсации могут возникать в трубах с резким изменением удельного объема среды: в испарительных поверхностях при ДКД и в зоне большой теплоемкости при СКД. При этом в металле труб возникают переменные температурные напряжения; критические тепловые потоки qкр резко падают; в горизонтальных трубах возможно периодическое (при малых расходах) расслоение двухфазного потока с повышением температуры на верхней образующей; ухудшаются условия отвода теплоты от поверхности трубы - все это резко ухудшает температурный режим трубы и может привести к аварийному разрыву ее. Поэтому межтрубная пульсация в испарительных поверхностях нагрева и в ЗБТ не допускается.
Межтрубная пульсация может возникнуть в элементе, трубы которого имеют неоднозначную гидравлическую характеристику. Следовательно, первое требование, предъявляемое к трубам для предотвращения межтрубной пульсации - трубы должны иметь однозначные гидравлические или разверочные характеристики.
Второе требование - крутизна гидравлической характеристики.
На рис.9.35 показано три вида гидравлических характеристик: многозначная (а), с пологим участком (б) и крутая однозначная (в).

Номинальный перепад давления ∆pНОМ одинаков во всех случаях (сделано для удобства построения графиков, на самом деле ΔpНОМ для разных поверхностей различен). Допустим, в какой-то трубе началась пульсация, которая вызывает дополнительные потоки среды вдоль коллекторов, статические давления в коллекторах также пульсируют, и перепады давлений в трубах колеблются около среднего значения ∆pНОМ ± δ∆p. Расход среды в трубах колеблется от G1 до G2. При неоднозначной характеристике (рис.9.35а) в этих пределах возможны большие изменения расходов G1 << G2,что может привести к перегреву трубы. Эта характеристика недопустима. Вторая характеристика (рис.9.35б) такова, что на пологом участке изменение перепада давления от ∆p1 до ∆p2 вызывает существенное изменение расхода среды от G1 до G2. На графике заштрихован диапазон изменения расхода GНОМ ± δG, составляющий 1/3 от диапазона изменения перепада давления
.
Этот диапазон находится внутри участка G1 - G2.Следовательно, такая гидравлическая характеристика не препятствует развитию межтрубной пульсации.
Третья, крутая, (рис.9.35в) гидравлическая характеристика допускает изменение расхода среды от G1 до G2, причем G1 и G2 находятся внутри диапазона колебаний расхода GНОМ ± ∆G. В этом случае гидравлическая характеристика такова, что межтрубные пульсации затухают.
Из проведенного анализа вытекает второе требование к гидравлической характеристике труб для предотвращения межтрубной пульсации: производная ∂Δр / ∂G должна быть не только положительной, но и удовлетворять неравенству
|
| (9.87) |
Практически крутизна гидравлической характеристики может оцениваться по отношению изменения перепада давления к перепаду расхода в элементе
|
| (9.88) |
Крутизна определяется по участку характеристики с наименьшим углом наклона. Приемлемые значения гидравлической разверки и пульсаций получаются при крутизне не менее 2.
На развитие межтрубных пульсаций значительное влияние оказывает соотношение Δpэк и Δpисп и для предотвращения межтрубных пульсаций сопротивление экономайзерного участка должно быть больше сопротивления испарительного участка
|
| (9.89) |
В действительности, из-за инерционности системы, сил трения и местного сопротивления и других факторов ограничение (9.89) является завышенным.
Вероятность пульсации зависит от массовой скорости (расхода) среды, давления, недогрева воды на входе, теплового потока, гидравлического сопротивления, пространственного расположения элемента. Повышение массовой скорости снижает вероятность пульсаций, вероятность пульсаций возрастает с ростом тепловой нагрузки.
Расчетная массовая скорость при всех режимах работы котла должна быть больше граничной скорости (ρw)нГР, при которой появляются межтрубные пульсации. На основании опытных данных граничную массовую скорость в горизонтальном элементе рекомендуется определять по формуле
|
| (9.90) |
где
- средняя тепловая нагрузка на внутреннюю поверхность трубы, кВт/м2; l, d - длина и внутренний диаметр трубы, м; (ρw)НГР граничная массовая скорость, кг/(м2·с). Граничная массовая скорость (ρw)НГР и, следовательно (ρw)ГГР зависят от давления р и недогрева ∆hНЕД среды, а также от гидравлического сопротивления начального участка трубы до обогрева, включая дроссельную шайбу

Из рис.9.36 видно, что с увеличением сопротивления на входе xнач граничная массовая скорость снижается. Если в какой-либо трубе и элементе возможно возникновение пульсации, то путем установки на входе дроссельной шайбы можно уйти из опасной зоны. Влияние недогрева ∆hНЕД на (ρw)НГР неоднозначно: с увеличением ΔhНЕД длина экономайзерного участка и ∆pэк растут, что уменьшает вероятность пульсации, но гидравлическая характеристика становится менее крутой, что увеличивает вероятность пульсации. Оптимальное ∆hНЕД = 80…100 кДж/кг.

С повышением давления гидравлические характеристики становятся более стабильными, возможность возникновения межвитковых пульсаций снижается и величина граничной массовой скорости уменьшается. При сверхкритическом давлении межтрубные пульсации могут появляться при энтальпии среды на входе менее 2000…2100 кДж/кг и приращения энтальпии в элементе более 1400 кДж/кг.
В вертикальных трубах нивелирная составляющая изменяется главным образом на испарительном участке за счет колебания xВЫХ, нo так как процессы идут не мгновенно, а протекают во времени, то изменение ∆pНИВ запаздывает по сравнению с изменением расходов и xВЫХ, что усиливает пульсацию и увеличивает ее амплитуду. Поэтому в вертикальных трубах межтрубная пульсация более вероятна, чем в горизонтальных, и возникает при более высоких значениях граничной массовой скорости
|
| (9.91) |
где коэффициент С зависит от давления и энтальпии на входе (от недогрева). При р = 16 МПа коэффициент С с увеличением недогрева до 160…200 кДж/кг увеличивается до 1,5, а затем снижается (при ∆hНЕД = 400 кДж/кг С = 1,35). С ростом давления коэффициент С и (ρw)НГР уменьшаются.
При расчете паровых котлов необходимо обеспечить беспульсационный режим работы поверхностей нагрева во всем диапазоне нагрузок - от растопочных (пусковых) до номинальных. Следовательно, при пуске прямоточного котла должен быть обеспечен такой расход среды через испарительные поверхности нагрева и зону больших теплоемкостей и выбрано давление в элементах таким образом, чтобы (ρw)пуск > (ρw)гр. Практически это означает, что при пуске котла давление в этих поверхностях нагрева близко к номинальному, расход среды составляет не менее 30% от номинального расхода.
Пример, р = 16 МПа; вертикальная панель; ΔhНЕД= 80 кДж/кг; l = 10 м; d = 0,020 м; q = 500 кВт/м2; xвх = 80.
Решение: (ρw)НГР = 300 кг/(м2·с);


Отсюда если принять, что при пуске (ρw)n = 0,3(ρw)ном, (ρw)n = (ρw)вгр, то (ρw)НОМ = 577,5/0,3 = 1925 кг/(м2·с).
9.2.Гидродинамика водного теплоносителя при естественной циркуляции
9.2.1.Движущий и полезный напоры контура циркуляции
Испарительные поверхности барабанного котла совместно с подводящими воду и отводящими пароводяную смесь трубами, с промежуточными коллекторами представляют собой систему, замкнутую на барабане или выносном циклоне и называемую контуром естественной циркуляции.
На рис.9.37 изображена схема простого контура циркуляции, приведены обозначения высот частей контура, используемые в расчете контура циркуляции. Высоту контура Нк принимают равной высоте опускных труб Нк = Ноп.

Простой контур циркуляции представляет собой систему последовательно включенных элементов (опускные, подъемные и отводящие трубы), каждый из которых выполнен из параллельно включенных труб, конструктивно тождественных и одинаково обогреваемых. Контур циркуляции, замкнутый на выносной циклон, показан на рис.9.38а.
Контур 1 - 2 - 3 - 4 простой, но циклон 1 дополнительно связан с барабаном системой водоподводящих 5 и пароотводящих 6 труб, влияющих на работу контура 1 - 2 - 3 - 4, и вся система барабан - 5 - 1 - 2 - 3 - 4 - 1 - 6 - барабан представляет собой сложный контур циркуляции. Этот сложный контур можно условно разделить на два простых - барабан - 5 - 1 - 6 и контур -1 - 2 - 3 – 4, имеющих общий элемент - циклон 1. Пример сложного контура представлен на рис.9.38б и включает в себя барабан, опускной стояк 1, к которому параллельно подключены подъемные 2 и отводящие 3 трубы фронтового экрана и подъемные 4 и отводящие 5 трубы заднего экрана. Там же изображен контур, состоящий из испарительных труб трехрядного конвективного пучка 6 со своими опускными 7 и отводящими 8 трубами. Каждый из трех рядов конвективного пучка выполнен из одинаковых по конфигурации труб с одинаковым обогревом, но между собой ряды отличаются по обогреву и конфигурации, т.е. их можно рассматривать как три подъемных элемента, включенных параллельно. Таким образом, сложный контур циркуляции содержит в себе параллельно включенные элементы, отличающиеся конструкцией и интенсивностью обогрева.
На рис.9.38в показан вариант компоновки контуров циркуляции в топочной камере котла.

Для расчета контура циркуляции используются основные уравнения, рассмотренные в гл.8: уравнения неразрывности, движения, энергии и состояния. При описании движения среды в замкнутом контуре эти уравнения можно упростить, придав им специфический вид, обусловленный конкретными начальными и граничными условиями.
Уравнение неразрывности для установившегося движения в трубе с постоянным сечением f выражается через массовую скорость ρw потока:
ρw = const.
Расход массы через n параллельных труб Gт, кг/с,
| Gт = ρwfn. | (9.92) |
В контуре циркуляции расход циркулирующей среды GЦ через последовательно включенные элементы одинаков. Для последовательных элементов уравнение неразрывности (уравнение сплошности) запишется в следующем виде
|
| (9.93) |
где индексы оп, под, отв, вх относятся соответственно, к опускным, подъемным, отводящим трубам и входному участку подъемных труб.
Одним из основных параметров, характеризующих работу контура, является скорость циркуляции w0, м/с
|
| (9.94) |
Задавшись w0, можно рассчитать скорость среды в других элементах контура, в частности в опускных трубах
|
| (9.95) |
Уравнение движения для контура циркуляции запишем в виде суммы сопротивлений последовательно включенных элементов
|
| (9.96) |
Для каждого из элементов перепад давления определяется по известным формулам

где 
Для опускных, подъемных и пароотводящих труб можно рассчитать и построить гидравлические характеристики ∆p = f(w0) или Δp = f(GЦ) и, суммируя их, решить уравнение движения (9.96). При этом определяется скорость циркуляции w0 расход среды GЦ, количество образовавшегося пара GП и соответствующие им перепады давления по элементам контура циркуляции. По отношению GЦ и GП рассчитывается кратность циркуляции КЦ
| КЦ = GЦ/GП | (9.97) |
Уравнение движения можно представить и в другом виде - через движущий напор Sдв (см. § 8.5), который идет на преодоление сопротивлений трения, местного и ускорения в контуре
|
| (9.98) |
При расчете контура циркуляции по этому методу вводят понятие полезного напора циркуляции
|
| (9.99) |
При расчете сопротивления
нивелирные напоры не учитываются.
Из формулы (9.98) с учетом (9.99) получим простую форму записи уравнения движения
| Sпол = ∆p*под | (9.100) |
Следовательно, полезный напор Sпол представляет собой часть движущего напора Sдв, расходуемую на преодоление сопротивления . Для решения уравнения (9.100) необходимо определить
и Sдв. В итоге получим значения w0, GЦ, GП и KЦ.
Оба метода решения уравнения движения будут рассмотрены ниже.
Уравнение энергии для установившегося движения потока в испарительных поверхностях топочной камеры будем использовать в виде уравнения теплового баланса
|
| (9.101) |
Уравнения состояния выражают зависимости теплофизических свойств водного теплоносителя от давления и температуры: ср, λ, v, ρ = f(p,t); с'p, λ', v', ρ'; с"p , λ", v", ρ" = f(p).
Начальные условия при рассмотрении стационарного движения потока в контуре циркуляции не задаются.
Граничные условия должны быть известны из конструктивного выполнения контура циркуляции, из теплового расчета котла, который проводится до расчета контура циркуляции. Если результаты расчета контура циркуляции покажут низкую надежность его работы, необходимо изменить конструктивное выполнение контура циркуляции, топочной камеры, тепловосприятие в топке и т.д. Эти изменения могут привести к необходимости выполнения нового теплового расчета котла.
9.2.2.Гидравлические характеристики контура циркуляции
Контур циркуляции состоит из последовательно включенных элементов. Суммарная гидравлическая характеристика контура представляет собой сумму перепадов давления в этих элементах, взятых при одном и том же расходе GЦ .
Гидравлическая характеристика опускных труб контура циркуляции
В современных паровых котлах опускные трубы делаются без обогрева, с хорошей тепловой изоляцией, поэтому их теплообмен с окружающей средой близок к нулю и не учитывается. В этом случае температура воды в опускных трубах и энтальпия hОП по высоте изменяться не будут. Поскольку hОП близка к энтальпии насыщения, плотность воды ρОП будем считать равной ρ'. При hОП = const ΔpУСК=0.
Вода в опускные трубы попадает из барабана с энтальпией hОП, давление в паровой части барабана pБ (рис.9.39). Под воздействием гидростатического столба воды (нивелирного напора) давление в барабане повышается, и на входе в опускные трубы нивелирный напор составит
|
| (9.102) |
а в нижнем коллекторе
|
| (9.103) |
Скорость вертикального движения воды в барабане мала, поэтому ∆pГБ ≈ 0. На входе в опускные трубы скорость воды резко возрастает, что требует затраты энергии на ускорение потока. С учетом местного сопротивления (сопротивления входа) потери давления на входе в опускные трубы составляет
|
| (9.104) |
Давление на входе в опускные трубы
|
| (9.105) |
Давление в нижнем коллекторе
|
| (9.106) |
|
| (9.107) |
где ZОП - суммарный коэффициент сопротивления в опускной трубе.
По уравнению состояния энтальпия воды на линии насыщения h' однозначно зависит от давления. Поэтому, по высоте опускных труб энтальпия насыщения hўОП будет изменяться эквидистантно изменению давления (рис.9.39). Действительная энтальпия воды в опускных трубах зависит от режима работы экономайзера и барабана. Вода, поступающая из барабана в опускные трубы, может быть недогрета до энтальпии насыщения по давлению в барабане hўБ Недогрев в барабане DhБНЕД определяется из теплового и материального баланса барабана
|
| (9.108) |
где hЭК - энтальпия воды за экономайзером.
Недогрев воды в барабане зависит от кратности циркуляции KЦ и энтальпии воды за экономайзером.
Кратность циркуляции в отдельных контурах котлов высокого давления (p = 8…14 МПа) составляет КЦ = 6…14, сверхвысокого (p = 14…18,5 МПа) - КЦ =5…8. Повышение энтальпии за экономайзером hЭК уменьшает недогрев в барабане. В котлах с кипящим экономайзером недогрев воды в барабане равен нулю. То же - в солевых отсеках котла и в случае подачи всей питательной воды на паропромывочное устройство в чистом отсеке барабана (при этой схеме вода на паро-промывочном устройстве дополнительно нагревается до насыщения за счет теплоты промываемого пара).
Недогрев воды по ходу ее движения в опускной трубе увеличивается за счет роста давления рОП и h'ОП. В нижнем коллекторе недогрев составит
|
| (9.109) |
В рассмотренном случае по всей высоте опускной трубы ∆hНЕД > 0 остается однофазной, плотность ее постоянна, не зависит от расхода воды. Постоянной величиной будет и нивелирный напор ∆pОПНИВ = ∆p*НИВ (рис.9.40). Гидравлическая характеристика опускной трубы ∆pОП = ∆p*ОП + ∆pНИВОП получается однозначной. При малых расходах (GЦ < G0) перепад давления ∆рОП = рБ - рН.К отрицателен, т.к. рН.К > рБ, а при GЦ > G0 положителен. Расходу G0 соответствует w0ОП порядка 10 м/с. Скорость в опускных трубах котлов wОП = 1…3 м/с, т.е. wОП < w0ОП и всегда рН.К > рБ

В опускных трубах может появиться пар за счет закипания воды на входе в опускные трубы, сноса пара из барабана и затягивания паровых воронок, образующихся в барабане.
Вскипание воды на входе в опускные трубы (явление кавитации) может произойти, если давление на входе в опускные трубы рВХ < рБ а h'ВХ < hБ. При ∆hБНЕД= 0 (hОП = h'Б) это означает, что h'ВХ < hОП и вода будет испаряться.
Вскипание воды на входе в опускные трубы не допускается, т.е. должно быть обеспечено рВХ > рБ. Из (9.105) видно, что это условие соблюдается при выполнении неравенства
|
| (9.110) |
или
|
| (9.111) |
Воронкообразование в барабане может возникнуть при малой высоте слоя жидкости над опускными трубами. Минимальная высота уровня воды в барабане для опускных труб диаметром до 200 мм составляет 400…500 мм. При установке на входе в опускные трубы разного типа решеток и крестовин, минимальная высота уменьшается в 2 раза. Современные мощные котлы имеют барабаны с внутренним диаметром 1600…1800 мм, уровень воды 700…800 мм, что создает достаточный запас по недопущению воронкообразования.
Снос пара из барабана потоком воды в опускные трубы может происходить при близком расположении ввода пароотводящих труб в барабан от входа в опускные трубы. Если вода, направляющаяся в опускные трубы, имеет скорость больше скорости всплывающих пузырьков пара, то может захватить часть из них с собой и унести в опускные трубы. Для предотвращения захвата пара водой вход в опускные трубы должен быть расположен от выхода пароотводящих труб на расстоянии не менее 250…300 мм, между ними при необходимости следует ставить перегородки.
В современных котлах внутрибарабанные устройства выполняются таким образом, что снос пара практически отсутствует, среднее истинное паросодержание в опускных трубах
= 0,02…0,03. Такое количество пара при конденсации нагревает воду в опускных трубах на ∆hСН = 5…8 кДж/кг.
Появление пара в опускных трубах отрицательно сказывается на их работе и работе всего контура циркуляции: увеличивается сопротивление движению потока ∆p*ОП, снижается нивелирный напор, так как уменьшается плотность среды

На рис.9.40 пунктиром показаны кривые (∆p*ОП)сн, (∆pНИВОП)сн, (∆pОП)сн, учитывающие снос пара в опускные трубы. Наличие небольшого количества пара в опускных трубах не опасно.
Гидравлическая характеристика подъемных труб контура циркуляции
На рис.9.14 показано распределение давления и энтальпии среды по высоте трубы. Принятые обозначения в конкретном случае подъемных труб контура циркуляции принимают вид
а) ∆hВХНЕД = ∆hН.КНЕД , расчет ∆hН.КНЕД производится по формуле (9.109);

где QЭКР - тепловосприятие экрана; HЭЛ - площадь лучевоспринимающей поверхности нагрева рассматриваемого контура, м2; - средний тепловой поток, кВт/м2, определяемый с учетом неравномерностей тепловосприятия; 
г) необходимо учесть ∆hСН - нагрев воды за счет пара в опускных трубах.
С учетом этих обозначений формула расчета высоты точки закипания HТ.З примет вид
|
| (9.113) |
Формулу (9.113) можно упростить, учитывая, что сопротивление на экономайзерном участке мало (Rv'G2 << ρ'g ). Если под HЭК понимать разность отметок от точки закипания до оси нижнего коллектора, то HЭК = HТ.З + HДО и в скобках в числителе из HОП необходимо вычесть HДО.
Сопротивление подъемных труб ∆p*ПОД без нивелирного напора равно сумме сопротивлений
| ∆p*ПОД =∆pЭК + ∆pПО. | (9.114) |
Нивелирный напор рассчитывается как сумма напоров на экономайзерном ∆pэкНИВ и испарительном ∆pИСПНИВ участках.
По данным расчета ∆pподНИВ и ∆p*ПОД в зависимости от GЦ или w0 строится гидравлическая характеристика, аналогичная характеристике вертикальной трубы (см. рис.9.18), и полная характеристика с учетом подъемного и возможного опускного движения типа рис.9.25.
В отводящие трубы поступает пароводяная смесь с паросодержанием хОТВ, равным значению на выходе из подъемных труб. Так как отводящие трубы необогреваемые, то все характеристики двухфазного потока принимаются постоянными. Так как сечение отводящих труб меньше сечения подъемных труб, то скорость пароводяной смеси в них значительно выше.
Сопротивление отводящих труб ∆p*ОТВ рассчитывается с учетом дополнительного слагаемого ∆pВ.У , показывающего потери энергии на подъем пароводяной смеси выше уровня воды в барабане (см.рис.9.37)
|
| (9.115) |
Нивелирный напор определяется по высоте отводящих труб
|
| (9.116) |
Гидравлическая характеристика отводящих труб показана на рис.9.41.

Гидравлическая характеристика контура естественной циркуляции представляет собой сумму гидравлических характеристик последовательно включенных опускных, подъемных и отводящих труб (рис.9.42)
| ∆pКОНТ =∆pОП +∆pПОД + ∆pОТВ. | (9.117) |

Решением уравнения движения является расход G0Ц, при котором ∆pКОНТ = 0. По этому расходу определяются соответствующие значения ∆p0ОП, ∆p0ПОД, ∆p0ОТВ и все другие параметры работы контура, проводится проверка надежности работы опускных и подъемных труб и контура в целом.
Контур циркуляции представляет собой U - образную компоновку труб (вверху замкнутую), и, соответственно, его гидравлическая характеристика похожа на характеристику U - образной трубы.
Гидравлическая характеристика контура однозначна, рабочая точка (∆pКОНТ=0, GЦ0) устойчива. Каждый элемент контура (опускные, подъемные и отводящие трубы) имеет коллектор или барабан на входе и выходе, т.е. гидравлически обособлен. Значения ∆p0ОП, ∆p0ПОД, ∆p0ОТВ и являются средними по элементу, но внутри элементов в зависимости от их гидравлической и разверочной характеристик возможна область неоднозначности, межтрубная пульсация, режимы застоя и опрокидывания циркуляции. При возможности возникновения этих режимов необходимо анализировать полные гидравлические и разверочные характеристики подъемных труб.
9.2.3.Расчет контуров циркуляции
Прежде всего определим связь двух подходов к расчету контура - по гидравлическим характеристикам и по SПОЛ. Сумма нивелирных напоров ∆pНИВКОНТ, входящих в гидравлическую характеристику контура
|
| (9.118) |
Проведем разделение слагаемых для опускных и подъемных участков
|
| (9.119) |
< подъемных на плотность среднюю>
|
| (9.120) |
где HЭК+ HИСП + HОТВ = HОП = HК .
Тогда формула (9.119) примет вид
|
| (9.121) |
Движущий напор контура циркуляции определен (см.гл.8) в следующем виде
|
| (9.122) |
Сопоставление (9.121) и (9.122) показывает, что
|
| (9.123) |
В гидравлической характеристике перепад давления в контуре определяется как сумма всех сопротивлений

Проведем преобразование
|
| (9.124) |
Таким образом, получим связь между ∆pКОНТ, SДВ и SПОЛ. В рабочей точке контура ∆pКОНТ = 0, из (9.124) получим другую форму этого равенства: ∆p*ОП = SПОЛ .
Из (9.124) выразим зависимость SПОЛ от ∆pКОНТ, и ∆p*ОП
|
| (9.125) |
Следовательно, для определения SПОЛ можно взять сумму всех сопротивлений в контуре, кроме ∆p*ОП, и поменять знак на обратный.
На рис.9.43 показано соотношение между величинами SПОЛ, ∆p*ОП, ∆pКОНТ и - SПОЛ

Таким образом, для определения SДВ и SПОЛ проводятся те же расчеты, что и при построении гидравлической характеристики. Если к сумме
из (9.125) прибавим ∆p*ОП, то получим формулу для гидравлической характеристики контура ∆рКОНТ = f(GЦ). Но можно проводить совместный анализ двух зависимостей SПОЛ = f(GЦ) и ∆р *КОНТ = f(GЦ)
Первый способ более удобен для алгоритмизации расчетов при использовании ЭВМ, второй способ лучше приспособлен для ручного расчета, он используется давно и для него более разработана система проверки надежности работы контура.
Рассмотрим методику расчета простого контура циркуляции (рис.9.44а).

Известно: геометрические характеристики контура, давление, hЭК, qЛ экранов. Расчет ведется параллельно для трех (минимум) значений скорости циркуляции w0 или расхода циркуляционной воды GЦ. Для экранов, непосредственно введенных в барабан (рис.9.44a), w0 = 0,5…1,5 м/с; а имеющих верхние коллекторы (рис.9.45a) w0= 0,2…1,2 м/с. Задаются кратностью циркуляции КЦз, определяют недогрев в барабане (∆hБНЕД)3 и ((∆hБНЕД)3 - ∆hСН).

По уравнению сплошности рассчитывают скорости потока в опускных трубах wОП; принимая ρОП ≈ ρ', определяют ∆р*ОП. Строят график ∆р*ОП = f(w0) рис.9.44б. Сечение опускных труб (суммарное) при высоком давлении среды в 2…2,5 раза меньше сечения подъемных труб.
Рассчитывают HТ.З , HЭК и HИСП, определяют паропроизводительность контура Gп,
. Затем находят SДВ и строят график SДВ.=f(w0)
Сопротивление подъемных труб Δр*ПОД определяется как сумма сопротивления на экономайзерном и испарительном участках. Строят график ∆р*ПОД = f(w0) .Вычитая Δр*ПОД из SДВ, определяют полезный напор контура SПОЛ (рис.9.44б). Точка пересечения А кривых SПОЛ и Δр*ПОД дает решение уравнения движения - действительную скорость циркуляции w0Д, расход среды GЦД, действительный полезный напор SПОЛД. По w0Д определяют действительное парообразование GЦД и кратность циркуляции KЦД .
После проведения расчета необходимо проверить правильность принятой предварительно КЦз, при большом расхождении расчет повторяется при другом значении КЦ.
В современных котлах большой производительности подъемные трубы имеют верхний коллектор (рис.9.45а), из которого отводящие трубы транспортируют пароводяную смесь в барабан или выносной циклон. Суммарное сечение отводящих труб выбирают в пределах 30…60% сечения испарительных труб. Желательно вводить отводящие трубы по условиям сепарации в паровое пространство барабана, но при этом следует стремиться, чтобы верхняя точка труб была возможно ближе к уровню воды в барабане (уменьшается ΔpВ.У).
Расчет сложного контура циркуляции ведется почти так же, как в предыдущем случае. Отличие заключается в том, что определяется полезный напор контура SПОЛ КОНТ как сумма полезных напоров экрана (испарительных труб) SПОЛ ЭКР и отводящих труб SПОЛОТВ. Движущий напор отводящих труб SДВОТВ невелик, так как мала высота HОТВ, а сопротивление этих труб Δр*ОТВ значительно из - за большой скорости пароводяной смеси и дополнительного сопротивления ΔрВ.У. Поэтому SПОЛОТВ значительно меньше SПОЛЭКР и может быть отрицательным при GЦ > GК, (рис.9.45а).
Суммирование SПОЛЭКР и SПОЛОТВ ведется при G = const.
Рабочей точкой контура А является точка пересечения кривых SПОЛКОНТ = f(GЦ) и Δр*ОП = f(GЦ), которая дает нам действительные значения GЦД и SПОЛКОНТ Действительные значения SПОЛОТВ и SПОЛЭКР определяются по соответствующим кривым при GЦД. В нашем случае (рис.9.45б) SПОЛОТВ при GЦД отрицателен, т.е. часть полезного напора экрана затрачивается на преодоление сопротивления отводящих труб. В принципе, это допустимо, если надежность работы контура обеспечена. Иначе надо принимать меры по обеспечению надежности, в том числе и уменьшать сопротивление отводящих труб.
Расчет более сложных контуров циркуляции выполняется по аналогичной схеме, различные детали расчета приведены в нормативном методе гидравлического расчета паровых котлов.
9.2.4.Показатели надежности работы контура циркуляции
Скорость циркуляции w0 в контурах барабанных котлов высокого давления не превышает 1…1,5 м/с. При плотности среды ρ' = 590 кг/м3 (р = 16 МПа) это составит массовую скорость в трубах ρw0 не выше 1000 кг/(м2∙с). Из гидравлических характеристик U-оразных панелей видно, что при малой скорости среды есть опасность перехода в область неоднозначности. Поэтому после расчета контура циркуляции проводится проверка надежности работы контура по следующим направлениям: температурный режим обогреваемых труб; работа опускных труб; работа подъемных труб; надежность циркуляции при нестационарных режимах котла. Температурный режим обогреваемых труб в котлах на давление менее 11 МПа и невысоких тепловых потоках (qЭЛ < 400 кВт/м2) может считаться обеспеченным при кратности циркуляции более 4. В котлах высокого давления (более 11 МПа) необходимо проверять экранные трубы на кризис теплообмена и образование в них режимов ухудшенной теплоотдачи (см.гл.10).
Надежность гидродинамики опускных труб в стационарном режиме обеспечена, если нет вскипания воды на входе в них, отсутствует воронкообразование в барабане и нет сноса паровых пузырей в трубы.
Надежность гидродинамики подъемных труб определяется по исключению свободного уровня для труб, выведенных в паровое пространство, застоя и опрокидывания циркуляции для труб, выведенных в водяной объем барабана или в верхний коллектор.
Определение неоднозначной области, возможность возникновения застоя или опрокидывания циркуляции по гидравлическим и разверочным характеристикам рассматривалось в § 9.1. Необходимо основные результаты этого раздела отобразить с точки зрения надежности циркуляции. Для анализа надежности подъемных труб используем диаграммы циркуляции (в некоторых литературных источниках диаграммы циркуляции называют также гидравлическими характеристиками, что не совсем корректно).
Построим диаграмму циркуляции простого варианта сложного контура (рис.9.46а), состоящего из опускных труб и трех рядов подъемных труб, введенных непосредственно в барабан выше уровня воды. Ряды труб имеют разную интенсивность обогрева: ряд б - средний тепловой поток qБ = qСР, ряд а - сильнообогреваемый (qа > qСР ), ряд в - слабообогреваемый (qВ < qСР).

Аналогичное решение будет для труб одного контура циркуляции при различном тепловом напряжении по ширине контура. Для каждого ряда строим зависимость SПОЛ = f(GЦ) на рис.9.46б.
При одном и том же расходе GЦ полезный напор у слабообогреваемого ряда меньше других, т.е. SПОЛВ < SПОЛБ < SПОЛА. Поскольку три ряда включены параллельно, сумма их полезных напоров SПОЛКОНТ определяется по условию: GЦКОНТ = GЦА + GЦБ + GЦВ; ∆p*ОП = сonst; SПОЛ = const.
Пересечение кривых SПОЛКОНТ = f(GЦ) и ∆p*ОП = f(GЦ) дает рабочую точку А, по которой оределяются величины: GЦД, действительные значения GЦА, GЦБ, GЦВ, при действительном значении SПОЛКОНТ = ∆p*ОП
Количество пара, образовавшегося в трубах, определяется по формуле (считаем ∆hБНЕД = 0)
GП = qHл/r.
При одинаковой площади нагрева GПА < GПБ < GПВ. Сравним GПВ и GЦВ:
1) GПВ < GЦВ кратность циркуляции КЦВ = GЦВ/GПВ > 1, работа слабообогреваемой трубы в этом режиме возможна;
2) GПВ > GЦВ, KЦВ < 1 режим невозможен;
3) GПВ = GЦВ, KЦВ = 1, режим возможен;
В слабообогреваемой трубе при кратности циркуляции, равной 1, поступающая вода полностью испаряется, т.е. на каком-то уровне по высоте трубы устанавливается граница жидкой фазы, выше - только паровая фаза.
Этот уровень называется свободным уровнем. Свободный уровень в трубе, выведенной в паровое пространство барабана, появляется при прекращении движения воды вследствие невозможности поднять ее до высшей отметки трубы.
Примем, что свободный уровень в трубах ряда в образовался на высоте, расположенной ниже уровня в барабане на НСВ.У (рис.9.46д).
Максимальная высота свободного уровня НСВ.УМАКС будет при
(при отсутствии обогрева или малом обогреве). Учитывая, что SПОЛВ = p*ОП, формулу для НСВ.УМАКС запишем в виде
|
| (9.126) |
Высота свободного уровня зависит от давления (ρ′, ρ"), интенсивности обогрева (
) и сопротивления опускных труб (Δp*ОП), увеличивается при росте давления и сопротивления опускных труб, при уменьшении тепловой нагрузки.
При образовании в обогреваемой трубе свободного уровня в зоне обогрева происходит резкое ухудшение температурного режима, так как теплоотдача к паровой фазе значительно менее интенсивна, чем к воде или пароводяной смеси. Кроме того, непрерывное колебание уровня и температуры стенки вызывает усталостные напряжения в металле. Если свободный уровень находится выше обогреваемой зоны, то его образование менее опасно, но нежелательно, так как при малой скорости движения пароводяной смеси интенсивность охлаждения трубы может оказаться недостаточной.
По графику SДВПОЛ = f(GЦ) определим полезный напор НСВ.УПОЛ, при котором возможен режим свободного уровня. Для этого по условию GЦВ = GПВ проведем вертикальную линию до пересечения с кривой SПОЛВ и получим SПОЛСВ.У. Для надежной работы слабообогреваемой трубы должен быть запас по свободному уровню
| SПОЛСВ.У / SПОЛКОНТ >1,1…1,2. | (9.127) |
Режимы опрокидывания и застоя циркуляции сопровождаются обратным, опускным движением среды в трубах экрана. Поэтому для их анализа необходимо строить полные диаграммы циркуляции, охватывающие подъемное и опускное движение среды.
Рассмотрим контур циркуляции, в котором подъемные трубы введены в водяной объем барабана (рис.9.47а).

Движущий напор
|
| (9.128) |
При G = 0 труба заполнена паром,
= 1, HТ.З = 0, тогда движущий напор

При GЦ > 0 высота точки закипания HТ.З растет, парообразование в трубе уменьшается. Это приводит к снижению движущего напора SДВ (рис.9.47б). При опускном движении (GЦ < 0) SДВ при увеличении расхода снижается, но темп снижения меньше, так как при одном и том же массовом паросодержании истинное паросодержание при опускном движении φОП больше, чем при подъемном φПОД (φОП > φПОД, см. гл. 8). Полезный напор в трубе
| SПОЛ = SДВ - Δp*ПОД | (9.129) |
График Δp*ПОД показан на рис.9.47б. При подъемном движении Δp*ПОД положительно, при опускном - отрицательно. Вычитание по (9.129) дает сложный график зависимости SПОЛ от расхода циркулирующей среды. Видно (рис.9.47б), что эта зависимость имеет зону неоднозначности, лежащую в диапазоне от SВПОЛ до SБПОЛ, от GЦоп до GЦПОД. При GЦ > GЦпоПОД - устойчивое подъемное движение, при GЦ < GЦоп - устойчивое опускное движение.
Из формулы (9.122) видно, что движущий напор SДВ и, соответственно, полезный напор SПОЛ сильно зависят от давления - с ростом давления они снижаются (рис.9.48). При давлении околокритическом и сверхкритическом эти напоры малы и не обеспечивают достаточной скорости движения среды. Поэтому барабанные котлы выполняются на давление до 18-19 МПа (< 0,85 рКР ).

Полные диаграммы циркуляции для высокого и низкого давления по своему виду несколько различаются (рис.9.49 и рис. 9.50).


Рассмотрим полную диаграмму циркуляции слабообогреваемой трубы SТРПОЛ = f(G) при низком давлении (рис.9.49). Левая часть графика SТРПОЛ (при GЦ < 0) лежит существенно выше правой части. На этом же рисунке показаны графики для SКОНТПОЛ и Δp*ОП. По точке их пересечения А находим действительные SКОНТПОЛ, GДЦ, расход среды в трубе GЦТР. По тепловой нагрузке и площади нагрева определяем количество образовавшегося в слабообогреваемой трубе пара GПТР. При GПТР > GЦТР - нормальный режим циркуляции; при GПТР = GЦТР поступающая в трубу вода испаряется, пар барботирует через слой жидкости и уходит в барабан, верхняя часть трубы, соединенной с водяным объемом барабана, заполнена водой. Скорость подъема пара мала. Возможен и третий случай, когда GПТР < GЦТР. При этом происходит подпитка трубы водой из барабана в количестве GПОДП = GПТР - GЦТР. Из-за встречного движения воды скорость пара еще снижается.
Застоем циркуляции называется медленное перемещение в обогреваемой трубе воды вверх или вниз, а пара - вверх, при котором возможен застой отдельных паровых пузырей в гибах, сварных стыках, отводах и т.п. Такой режим неустойчив, вызывает пульсацию в трубе и контуре, охлаждение трубы ухудшается.
По графику SПОЛТР = f(GЦ) при GПТР = GЦТР определяется полезный напор застоя SПОЛЗАСТ. Коэффициент запаса на застой циркуляции
| SПОЛЗАСТ / SПОЛКОНТ > 1,1…1,2, | (9.130) |
где SПОЛКОНТ - действительный полезный напор контура.
Нижняя граница зоны многозначности соответствует полезному напору в точке минимума В (рис. 9.49). При этом напоре возможен переход с положительной ветви кривой на отрицательную, т.е. произойдет опрокидывание циркуляции. Напор в точке В поэтому называется полезным напором опрокидывания SПОЛОПР. Вода, движущаяся сверху вниз, препятствует подъему пара, и пар скапливается в трубе, происходит запаривание трубы, что может привести к аварийному пережогу трубы. Такой режим недопустим. Проверка на опрокидывание проводится по формуле
| SПОЛОПР / SПОЛКОНТ > 1,1…1,2. | (9.131) |
Из рис.9.49 видно, что при низком давлении запас на опрокидывание циркуляции больше, чем на застой, поэтому при нарушении режима в контуре в слабообогреваемой трубе может быть застой циркуляции. При высоком давлении (рис.9.50) левая часть графика SПОЛТР = f(G) расположена ниже, чем при среднем и низком давлении.
Полезный напор опрокидывания может оказаться меньше, чем SПОЛЗАСТ тогда при нарушении режима работы контура в слабообогреваемой трубе произойдет опрокидывание циркуляции.
Аналогичную проверку надежности работы контура циркуляции можно проводить и по полным гидравлическим характеристикам вертикальных труб и контура в целом (рис.9.51).

Надежность циркуляции при нестационарных режимах котла определяется скоростью изменения давления в котле. Изменение давления в контуре может быть вызвано резким изменением нагрузки, расхода топлива, давления, уровня в барабане.
Максимальная скорость изменения давления в котле возможна при мгновенном прекращении отбора пара турбинами при неизменном расходе топлива или при прекращении подачи топлива при неизменном отборе пара и в первую минуту времени составляет (для котлов с давлением 10…20 МПа) 0,03…0,05 МПа/с, через 5 мин скорость падает в 2 раза, а через 10 мин - в 4 раза.
При падении давления в опускных трубах возможно вскипание воды за счет теплоты, аккумулированной металлом труб, их изоляцией и водой. Кипение воды не допускается при скорости потока менее 0,8 м/с. Если скорость потока более 0,8 м/с, то кипение воды допускается в пределах, не приводящих к застою и опрокидыванию циркуляции в подъемных трубах. Дело в том, что при вскипании воды в опускных трубах сопротивление Δp*ОП увеличивается, увеличивается и действительное значение SПОЛКОНТ, запас на застой и опрокидывание в слабообогреваемой трубе уменьшается (при постоянных SПОЛЗАСТ и SПОЛоп) (рис.9.52).

9.3. Организация сепарации влаги и пара в барабанных котлах
9.3.1.Барабан - сепарационное устройство барабанного котла
В современных паровых барабанных котлах основным сепарационным устройством является барабан. В некоторых случаях дополнительно используются выносные циклоны.
Барабан в паровых котлах выполняет роль емкости, разделяющей пароводяной тракт на экономайзерный, испарительный и перегревательный участки; является устройством для сепарации влаги от пара: входит как элемент в контур естественной или принудительной циркуляции.
Барабан парового котла представляет собой цилиндрический горизонтальный сосуд с внутренним диаметром до 1600…1800 мм и длиной до 15…20 м и более, зависящих от паропроизводительности котла. В барабан подается вода или пароводяная смесь из экономайзера (рис.9.53).

При подаче воды над уровнем в барабане и падении ее на поверхность водяного объема образуется большое количество водяных капель, поднимающихся в паровое пространство барабана. Если же ввод воды производить под уровень, то слой воды частично погасит энергию струи, но будет недостаточен для полного ее гашения. Поэтому образуются сложные линии тока в объеме воды, волнообразование и выброс капель в паровое пространство. Отсюда первое требование к внутрибарабанным устройствам - гашение кинетической энергии водяной или пароводяной струи из труб после экономайзера.
Из барабана часть воды направляется в опускные трубы контура циркуляции. При анализе работы опускных труб (см.§ 9.2) возникает второе требование - организация плавного входа воды в опускные трубы, с малым сопротивлением входа, и организация устройств, предотвращающих воронкообразование и захват (снос) пара опускающейся водой. Для того, чтобы высота уровня воды над входом в опускные трубы была максимальной, опускные трубы необходимо выводить из барабана как можно ближе к нижней его образующей.
В барабан из контура циркуляции по отводящим трубам поступает пароводяная смесь с большой скоростью. Если организовать сосредоточенный ввод отводящих труб под уровень воды, то за счет большой кинетической энергии струи и значительного объема паровой фазы уровень воды, насыщенной паровыми пузырями, будет значительно выше среднего, т.е. произойдет набухание уровня. При прохождении пара через границу вода - пар будет образовываться большое количество водяных капель, поднимаемых потоком пара.
Отсюда третье требование - организация равномерного по длине и сечению барабана ввода пароотводящих труб и гашение энергии поступающей пароводяной струи, обеспечение равномерности распределения паровой фазы по сечению барабана, снижение интенсивности образования капель и их выброса в паровое пространство.
Насыщенный пар, поступивший в барабан, поднимается в верхнюю часть барабана и отводится через трубы в пароперегреватель. Ясно, что эти трубы должны быть расположены вдоль верхней образующей барабана, иначе может образоваться застойная зона. Поток пара, направляющийся к сосредоточенному отводу, плохо заполняет сечение барабана, скорость пара в средней части при этом существенно увеличивается. Поток пара может унести часть капель воды из парового пространства в отводящие трубы и дальше в пароперегреватель. Так как унос капель по массе невелик, то эта влага на условия теплообмена в пароперегревателе не влияет. Если произойдет заброс влаги, т.е. большой ее унос с паром, то вода, попадая на стенки труб пароперегревателя, вызовет резкое охлаждение их и термическое растрескивание металла. Но и малое количество уноса влаги может привести к нарушению работы пароперегревателя - в каплях воды содержатся примеси, которые при испарении воды на стенке пароперегревателя образуют отложения с низкой теплопроводностью, а при испарении в потоке перегретого пара примеси переходят в пар и уносятся в турбину.
Четвертое требование - организация равномерного заполнения потоком пара верхней части барабана, при снижении скорости пара, и улучшении сепарации пара от воды.
При высоком давлении насыщенный пар, барботирующий через слой воды в барабане, содержит значительное количество примесей, и тогда возникает пятое требование - организация промывки пара внутри барабана.
9.3.2.Гидродинамические процессы в барабане парового котла
Прежде чем рассматривать конструктивное выполнение внутрибарабанных устройств, необходимо провести анализ процессов барботажа и уноса влаги внутри барабана.
Барботаж пара через воду - подъем паровой фазы в жидкости, приведенная скорость направленного движения которой (жидкости) мала или равна нулю. Барботаж пара имеет место в барабанах котлов, в подъемных трубах контура циркуляции при образовании свободного уровня, застоя или опрокидывания циркуляции, в парогенераторах и реакторах атомных электростанций, испарителях и многих других аппаратах ряда отраслей промышленности. В общем случае аппарат, в котором происходит процесс барботажа пара через слой жидкости, называется барботером.
Для равномерного распределения паровой фазы по сечению барботера (в том числе и в барабане) и выравнивания скоростей пара в барботажном слое устанавливается распределительное устройство. Обычно применяется погруженный в слой жидкости дырчатый лист с соответствующим образом рассчитанным количеством отверстий выбранного диаметра d1. Правильно рассчитанные дырчатые листы гасят также кинетическую энергию пароводяных струй.
Режим работы дырчатого листа зависит от расхода паровой фазы и диаметра паровых пузырьков и отверстия в листе (рис.9.54). При небольших расходах пара и малом диаметре (dП < d1) пузырьки свободно проходят через отверстия в виде отдельных пузырьков, не сливаясь (рис.9.54а). Если dП > d1, то паровой пузырек втягивается в отверстие, разделяясь на две части (рис.9.54б). На часть пузырька, находящуюся над листом, действуют подъемная сила и конвективные токи, стремящиеся оторвать ее от листа.

Пока над листом будет формироваться новый пузырек, оставшиеся под листом части пузырька могут слиться в единую паровую подушку. Следовательно, для данного давления в системе и диаметра отверстия в листе существует скорость пара в отверстиях
, при повышении которой под дырчатым листом образуется устойчивая паровая подушка.
Средняя скорость пара в отверстиях дырчатого листа определяется по формуле
|
| (9.132) |
где fОТВ - суммарное сечение отверстий, м2.
В паровых котлах, парогенераторах, испарителях и подобных элементах применяются погруженные дырчатые листы с диаметром отверстий 8…12 мм и более,так как в пароводяной смеси может находится шлам(взвеси,чешуйки оксидов железа с внутренних поверхностей труб),и он будет забивать мелкие отверстия.
С увеличением диаметра отверстий паровая подушка под дарчатым листом образуется при более высоком расходе паровой фазы. В этом случае через отверстия листа будет проходить пар в виде сплошного потока. При барботировании струя пара разбивается на отдельные пузырьки.
Для того чтобы пар не обходил по бокам дырчатый лист, выполняется отбортовка (рис. 9.55).

При дальнейшем увеличении расхода пара (при скорости пара wМАКС) отдельные струи пара могут сливаться вблизи дырчатого листа, образуя над ним сплошной паровой слой, отделяющий дырчатый лист от вышележащей жидкости. Это явление называется кризисом барботажа.
После выхода из отверстий дырчатого листа пар барботирует через слой жидкости. Слой пароводяной смеси, в котором происходит барботаж пара, называется динамическим двухфазным слоем.
На рис.9.56 показано изменение истинного паросодержания по высоте барабана. На выходе из пароотводящих труб истинное паросодержание равно паросодержанию пароводяной смеси φПВС после испарительной поверхности, затем из - за смешания с водой в барабане уменьшается. В паровой подушке φПОД = 1. На выходе из отверстий дырчатого листа паросодержание равно относительной площади сечения отверстий φДЛ.

В динамическом двухфазном слое по высоте можно выделить три зоны.
В первой зоне, высотой Н1 = 30…40 мм над дырчатым листом, движение пузырей происходит под действием нивелирного напора, создаваемого под листом, и подъемной силы. На этом участке происходит формирование устойчивых паровых пузырьков (объединение мелких и дробление крупных паровых струй), скорость паровой фазы уменьшается, паросодержание увеличивается.
Вторую зону называют зоной стабилизированных значений паросодержания, на этом участке паросодержание постоянно и равно φСТАББАРБ. В этой зоне высотой HII = HСТАБ паровые пузырьки движутся под действием подъемной силы - силы Архимеда.
Третья зона переходная (НIII = HП.З). При подходе к поверхностным слоям движение пузырей затормаживается действием силы поверхностного натяжения, вследствие чего φ = 1 (рис.9.56). Унос влаги составляет доли процента и на гидродинамику парового потока не влияет.
Физический уровень пароводяной смеси H'ФИЗ определяется от начала первого участка до середины переходной зоны. Вся высота динамического слоя НД.СЛ равна сумме высоты физического уровня Н'ФИЗ и половины высоты переходной зоны НП.З
|
| (9.133) |
Уровень воды в барабане определяется с помощью водомерного стекла, соединенного с паровым и водяным объемами барабана. В водомерном стекле в жидкой фазе нет паровых пузырьков, плотность воды близка к плотности ρ'.
Физическая высота двухфазного слоя в барабане H'ФИЗ больше, чем уровень столба жидкости (весовой уровень) в водомерном стекле H'ВЕС на ∆Н
|
| (9.134) |
При низких давлениях ρ'' << ρ', тогда
|
| (9.135) |
Истинное паросодержание φБАРБ зависит от скорости (расхода) пара, давления, концентрации и состава примеси воды. Обычно принимают не действительную скорость пара wП, а приведенную w"0 м/с, определяемую через расход пара GП, кг/с:
| w"0 = GП / (ρ"fБАР), | (9.136) |
где fБАР - горизонтальное сечение барабана или, в общем случае, барботера, м2.
Сечение барабана fБАР изменяется по высоте пароводяного объема, поэтому значение w"0 зависит не только от расхода среды, но и высоты. Принято рассчитывать w"0 по сечению барабана на границе между пароводяным и паровым объемами. Эту границу называют зеркалом испарения. Сечение барабана на зеркале испарения fЗ.ИСП. Тогда приведенная скорость пара w"0
|
| (9.137) |
Объемный расход пара GП / ρ'', отнесенный к площади зеркала испарения fЗ.ИСП = 1м2 называется объемной нагрузкой зеркала испарения Rsv, м3/(с·м2)
|
| (9.138) |
или Rsv, м3/(ч·м2)
| Rsv = 3600w"0. | (9.139) |
Аналогично определятся массовая нагрузка зеркала испарения Rsm, кг/(с·м2)
|
| (9.140) |
или Rsm, кг/(ч·м2)
| Rsm = 3600w"0ρ"0. | (9.141) |
Объемная и массовая нагрузки зеркала испарения Rsm и Rsv характеризуют интенсивность внутрибарабанных процессов. Например, для действующего котла известны его паропроизводительность D, кг/с (или т/ч), диаметр (внутренний) барабана dБ, м, и его длина lБ, м. Определяем массовую нагрузку зеркала испарения Rsm кг/(с·м2), считая, что зеркало испарения находится в середине (по высоте) барабана
| Rsm = D / dБlБ. | (9.142) |
По этой величине находим w"0 и другие характеристики двухфазного слоя.
При проектировании парового котла по заданной паропроизводительности D, кг/с, определяем геометрию барабана и погруженного дырчатого листа, задаемся величиной Rsm и Rsv , определяем сечение зеркала испарения fЗ.ИСП, по типовому диаметру барабана находим длину барабана. Наметив место вывода опускных и ввода пароотводящих труб контура циркуляции, находим размеры дырчатого листа. По Rsv находим расход пара через дырчатый лист. Диаметр отверстий в дырчатом листе 8…12 мм.
При расчете дырчатого листа два взаимосвязанных параметра неизвестны: скорость пара w0" и сечение отверстий. Скорость пара в дырчатом листе имеет два ограничения:
- для организации паровой подушки,
по возникновению явления кризиса барботажа; отсюда возникает условие

С увеличением приведенной скорости w"0 растет количество барботируемого пара, который движется в виде цепочки пузырей, а при дальнейшем увеличении w"0 сливается в паровые струи. Пар увлекает за собой часть воды, которая, поднявшись на определенную высоту, затем опускается, т.е. происходит циркуляция жидкой фазы. При малом расходе пара циркуляция жидкой фазы происходит в пределах небольшого участка стабилизации. С увеличением w"0 доля сечения, по которому проходит жидкая фаза (I - φБАРБ), уменьшается, высота зоны циркуляции непрерывной струи жидкости снижается, следовательно, высота НСТАБ падает. Структура поверхностного слоя разрушается - все большая часть жидкой фазы за счет скоростной энергии пара дробится на отдельные крупные и мелкие капли, образуется пароводяная эмульсия, возрастают размеры переходной зоны. Это явление называют набуханием уровня. Увеличение высоты переходной зоны приводит к росту общего уровня динамического двухфазного слоя и, соответственно, к снижению высоты парового пространства.
Паропромывочные устройства с точки зрения гидродинамики представляют собой барботажные системы (химические процессы - см. гл.12), выполняются двух типов: погруженного, когда паропромывочный дырчатый лист находится в объеме жидкой фазы (рис.9.57а), и подвешенного, находящегося в паровом объеме, над зеркалом испарения (рис. 9.57б).

На паропромывочное устройство подается питательная вода (в парогенераторах и барабанах паровых котлов), которая растекается по дырчатому листу, образуя слой воды высотой НВЕС, и сливается по периферии листа. Толщина слоя промывочной воды определяется высотой бортиков НБОРТ .Пар направляется с помощью отбортовок (щек) под промывочный лист, проходит через отверстия, барботирует через слой промывочной воды и уходит на паросепарационные устройства. Проходящий через отверстия листа пар препятствует протеканию через них жидкости. Скорость пара в отверстиях дырчатого листа должна быть выбрана такой, чтобы жидкость удерживалась на промывочном листе и сливалась только по периферии листа или по специальным сливным линиям - такой режим называется беспровальным.
Высота бортиков НБОРТ составляет 40…60 мм (эту высоту называют также высотой перелива НПЕР). Действительный уровень HВЕС превосходит уровень перелива на 5…10 мм, т.е.
HВЕС = HПЕР + (5…10)мм.
При дроблении жидкости на капли, при возмущении зеркала испарения пароводяной струей или при выходе парового пузыря из водяного объема в паровой происходит унос влаги паром.
В современных барабанах устанавливаются системы гашения кинетической энергии струй воды и пароводяной смеси, поступающих в барабан, и равномерной раздачи по сечению барабана. В этих условиях определяющим генератором капель воды в паровой объем является разрыв пузырей пара (рис.9.58).

Всплывающий пузырь пара подвержен воздействию силы внутреннего давления, стремящегося разорвать жидкую пленку вокруг пузыря, и силы поверхностного натяжения этой пленки.
В начальный момент выхода пузыря из объема жидкости (рис.9.58в) вода с пленки стекает, пленка утоняется и разрывается (рис.9.58г). Пар выходит через образовавшееся отверстие, разрушает верхнюю часть пленки и превращает ее в мелкие капли воды. Остатки жидкой пленки опускаются вниз, заполняют образовавшуюся после выхода пара лунку в воде. Соударение движущихся потоков воды в центре лунки приводит к выбросу крупных капель воды в паровой объем (рис. 9.58д).
На каплю воды диаметром dК в паровом пространстве действуют две силы:
сила Архимеда (направленная вниз)
|
| (9.143a) |
сила динамического напора пара (направленная вверх)
|
| (9.143б) |
где ξ - коэффициент сопротивления.
При равенстве этих сил капля воды будет витать в потоке пара. Скорость пара, при которой наблюдается витание, называют скоростью витания, ее можно определить из равенства FA = FД :
|
| (9.144) |
Скорость витания wВИТ зависит от давления и диаметра капель: при р = 10 МПа и dК = 1 мм, wВИТ = 0,6 м/с; dК = 0,2 мм, wВИТ = 0,15 м/с; dК = 0,1 мм, wВИТ = 0,07 м/с. Для dК = 0,1 мм и р = 1 МПа, wВИТ =0,25 м/с. С увеличением давления скорость витания уменьшается, т.е. при равной скорости пара унос капель увеличивается.
Капли диаметром dК, для которых скорость витания меньше скорости пара w"0 уносятся потоком пара; капли с wВИТ > w"0 оседают в водяной объем. Скорость оседания капель воды
wос = wВИТ - w"0.
Унос влаги паром характеризуется его влажностью ω, %, которая определяется как отношение массы водяных капель mВ к массе влажного пара
|
| (9.145) |
где mП - масса паровой фазы.
Таким образом, влажность пара определяется забросом капель воды в пароотводящие трубы и уносом капель потоком пара. При малых высотах парового пространства основную роль играет прямой заброс водяных капель, а при больших высотах - унос влаги. Поэтому ω сильно зависит от высоты парового пространства (рис.9.59), особенно до высоты 0,8…1 м.

Зависимость влажности пара от его скорости w"0 сложная и имеет вид
| ω = С(w"0)n. | (9.146) |
Это связано с распределением капель воды по размерам по скорости их витания (рис. 9.60а).

При малой скорости пара, условно - до w1 (рис. 9.60б), показатель степени n < 2; с увеличением скорости пара уносятся паром все более крупные капли, показатель степени увеличивается до 4…5; при скорости пара w"0 приближающейся к wВИТСР (рис. 9.60), резко возрастают количество и масса унесенных капель воды, влажность возрастает с показателем степени n > 5…6.
В диапазоне скорости пара w0" и влажности пара ω = 0,01 - 0,1%, в котором работают промышленные агрегаты, расчет влажности можно вести по формуле
|
| (9.147) |
Коэффициент С зависит от давления и характеризует физические свойства пара и жидкости (рис.9.61). С увеличением давления коэффициент поверхностного натяжения s снижается, соответственно уменьшается размер капель воды, скорость витания падает, а количество капель увеличивается. Кроме того, увеличивается несущая способность пара за счет роста его плотности. Поэтому при изменении давления от 10 до 16 МПа коэффициент С и влажность пара о изменяются в 5 раз. Отсюда вытекает необходимость снижения приведенной скорости пара у зеркала испарения (нагрузки зеркала испарения) при проектировании парового котла на более высокое давление (рис.9.62), что вызывает увеличение размеров барабана. Второй путь снижения влажности пара - использование сепарационных установок внутри барабана.


Влияние примесей на динамический двухфазный слой и унос влаги определяется наличием в котловой воде (воде барабана и контура циркуляции) поверхностно-активных веществ. Эти вещества концентрируются в жидкой пленке вокруг парового пузыря, увеличивают силы поверхностного натяжения.
При температурах 300…360°С (давление свыше 9 МПа) основную роль в образовании адсорбционных структур в жидкой пленке играют неорганические вещества - продукты коррозии конструкционных материалов, в первую очередь оксиды железа.
Коллоидно-дисперсные частицы гидратов оксидов железа имеют вытянутую форму и при коагуляции образуют пространственную структуру. При низкой концентрации электролитов эти структуры непрочные, распадаются под влиянием других примесей и турбулизации потока. В этом случае поверхностное натяжение s изменяется незначительно, процессы барботажа пара и уноса его практически не претерпевают изменений.
При концентрациях электролитов выше критических СКР происходит упрочнение структуры, в жидкой пленке (поверхностном слое) частицы гидратированных оксидов железа образуют упорядоченную структуру в виде сетки, повышающую вязкость и прочность пленки; поверхностное натяжение резко возрастает.
Упрочнение жидкой пленки, повышение s приводит к тому,что при выходе из погруженного дырчатого листа образуются мелкие пузырьки пара, количество их возрастает. Все это приводит к изменению (увеличению) паросодержания φБАРБ на стабилизированном участке двухфазного слоя (рис.9.63). При низких концентрациях электролитов в котловой воде СК.В, мг/кг, паросодержание φБАРБ не изменяется по сравнению с чистой водой: при концентрации выше критического значения СКР начинается набухание двухфазного слоя, φБАРБ увеличивается. При дальнейшем повышении концентрации СК.В, значения φ стабилизируются на новом, более высоком значении (примерно в 2 раза выше).

Разрушение жидкой пленки вокруг парового пузырька из-за повышения s происходит при меньшей толщине пленки. Замедленное разрушение пузырей пара приводит к их скоплению в переходной зоне двухфазного слоя, в верхней части этой зоны образуется высокодисперсная пароводяная эмульсия (пена), состоящая из паровых пузырей, окруженных тонкой пленкой воды. Доля пара в ней превышает 90…95%. Такое явление называют вспениванием уровня.
На рис.9.64 показано увеличение действительного уровня двухфазного слоя в зависимости от СК.В w0". На рисунке видно, что увеличение уровня достигает 200…300 мм.

С увеличением давления в барабане котла СКР снижается, т.е. процессы набухания и вспенивания начинаются при более низких концентрациях, следовательно, для их предотвращения требуется более чистая вода.
При разрыве более мелких паровых пузырей с тонкой жидкой пленкой образуется большое количество мелких капель воды, их доля возрастает в потоке капель влаги.
Оба процесса, имеющие место при высокой концентрации примеси (СК.В > СКР), уменьшение высоты парового пространства и увеличение доли мелких капель воды - приводят к резкому возрастанию уноса влаги паром.
Люди также интересуются этой лекцией: Газетная периодика XVIII - нач. XX вв.
На рис.9.65,а показана зависимость влажности пара ω от концентрации примеси в воде. Видно, что при СК.В > СКР влажность сильно возрастает. На рис.9.65,б приведен график изменения концентрации примеси в насыщенном паре CnУН, поступающей в него с уносимой влагой, ( ω - в %)
CПУН = 0,01СК.Вω
При ω = const концентрация примесей CnУН пропорциональна СК.В, а при СК.В > СКР зависит и от ω. Из графиков рис.9.65 можно определить по предельно допустимой концентрации (CУНn)ПР допустимые значения (СК.В)ПР и ω ПР. Способы воздействия на СП и СК.В рассмотрены в гл.11 и 12. Выполнить условие w ≤ wДОП можно за счет ограничения нагрузки на зеркало испарения (Rsv или Rsm).
На рис.9.66 показано, что при СК.В < СКР нагрузку на зеркало испарения можно поддерживать на высоком уровне, при этом ω = ωПР .

При С > СК.В для выдерживания условия ω = ωПР нагрузку приходится снижать, при (СК.В)ПР получаем значение (Rsm)ПР , обеспечивающее предельно допустимый режим по (CnУН)ПР. Кривая на рис.9.66 разделяет плотность Rsm - CК.В на две части, в которых ω меньше или больше ωПР. Влажность пара, уходящего из барабана, можно уменьшить по сравнению с уносом влаги путем организации сепарационных устройств.




















(9.23)


























































































































