Котельные установки и парогенераторы
Котельные установки и парогенераторы, часть 2.
Содержание
8. Характеристики и виды движения водного теплоносителя в паровых котлах
9. Гидродинамика водного теплоносителя в паровых котлах
10. Температурный режим поверхностей нагрева паровых котлов
11. Физико-химические процессы в пароводяном тракте парового котла
12. Водно-химические режимы паровых котлов
8.Характеристики и виды движения водного теплоносителя в паровых котлах
8.1.Водный теплоноситель в паровых котлах и его физико-химические характеристики
В паровых котлах тепловых электростанций химическая энергия топлива преобразуется в тепловую энергию продуктов сгорания топлива (дымовых газов), что ведет к повышению их энтальпии и температуры. Затем в результате теплообмена тепловая энергия от дымовых газов передается воде, движущейся в поверхностях нагрева котла. Температура дымовых газов при этом снижается и дымовые газы выбрасываются через систему газоочистки в атмосферу.
Энтальпия и температура воды за счет полученной тепловой энергии повышаются, вода из жидкой фазы переходит в паровую, пар нагревается до заданной температуры. Перегретый пар направляется в турбину, где тепловая энергия пара превращается в механическую энергию вращения ротора трубины и электрического генератора.В электрогенераторе механическая энергия превращается в электрическую.
Движущаяся газовая или жидкая среда, обладающая высокой энтальпией и температурой, используемая для переноса и преобразования тепловой энергии, называется теплоносителем. На паротурбинной электростанции используются два теплоносителя: первичный- продукты сгорания топлива (дымовые газы); вторичный- вода, насыщенный пар, перегретый пар (водный теплоноситель).
Обычная вода является широко распространенным теплоносителем, дешева, хорошо изучена как рабочее тело, обладает высокими значениями плотности, теплоемкости, теплопроводности, вязкости, что способствует получению высоких коэффициентов теплообмена. К недостаткам воды как теплоносителя следует отнести слабую зависимость энтальпии пара от давления, из-за этого для повышения КПД термодинамического цикла необходимо высокое и сверхкритическое давление воды, что значительно удорожает все оборудование, по которому движется водный теплоноситель.
Вода-коррозионно-активная жидкость, и возникающая коррозия оборудования снижает его надежность. Примеси водного теплоносителя, в том числе и продукты коррозии, откладываясь внутри обогреваемых труб, в проточной части турбины и на другом оборудовании блока, снижают надежность и экономичность работы электростанции. Уменьшить концентрацию примесей в водном теплоносителе можно путем организации водно-химических режимов блоков.
Принципиальная схема движения водного теплоносителя в контуре энергетического блока ТЭС на сверхкритические параметры пара представлена на рис. 8.1.

Конденсат отработавшего в турбине пара из конденсатора 1 подается насосами 2 и 4 в систему из подогревателей 5, 6 и 7, затем - в деаэратор 8, где происходит частичное удаление из воды газообразных примесей (кислород, углекислый газ, азот и т.д.). Из деаэратора питательная вода насосами 9 и 7 направляется в группу подогревателей высокого давления 12 и через регулятор питания подается в паровой котел 13.
Рекомендуемые материалы
В паровом котле вода проходит через экономайзер 14, поверхности нагрева в топке 15 - 17, пакеты пароперегревателя 19, 20. Затем перегретый пар (545 - 565°С) направляется в паровую турбину и, пройдя в турбине части сверхвысокого 23 и высокого 24 давления, поступает в промежуточный пароперегреватель 28 парового котла, где вновь нагревается до 545 - 565°С, и возвращается в турбину (часть среднего давления 25, часть низкого давления 26).
В конденсаторе происходит конденсация пара, отвод теплоты при этом осуществляется охлаждающей водой 32. Встроенная задвижка 18, встроенный сепаратор 29 и растопочный расширитель 30 используются при пуске и останове парового котла.
Теплообмен в паровом котле происходит в условиях высокой температуры (дымовые газы до 1500 - 1800°С, водный теплоноситель до 545 - 565°С) и давления воды (до 30 МПа). Удельные тепловые потоки при этом достигают высоких значений (до 500 - 800 кВт/м2). Металл труб поверхностей нагрева работает в этих условиях с малым запасом по прочности.
Надежность работы металла поверхностей нагрева зависит также от таких процессов, как окалинообразование, коррозия, износ и занос летучей золой с газовой стороны, коррозия и отложение примесей на внутренней водной стороне.
Интенсивность коррозии и образования отложений на внутренней стороне труб парового котла зависит от состава примесей воды и их количества, т.е. от качества воды. Нормы качества питательной воды паровых котлов жестко ограничивают состав и количество примесей.
На рис. 8.1 показано, что конденсат после конденсатора поступает в блочную очистительную установку 3, где улавливается большинство примесей. Конденсат пара из подогревателей также подается в конденсатор и проходит через блочную обессоливающую установку (БОУ). Профилактически проводится коррекция состава примесей конденсата и питательной воды путем ввода химикатов.
Для каждого энергетического блока в зависимости от типа парового котла, параметров пара выбирается свой оптимальный водно - химический режим.
На тепловых электростанциях организуется замкнутый цикл движения водного теплоносителя, а потери воды и пара восполняются за счет подачи химически обессоленной добавочной воды 31.
На тепловых электростанциях кроме основного пароводяного контура 7 - 31 существуют два контура, по которым циркулирует большая масса воды - система теплоснабжения 33 - 39 и система воды 32, 40 - а43, охлаждающей пар в конденсаторе.
Из замкнутой системы теплоснабжения на ТЭС поступает обратная сетевая вода 33, которая нагревается в основном сетевом подогревателе 34 и, при необходимости, в пиковом сетевом подогревателе 35. После этого горячая сетевая вода 36 поступает тепловым потребителям 37. Греющий пар на сетевые подогреватели поступает из отборов турбины, а конденсат 38 направляется в конденсатор турбины.
В закрытой системе теплоснабжения в качестве добавочной сетевой воды 39 допускается применение технической воды, прошедшей химическую обработку, и деаэрированной. Присадка гидразина в подпиточную и сетевую воду запрещается. Не рекомендуется использование для подпитки сетевой воды продувочной и дренажной воды паровых котлов. В открытые системы теплоснабжения подается питьевая вода из водопровода без дополнительной химической обработки.
На ТЭС расходуется большое количество охлаждающей воды. Так, для охлаждения и конденсации пара в конденсаторе турбины К-300-240 блока мощностью 300 МВт необходимо около 12 м3/с воды из ближайшего водного бассейна (озера, водохранилища и т.п.). Примерно 10% этого количества воды требуется для охлаждения масла и воздуха, восполнения потерь в водоподаю-щих системах.
На рис. 8.1 представлена прямоточная система охлаждения. Вода из крупного источника водоснабжения 40 (река, водоем с большим зеркалом испарения) поступает в приемный колодец 41, откуда циркуляционным насосом 42 подается в конденсатор 1 и через колодец 43 с более высокой температурой сбрасывается обратно в водоем 40.
Для того чтобы не нарушить экологическую обстановку в водоеме, тепловые сбросы не должны приводить к повышению температуры водоема более чем на 5°С в зимнее и на 3°С в летнее время.
Количество и состав примесей должно быть таким, чтобы не происходило отложения примесей в трубах конденсатора и других охладителей. Для этого в оборотных системах охлаждения применяется обработка воды реагентами (подкисление, декарбонизация, фосфатирование), организуется продувка системы. Для предотвращения биологических отложений в обоих видах охлаждающих систем применяется обработка воды сильными окислителями (газообразный хлор, его производные).
В качестве источников водоснабжения ТЭС используются поверхностные (из рек, озер, прудов) или подземные (из артезианских скважин) природные воды. В этих водах содержатся разнообразные примеси естественного происхождения, в них попадают также загрязнения с бытовыми и промышленными стоками.
Для оценки качества воды применяются различные показатели, некоторые из них рассмотрены ниже.
Характеристика примесей воды
В зависимости от размера частиц все примеси разделяются на три группы:
-истинно растворенные примеси находятся в воде в виде ионов, отдельных молекул, комплексов или групп молекул. Размер этих частиц менее 10-6 мм (10~3 мкм). В истинно растворенном состоянии в воде находятся газы O2 ,CO2 , H2S, N2, катионы и анионы солей Са+2, Mg+2, N+ ,K+ ,SO42- , HCO3- ,C1-, N03-, N02-.
-коллоидно-растворенные примеси образованы большим числом молекул и имеют размеры частиц 103-10-3 мкм. Эти примеси могут быть как органического (гуминовые вещества, вымываемые из почвы), так и минерального (кремниевые кислоты, соединения железа) происхождения.
-грубодисперсные примеси с размером частиц более 10-4 мм (103 мкм). Это растительные остатки, частицы песка, глины и т.д. Концентрация грубо дисперсных веществ в воде определяется путем фильтрования воды через бумажный фильтр.
Солесодержание - суммарная концентрация в воде катионов и анионов, за исключением ионов H+ и OH-, мг/кг. Косвенно о солесодержании можно судить по сухому остатку.
Сухой остаток, мг/кг, определяют путем выпаривания определенного объема воды (после фильтрования) и последующего просушивания остатка при температуре 110-120°С.
Окисляемость характеризует содержание в воде органических веществ, определяется по количеству окислителя, расходуемого на их окисление. В качестве окислителя обычно используется перманганат калия КMnO4 (перманганатная окисляе-мость), мг/кгО2.
Общая жесткость - суммарная концентрация в воде катионов кальция и магния, мг-экв/кг.
Общая щелочность - суммарная концентрация в воде растворенных гидроксидов и анионов слабых кислот HCO3- и CO32- за вычетом концентрации ионов водорода, мг-экв/кг.
Пересчет концентрации веществ СН, измеряемой в мг-экв/кг (мкг-экв/кг), на концентрацию СМ, мг/кг, производится по формуле
СМ =С Н Э,
где Э - эквивалентная масса, равная молекулярной массе вещества, поделенной на валентность.
Для кальция эквивалентная масса 20,04 мг/мг-экв, для магния 12,16 мг/мг-экв (мкг/мгк-экв).
Водородный показатель рН представляет собой отрицательный логарифм концентрации водород-ных ионов (рН = -lg СН) в воде. Химически чистая вода является очень слабым электролитом, для нее покзатель рН при комнатной температуре равен 7, т.е. только одна из десяти миллионов молекул диссоциирует на ионы Н+ и ОН-.
При наличии примесей в воде реакция раствора может быть кислой (рН = 1-3), слабокислой (рН = 4-6), нейтральной (рН = 7), слабощелочной (рН = 8-10), щелочной (рН=11-14).
Для характеристики и контроля воды и конденсатов с малым солесодержанием при отсутствии растворенных газов СО2 и NH3 используется показатель -удельная электропроводимость воды.
Удельная электропроводимость воды, См/см (сименс на сантиметр), характеризуется электрической проводимостью слоя воды, находящегося между
двумя противоположными гранями куба с ребром 1 см, связана с суммарной концентрацией примеси в истинно растворенном состоянии. Электропроводимость чистой воды при 20° С составляет 0,04 мкСм/см.
Очистка природной воды на ТЭС
Природные воды, используемые для подпитки тепловых сетей, основного пароводяного тракта и других технических целей на ТЭС, требуют сложной очистки на водоподготовительной установке (ВПУ). Предварительная очистка (пред очистка) предназначена для выделения из воды грубодисперсных и коллоидных веществ, снижения щелочности воды. На дальнейших этапах производится очистка воды от истинно растворенных примесей. Для этого используются ионный обмен, термические методы (испарители) и др.
Предочистка проводится (рис. 8.1) в фильтрах грубой очистки 44, осветителях 45, механических фильтрах 46. В осветлителе совмещены два процесса: коагуляция и известкование. Для коагуляции используются глинозем (сернокислый алюминий), сернокислое железо, хлорное железо и т.д.
В результате реакций в объеме воды появляется хлопьевидная крупная взвесь. Известкование воды производится раствором извести или известковым молоком. При этом происходит снижение щелочности, снижение солесодержания воды, декарбонизация. В осветлителях, таким образом, в значительной степени удаляются взвешенные и органические вещества, соединения кремния и железа. Твердая фаза удаляется из осветлителя, вода подается на механические фильтры, в которых улавливаются взвешенные примеси.
Сущность ионного обмена заключается в использовании способности некоторых специальных материалов (ионитов) изменять в желаемом направлении ионный состав примесей воды. Ионно-обменные материалы, способные к обмену катионами, называются катионитами и используются при обработке воды в исходном Na-, H- и NH4-формах; аниониты, способные к обмену анионами, используются в ОН-форме и реже в Cl-форме.
Набор ионно-обменных фильтров определяется требуемым качеством добавочной воды. Для примера на рис. 8.1 показана схема подготовки воды для подпитки системы теплоснабжения. После предочистки установлены последовательно два Na-катионитных фильтра 47, 48. Затем умягченная вода подается в деаэратор 49, где удаляются кислород и углекислота. В деаэратор подается из отборов турбины греющий пар 50.
По аналогичной схеме возможна подготовка воды для испарителей 52. Испарители поверхностного типа применяются на ТЭС для получения вторичного пара из химически обработанной воды. Этот пар конденсируется в охладителе 53, и конденсат 55 подается в бак чистой воды. По своему качеству дистиллят пригоден для использования в качестве добавочной воды для любых современных паровых котлов.
В последние годы испарители широко используются для утилизации различного вида сбросных вод. Вода продувки барабанных котлов, дренажей, сбросные воды из химического цеха продаются по трубопроводу 51 в деаэратор 49, а затем-в испаритель 52. Продувочная вода испарителя с высокой концентрацией примеси охлаждается и направляется в доупаривающую установку 54. Выделенные при этом соли используются в промышленности или сбрасываются в специальные хранилища.
Учитывая высокие требования к качеству питательной воды для котлов сверхкритического давления, добавочная вода в основной пароводяной тракт блока СКД проходит химическое обессоливание. После предочистки вода проходит две ступени Н-катионитных фильтров 56, 58 и первую ступень анионитного фильтра 57, затем поступает в декарбонизатор 59, где происходит удаление свободной углекислоты. После декарбонизатора вода подается во вторую ступень анионитного фильтра 64 и в фильтр смешанного действия 65. Добавочная вода 31 направляется в конденсатор 1 паровой турбины, где проходит дополнительную деаэрацию.
В энергоблоках с прямоточными котлами СКД для очистки конденсата от солей и кремнекислоты, поступающих с присосами охлаждающей воды в конденсаторе турбины, и продуктов коррозии оборудования используется блочная обессоливающая установка (БОУ) 3, через которую пропускается непрерывно весь конденсат. Установка включает в себя механические фильтры для улавливания продуктов коррозии и других взвешенных примесей и фильтр смешанного действия для обессоливания турбинного конденсата. В фильтре осуществляется процесс совместного Н-ОН-ионирования воды.
Для ТЭС с барабанными котлами высокого и сверхвысокого давления в качестве добавочной используется химически очищенная вода после двух ступеней Н-ОН-ионирования.
Теплофизические свойства водного теплоносителя
На рис. 8.2a показана зависимость давления от удельного объема водного теплоносителя и температуры. При постоянной температуре удельный объем с ростом давления уменьшается, причем при докритической температуре имеется область двухфазного (пароводяного) состояния, заключенная между кривыми v' (объем воды на линии насыщения) и v" (объем пара на линии насыщения). При сверхкритической температуре водный теплоноситель считается однофазной средой, хотя переход от состояния воды к пару происходит постепенно, а не скачкообразно.
Параметры критического состояния воды:
давление рКР=2,2115·107 Па=22,115 МПа; температура tКР = 374,12°С;
удельный объем VКР = 0,003147 м3/кг; удельная энтальпия hКР=2095,2 кДж/кг.
Изотермы на рис. 8.2a проведены для температур, характерных для перегретого пара (440, 510, 540, 570°С) паровых котлов. Горизонтальные линии соответствуют характерным для энергетики давлениям воды и пара, применяемым в паровых котлах.
Зависимость удельной теплоемкости сР, кДж/(кг·К), от температуры показана удельного объема v и плотности r от температуры, характеризующие состояние теплоносителя на (рис. 8.2б) (при постоянном давлении). При докритическом давлении теплоемкость воды и пара ограничена своими значениями на линии насыщения (сР' и сР" соответственно). При сверхкритическом давлении теплоемкость имеет максимальное значение при температуре, которая называется температурой максимальной теплоемкости tМТ или псевдокритической температурой.

Условно на диаграмме сР - t рис. 8.2б) выделяют по ординате t при сверхкритическом давлении диапазон температур - зону большой теплоемкости (ЗБТ).
Зона большой теплоемкости соответствует диапазону температур, при которых сР > 8 кДж/(кг·К). Диапазон температур до зоны большой теплоемкости условно называют областью состояния жидкости, после зоны - областью состояния пара (рис. 8.2б), (рис. 8.2 в).

При проведении различных расчетов необходимо знать зависимости удельной энтальпии h, удельного объема v и плотности r от температуры, характеризующие состояние теплоносителя (рис. 8.2б), (рис. 8.2 в).
8.2 Общие уравнения движения жидкости в трубах
8.2.1.Уравнения неразрывности, движения, энергии и состояния жидкости
Рассмотрим движение жидкости в обогреваемой трубе диаметром d (рис. 8.3). Считаем жидкость химически однородной, т.е. в ней нет примесей других веществ. Для описания состояния потока жидкости необходимо определить поля температуры Т, давления р и скорости W
Т = Т (x, y, z, t);
p = p (x, y, z, t);(8.1)
W = W (x, y, z, t),
где х, у, z - координаты; t - время.
Зная поля температуры, давления и скорости, можно рассчитать характеристики теплообмена и гидродинамики (тепловой поток, гидравлическое сопротивление и т.д.).
Поля температуры, давления и скорости называются стационарными, если T, р и W не изменяются во времени, или нестационарными, если зависят от времени.
Для определения Т, р и W используются уравнения неразрывности, движения и энергии. Эти уравнения получены из основных законов физики - закона сохранения массы, закона сохранения количества движения и закона сохранения энергии - с учетом специфических законов, характеризующих движение вязкой теплопроводной жидкости.
Запишем уравнения неразрывности, движения и энергии для одномерного потока (по оси z).
Уравнение неразрывности:

где ρ - плотность жидкости, зависящая от Т и р.
При стационарном движении ∂ρ/∂τ = 0 и уравнение неразрывности примет вид


Таким образом, для установившегося движения при постоянном сечении трубы f, м2, и отсутствии притока (или оттока) жидкости получаем
ρw = const, (8.4)
т.е. массовая скорость потока ρw, кг/(м2·с), в указанных условиях есть величина постоянная.
Расход массы жидкости через трубу G, кг/с,
G = ρwf. (8.5)
Уравнение движения. Выделим из потока жидкости в трубе (рис. 8.3) двумя сечениями I и II, расположенными на расстоянии dz, элементарный объем движущейся жидкости dV = fdz. Применяя к нему теорему о количестве движения (изменение количества движения материальной системы равно сумме приложенных к системе внешних сил), запишем
(8.6)
Для стационарного потока изменение количества движения dK массы жидкости, проходящей через сечение трубы l
(8.7)
где a' - коэффициент, учитывающий неравномерность распределения скоростей по сечению трубы. Для развитого турбулентного потока а' ≈ 1.

Внешними силами, приложенными к объему dV , являются силы давления потока, силы вязкостного сопротивления, силы земного притяжения. Изменение этих сил на элементе dz в проекции на ось z:
изменение силы давления
(8.8)
изменение сил вязкостного сопротивления (сил трения, сил гидравлического сопротивления) dFГИДР определяется касательным напряжением sСТ у стенки по экспериментальным данным
sСТ = λρw2/8,
где λ - коэффициент сопротивления трения.

C учетом этого
(8.9)
изменение сил земного притяжения (нивелирная составляющая)
(8.10)
где α - угол между горизонталью и осью z (рис. 8.3).
Приравняв (8.7) к сумме (8.8), (8.9) и (8.10) и поделив обе части выражения на dz и , получим
(8.11)
Уравнение (8.11) можно представить в виде дифференциального уравнения
(8.12)
Интегрируя уравнение (8.12) с учетом (8.4), получаем формулу для расчета перепада давления на длине трубы

где ρСР (аналогично wСР) - среднеинтегральное значение плотности (скорости); w1, w2 - значения скорости в начале и конце участка трубы.
Выражение (8.13) обычно записывается в общем виде

где Δpтр - сопротивление трения,

Δpм- местное сопротивление (сопротивление входа в трубу и выхода из нее, шайб, поворотов и т.п.),
|
| (8.14б) |
где ξМ - коэффициент местного сопротивления; ΔpУСК - сопротивление ускорения,
| ΔpУСК = ρw(w2 - w1); | (8.14в) |
ΔpНИВ - нивелирное сопротивление,
| ΔpНИВ = glρСРsinα; | (8.14г) |
для вертикальной трубы при подъемном движении среды sin α = 1, при опускном движении sin α = -1
Уравнение энергии.
К потоку жидкости на участке dz подводится теплота QВН в количестве
|
| (8.15) |
где qВН - плотность внутреннего теплового потока, кВт/м2; ПВН внутренний периметр трубы, м; α2- коэффициент теплоотдачи от стенки к потоку жидкости; tВН - температура металла на внутренней поверхности стенки, °С; t - средняя температура жидкости, °С.
Периметр трубы можно выразить через внутренний диаметр dВН, м, трубы
ПВН = πdВН.
В (8.15) использовано уравнение теплоотдачи в виде
| qВН = α2(tВН - t). | (8.16) |
Количество теплоты, переносимой потоком жидкости, изменится на отрезке трубы длиной l
∂(ρh) /∂ l = 0
где h - энтальпия жидкости, кДж/кг.
Для установившегося потока уравнение (8.15) перепишем в другом виде
|
| (8.17) |
Учитывая, что для установившегося потока ∂(ρh)/∂τ = 0, получаем из (8.15) и (8.17)
|
| (8.18) |
или
|
| (8.19) |
При qВН = const на участке трубы длиной dz изменение энтальпии потока жидкости
|
| (8.20) |
Обычно при расчете теплообмена в поверхностях нагрева парового котла задается (рассчитывается) тепловой поток с наружной поверхности трубы qН. Определение внутреннего теплового потока qВН с учетом аккумуляции теплоты в металле трубы определяется по формуле
|
| (8.21) |
где ПН = πdН - наружный периметр трубы, м; dН - наружный диаметр трубы, м; сМ - теплоемкость металла трубы, кДж/(кг·К);ρМ- плотность металла, кг/м3; fМ - площадь поперечного сечения трубы по металлу, м2; tМ - средняя температура металла (по толщине стенки) трубы в данном сечении, °С.
В (8.21) произведение
|
| (8.22) |
При стационарном режиме ∂tм/∂τ = 0
|
| (8.23) |
т.е. плотность теплового потока на внутренней поверхности трубы больше, чем на наружной поверхности в соотношении наружного и внутреннего диаметров b = dН/ dВН .
Уравнения состояния. При решении уравнений неразрывности, движения и энергии необходимо знать такие физические параметры жидкости, как плотность ρ, теплоемкость ср, вязкость μ, теплопроводность λ и др.
Параметры ρ, cp, μ, λ в общем случае зависят от температуры и давления. Эти зависимости выражают уравнения состояния, которые могут быть представлены в табличном, графическом виде или в виде формул. Для реальных жидкостей уравнения состояния основываются на экспериментальных данных.
При выводе уравнений неразрывности, движения и энергии не учитываются конкретные условия, в которых осуществляются движение жидкости и процесс теплообмена. Для решения задач о движении жидкости и теплообмене к основным уравнениям необходимо присоединить ряд условий, конкретизирующих задачу. Начальные условия состоят в задании полей скорости, температуры и давления во всем объеме рассматриваемой области (в том числе и на ее границах) в начальный момент времени. Начальные условия не задаются, если рассматривается стационарная задача. Граничные условия сводятся к заданию геометрической формы области и условий движения жидкости и теплообмена на ее границах.
Совокупность основных уравнений, уравнений состояния, начальных и граничных условий составляет замкнутую систему математического описания процесса движения жидкости и конвективного теплообмена в обогреваемых трубах.
8.2.2.Уравнение движения однофазного потока в трубах
Движение однофазного потока (жидкость или пар при докритическом давлении, теплоноситель при сверхкритическом давлении) описывается уравнениями неразрывности (8.2), (8.3), движения (8.11), (8.12), (8.14), энергии (8.17), (8.19), (8.20), состояния, а также заданными начальными и граничными условиями.
Для использования уравнений состояния, показывающих зависимость ρ, v, cp, µ и других параметров воды от температуры и давления потока, необходимо знать структуру потока, распределение температуры, давления и скорости потока по длине и сечению трубы. При проведении тепловых и гидравлических расчетов принимается, что давление в потоке по сечению постоянно, т.е. изменяется только по длине трубы.
Структура однофазного потока жидкости характеризуется непрерывным гладким изменением плотности ее по сечению и длине трубы, а также во времени. При этом поля температуры и скорости потока тоже непрерывны в пространстве и времени (рис. 8.4). В любой момент времени отдельная частица движущейся жидкости имеет определенную по величине и направлению скорость.

В одномерном приближении описания движения жидкости в трубе (по оси трубы) принимается, что температура и скорость потока постоянны по радиусу трубы (в ее сечении) и переменны по ее длине. Следовательно, температура и скорость потока усредняются по сечению трубы. При этом характеристика жидкости и потока также принимаются постоянными по сечению потока Из уравнения неразрывности (8.5) по известному расходу массы жидкости G можно рассчитать массовую скорость потока:
| ρw = G / f. | (8.25) |
Массовая скорость постоянна по длине трубы при ее постоянном сечении. Зная в каком-либо сечении трубы плотность жидкости ρЖ, можно определить среднюю скорость wЖ в этом сечении
| wЖ = (ρw) / ρЖ. | (8.26) |
Для определения плотности жидкости ρЖ по уравнению состояния ρ = ρ(p, t) или ρ = ρ(p, h) необходимо рассчитать среднюю энтальпию потока hЖ в данном сечении по известной энтальпии hвх на входе в трубу или ее участок. При этом используется уравнение (8.21)
|
| (8.27) |
Давление pЖ в рассматриваемом сечении определяется по давлению на входе в трубу pвх и перепаду давления на участке Δp
pЖ = pвх - Δp.
Полученные pЖ, hЖ используются для определения в данном сечении v, cp, μ, λ и т.д.
При расчете перепада давления Δp на участке длиной l необходимо знать среднеинтегральные плотность ρСР и удельный объем vСР жидкости
|
| (8.28) |
Практически средние плотность и объем воды и пара при докритическом давлении и водного теплоносителя вне зоны большой теплоемкости при сверхкритическом давлении можно определять по средней энтальпии потока
hСР = (hН - hК) / 2 ,
где hН, hК - энтальпия потока в начале и конце участка, кДж/кг.
Средние плотность и объем в зоне большой теплоемкости (h = 1600-2600 кДж/кг) определяются по формулам
|
| (8.29а) |
|
| (8.29б) |
где ρН, ρК, vН, vК определяются по hК и hН.
8.2.3.Уравнение движения двухфазного потока в трубах
Для описания течения двухфазного потока (пароводяной смеси) используются две модели.
В модели гомогенного потока принимается, что обе фазы (жидкая и паровая) распределены равномерно и непрерывно одна в другой, при этом скорости их движения и температуры одинаковы. Другими словами, в гомогенном представлении движение двухфазного потока рассматривается как течение однородной сплошной среды. Полученные при этом параметры и характеристики потока называются расходными.
Вторая модель рассматривает двухфазный (гетерогенный) поток как систему из двух фаз, разделенных межфазными границами, движущихся с разными скоростями. Уравнения записываются отдельно для жидкой и паровой фазы. Начальные и граничные условия также записываются отдельно для фаз, при этом учитывается, что на границах раздела фаз имеют место механическое взаимодействие, массообмен и переток теплоты.
Параметры, характеризующие движение каждой из фаз в отдельности или поток в целом (с учетом движения отдельных фаз), называются истинными параметрами.
В инженерных расчетах за основу расчета двухфазных потоков принимается модель гомогенного потока, по которой определяются расходные параметры, а по ним рассчитываются истинные параметры с привлечением экспериментальных данных, устанавливающих зависимости между расходными и истинными параметрами двухфазного потока.
Соотношения между расходными и истинными параметрами двухфазного потока имеют сложный характер и зависят от структуры потока и распределения скоростей фаз.
Структура двухфазного потока показывает объемное содержание паровой и жидкой фазы, их границы, распределение по сечению трубы. По мере нагрева (охлаждения) потока массовые и объемные доли фаз изменяются, что сказывается на структуре потока и скоростях фаз. Предельными случаями являются однофазные потоки жидкости (масса пара равна нулю) и пара (жидкость отсутствует). Между этими крайними случаями можно выделить ряд устойчивых сочетаний структуры потока и скорости фаз, характеризуемых режимами течения двухфазных потоков. Каждому режиму течения можно соотнести свои зависимости между расходными и истинными параметрами двухфазного потока.
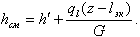
Рассмотрим участок обогреваемой трубы длиной l (рис. 8.5). Плотность теплового потока q1, кВт/м, постоянна по длине трубы. На вход в трубу подается вода с расходом G0, кг/с, и энтальпией h0, кДж/кг.

На экономайзерном участке lЭК происходит нагрев воды до температуры кипения ts (энтальпия воды на линии насыщения h). Давление потока р на рассматриваемом участке считаем постоянным (перепад давления мал). В гомогенном потоке фазы находятся в термодинамическом равновесии. При энтальпии потока h > h' начнется образование паровой фазы. Массовый расход паровой фазы обозначим D, кг/с, а расход жидкой фазы (воды) GВ, кг/с. В сечении z суммарный расход паровой и жидкой фаз G равен
G = D + GВ.
По уравнению неразрывности (условие сплошности)
G = G0 = const.
Суммарно количество теплоты, переносимое двухфазным потоком через сечение z
|
| (8.30) |
где h"- энтальпия пара на линии насыщения, кДж/кг; r - скрытая теплота парообразования, кДж/кг; hСМ- энтальпия пароводяной смеси.
Отсюда
|
| (8.31) |
Величина x представляет собой расходное массовое паросодержание и характеризует долю пара в массовом расходе смеси
| x = D / G. | (8.32) |
Тогда расходное массовое содержание жидкости будет равно
| 1 - x = GВ / G. | (8.33) |
Для равновесного двухфазного потока
|
| (8.34) |
Величину x называют относительной энтальпией потока. Для жидкости, недогретой до ts получается x < 0; для жидкости на линии насыщения x = 0, для пара на линии насыщения x = 1; для перегретого пара x > 1.
По уравнению энергии (8.21) в сечении z
|
| (8.35) |
При этом величина
|
| (8.36) |
Длину экономайзерного участка lЭК можно определить, записав для него уравнение энергии (в виде теплового баланса)
|
| (8.37) |
Отсюда
|
| (8.38) |
где Δhнед = h' - h0 - недогрев воды на входе в трубу до энтальпии кипения.
Подставляем lЭК в выражение для x (8.36)
|
| (8.39) |
или

Полученные формулы дают возможность в любом сечении трубы определить массовое паросодержание , массовый расход пара (xG0) и воды (1 - x)G0.
По массовым расходам пара и воды можно определить расходные скоростные характеристики двухфазного потока:
приведенные скорости жидкой и паровой фаз - скорости, которые имели бы жидкость и пар, если бы только жидкость или только пар занимали все сечение f трубы
|
| (8.40) |
где ρ', ρ" - плотность воды и пара на линии насыщения, кг/м3;
скорость циркуляции - скорость, которую имел бы поток, если бы его плотность была равна плотности воды на линии насыщения:
| w0 = G / fρ'; | (8.41) |
скорость воды на входе в трубу
| wВХ = G / fρВХ, | (8.42) |
где ρВХ- плотность воды на входе в трубу;
скорость пароводяной смеси
| wСМ = G / fρСМ, | (8.43) |
где ρСМ - плотность пароводяной смеси.
С учетом введенных понятий о скоростях уравнение неразрывности можно записать в виде
|
| (8.44) |
Из этого равенства можно определить искомую скорость через любую известную.
По длине трубы приведенные скорости воды и пара изменяются. Какое между ними соотношение? В сечении z массовый расход смеси G = D + GВ представим через скорости w0, w'0 и w"0
w0r'f = w''0r''f + w'0r'f.
Отсюда
|
| (8.45) |
Получается, что хотя w'0 и w''0 изменяются по длине канала (w'0 уменьшается, a w''0 - растет), но сумма w'0 и w''0ρ'' / ρ' постоянна и равна скорости циркуляции.
По массовым расходам жидкости GВ и пара D можно рассчитать объемные расходы жидкости VВ и пара VП , м3/c:
|
| (8.46) |
В гомогенном потоке скорости фаз равны, поэтому объемный расход Vсм = Gсм/ρсм.
8.3.Режимы течения двухфазного потока
Рассмотрим изменение структуры двухфазного потока и его характеристик по длине l вертикальной обогреваемой трубы с подъемным движением среды. Принимаем, что интенсивность обогрева трубы по ее длине и периметру постоянна (q1= const). На вход в трубу (рис. 8.8) подается вода с массовым расходом G, кг/с, и энтальпией h0, кДж/кг, причем энтальпия на входе h0 меньше энтальпии воды на линии насыщения h'. Недогрев воды ΔhНЕД = h' - h0. Учитывая, что изменение давления Δp в трубе мало по сравнению с его абсолютным значением p, примем давление р по длине трубы постоянным.

В общем случае течение двухфазного потока термодинамически не равновесно и, как отмечалось ранее, для расчета истинных характеристик потока необходимо привлекать экспериментальные данные. В гомогенной модели поток считается термодинамически равновесным и для него можно рассчитать ряд важных расходных характеристик. При этом уравнении энергии для участков с q1 = const можно использовать в виде уравнений теплового баланса, а получающиеся в результате расчета характеристики будем называть балансовыми.
Балансовая (средняя) энтальпия потока hБ =
на участке длиной l
|
| (8.48) |
при q1 = const линейно изменяется по высоте трубы (рис. 8.8).
В сечении, где
= h′ по балансовым соотношениям должно начаться парообразование. До этого сечения средняя температура жидкости
, меньше температуры насыщения tS.
Расстояние от начала трубы до точки закипания lТ.З (длина балансового экономайзерного участка lэкБ) определялось, см. (8.38)
|
| (8.49) |
Балансовая длина испарительного участка lБИСП (от сечения
= h' до сечения
= h", где h" - энтальпия пара на линии насыщения) определяется также из теплового баланса
|
| (8.50) |
Балансовая длина перегревательного участка lПЕБ определяется необходимой температурой tПЕ (энтальпией hПЕ) перегретого пара
|
| (8.51) |
В сумме
|
|
Балансовое массовое паросодержание xБ определяется по
|
| (8.52) |
Величина xБ так же как и
, линейно изменяется по высоте трубы (q1= const). На экономайзерном участке xБ < 0, на перегревательном xБ > 1.
В реальном потоке при внешнем обогреве трубы температура по сечению не постоянна. Максимальная температура жидкости достигается у стенки и соответствует температуре внутренней поверхности стенки tСТ.
На (рис. 8.8) показано изменение tСТ по высоте трубы.
На участке I (до сечения, где tСТ = tS) температура стенки и жидкости меньше tS. Это область однофазного потока жидкости.
На участке II температура стенки выше tS, но парообразования нет, так как для начала кипения должен быть определенный пегрегрев жидкости. Парообразование на поверхности трубы начинается при tСТ = tН.К где tН.К - температура начала кипения жидкости. На участке II жидкость не догрета до температуры насыщения, поток - однофазный.
На участке III балансовые значения температуры tЖ и энтальпии
потока достигают значений на линии насыщения, при этом xБ = 0. В действительности ядро потока еще не догрето до tS, а пристенный слой перегрет, т.е. tСТ > tS. При tСТ > tЖ на стенке происходит образование паровых пузырьков, вначале слабое, а после сечения А - интенсивное парообразование. При этом интенсивность теплоотдачи повышается, температура стенки незначительно уменьшается.
На участке III (рис. 8.8) образовавшиеся пузырьки пара из пристеночного слоя выносятся в холодное ядро жидкости, где они могут некоторое время (до конденсации пара) двигаться в потоке холодной жидкости. Потоки, в которых одновременно существуют пар и недогретая до tS жидкость, называют неравновесными . На участке III xБ < 0 (только на верхней границе xБ = 0), но фактически у стенки x > 0 (поверхностное кипение) и истинное паросодержание φ > 0.
На участке IV происходит постепенный прогрев ядра потока, толщина пристенного слоя с паровыми пузырьками увеличивается, и в сечении Б пристенные двухфазные слои смыкаются. Поток становится термически равновесным.
На участках III и IV паровая фаза существует в виде отдельных пузырьков, находящихся в потоке жидкости. Под влиянием действующих на них сил пузырьки стремятся расположиться в центре трубы. Такой режим течения двухфазного потока наказывается пузырьковым режимом.
С ростом паросодержания количество пара в потоке увеличивается, а количество жидкости уменьшается. Пузырьки пара начинают объединяться в крупные конгломераты, а пузырьковый режим сменяется снарядным режимом (участок V,a). При этом режиме крупные пузыри пара (снаряды) по своим размерам соизмеримы с диаметром трубы. От стенки пузыри отделены слоем жидкости, а друг от друга - жидкостными пробками. Снарядный режим может существовать только при низких давлениях (до 3 МПа); при р > 3 МПа крупные пузыри пара не образуются.
Снарядный режим или (при повышенных давлениях) непосредственно пузырьковый переходит в эмульсионный режим течения (участок V, б).
Эмульсионный режим характерен тем, что паровая фаза распределена в потоке в виде небольших объемов, между которыми находится слой жидкости.
При дальнейшем увеличении паросодержания и, соответственно, уменьшении водосодержания происходит разрыв жидких пленок между паровыми объемами, паровой объем образует в центре трубы сплошной паровой поток, в котором содержатся водяные капли. На стенках трубы движется жидкая пленка (участок V, в). Такой режим носит название дисперсно-кольцевого режима (по распределению жидкой фазы).
На участке V, г водяных капель в паровом объеме становится мало (испарились, выпали из потока на стенки трубы), жидкая фаза сосредоточена в виде пленки на стенке трубы -кольцевой режим течения.
Для всех режимов течения на участках V, а, б, в, г характерно то, что паровая и жидкая фазы в ядре потока имеют одинаковую температуру, т.е. поток равновесный.
В конце участка V, г по мере испарения жидкая пленка на стенке разрушается, образуются отдельные ручейки. Остатки воды испаряются или, частично, срываются с поверхности потоком пара и уносятся в центр трубы. Стенка омывается не жидкой фазой, а паровой. Теплообмен ухудшается, наступает кризис теплоотдачи. Температура стенки резко возрастает в сечении кризиса теплообмена.
В закризисном участке VI стенка омывается паром, жидкая фаза распределена в виде мелких капель в паровом потоке - дисперсный режим течения. Перенос теплоты от стенки к жидким каплям происходит за счет частично перегретого пара, при этом поток снова становится неравновесным (температура фаз различна). Средняя температура потока tЖ равна практически tS. В сечении В балансовое массовое паросодержание xБ= 1, a
= h". Действительные значения х < 1 и j < 1.
Дисперсный режим течения может распространяться и на участок VII, где xБ > 1, средняя температура потока
> tS. В этом случае испаряющиеся капли воды какое-то время находятся в перегретом паровом ядре - неравновесный поток.
После испарения всех капель воды (х = 1) наступает режим течения однофазного парового потока (участок VIII).
На (рис. 8.8) показано изменение истинного паросодержания для адиабатного двухфазного потока jад, область существования которого соответствует изменению; x6 от 0 до 1. Действительное значение j для обогреваемой трубы, так же как и х, охватывает большую длину трубы: от хБ < 0 (участок III) до xБ > 1 (участок VII). В этом диапазоне хБ существует двухфазный поток.
Определить четкие границы существования рассмотренных режимов течения двухфазного потока сложно.
На (рис. 8.9) показана примерная диаграмма режимов для вертикального потока в зависимости от массовой скорости в трубе и доли паросодержания по ее длине.

Распределение скоростей пара и воды по сечению в вертикальной трубе при подъемном движении потока зависит от режима течения.
На (рис. 8.10) показаны эпюры скоростей для пузырькового (а) и кольцевого (б) режимов.

При опускном движении режимы течения аналогичны, но профиль скорости имеет другой характер.
При пузырьковом режиме (рис. 8.10), в) по первоначальному профилю (пунктир) паровая фаза стремится к оси трубы, при этом за счет силы Архимеда движение центральной части потока замедляется и профиль скорости искажается (сплошная линия).
Паровые пузырьки,находившиеся в центре потока, под действием аэродинамическо силы направляется от оси трубы в сторону возрастания скорости. В результате основная масса пузырьков будет расположена в виде кольца на определенном расстоянии между осью трубы и ее стенкой.
При кольцевом режиме течения (рис. 8.10) паровое ядро имеет скорость меньше, чем пограничные с ним слои жидкой фазы.
В горизонтальных трубах распределение фаз по сечению зависит от соотношения сил инерции и Архимеда, определяемого критерием Фруда (w2/gdВН.). При малых значениях скорости потока может произойти расслоение двухфазного потока на жидкую и паровую фазы. На расслоение потока оказывает влияние и диаметр трубы - чем больше диаметр трубы, тем легче возникает расслоение. При этом возможны режимы течения (рис. 8.11): слоистый (а), волновой (б) и поршневой (в). По условиям температурного режима обогреваемых труб эти режимы недопустимы (см. гл.9). При увеличении скорости движения двухфазного потока имеют место режимы течения, аналогичные режимам в вертикальных трубах.

На (рис. 8.12) показано примерное соотношение режимов течения в горизонтальной трубе (w0' и w"0 - приведенные скорости воды и пара).

В трубах с углом наклона менее 30° (слабо наклоненные) режимы течения можно принимать аналогично горизонтальным трубам. Для сильно наклоненных труб (более 30°) режимы близки к режимам вертикальных труб.
8.4.Перепад давления при движении рабочей среды в трубе
В результате решения уравнения движения получено в общем виде выражение (8.14) для перепада давления Δр при движении потока в трубе длиной l


При движении однофазного потока для расчета сопротивления трения ΔpТР, местного сопротивления ΔpМ ,сопротивление ускорения ΔpУСК, и нивелирного сопротивления ΔpНИВ, применяются формулы (8.14 а) - (8.14 г) с учетом характеристик однофазного потока.

При движении двухфазного потока для расчета Δp используются те же формулы (8.14). Скорости потока w1 , w2, wСР , плотность потока ρСР, а также в начале ρ1 и конце ρ2 участка определяются по истинным характеристикам двухфазного потока.
Учитывая, что истинные характеристики потока рассчитываются сложным образом по эмпирическим зависимостям, при расчете гидравлического сопротивления трения и местного сопротивления за основу берется гомогенная модель потока, а негомогенность действительного потока учитывается экспериментальными коэффициентами.
В формуле (8.14 а) по уравнению неразрывности заменим массовую скорость (φpw) через скорость циркуляции w0 и плотность ρ' (ρw = ρ'w0), среднюю скорость смеси wСР выразим из соотношения ρwср = ρ'w0. В результате получим
|
| (8.53) |
С учетом

выразим
|
| (8.54) |
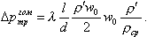
Еще раз отметим, что полученная формула справедлива для адиабатного (без обогрева) гомогенного двухфазного потока. Обозначим через Δp0 сопротивление трения при x = 0.
Тогда
| | (8.55) |
Для обогреваемого гомогенного потока в формуле (8.75) принимается среднеарифметическое значение x

где x1, x2, - массовое паросодержание на входе и выходе участка трубы, тогда
|
| (8.56) |
Для гомогенного потока сопротивление трения пропорционально массовому паросодержанию
(рис. 8.13).

Экспериментальные данные, приведенные на этом же рисунке, показывают, что гидравлическое сопротивление трения в действительном двухфазном потоке существенно отличается от гомогенной модели. Это относится как к случаю с обогревом потока, так и к адиабатному потоку. Поэтому в расчетные формулы (8.55) и (8.56) вводится коэффициент ψ, учитывающий влияние структуры потока, и формулы приобретают вид:
при постоянном паросодержании
|
| (8.57) |
при переменном паросодержании
|
| (8.58) |
где
- среднее паросодержание на участке,

- средний коэффициент, который определяется по формуле

где ψН, xН, ψК, xК, относятся к начальному и кон
ечному сечениям участка (трубы).
Коэффициент ψ зависит от скорости потока и его давления. Номограммы для определения ψ приведены в справочной литературе.
Интенсивность теплового потока q, кВт/м2 или кВт/м длины, влияет на величину xср(
), что учитывается при расчете ΔpТР , и на структуру потока. При малых xСР наличие обогрева трубы увеличивает сопротивление трения, а при больших xСР - уменьшает. Влияние теплового потока q на сопротивление трения обычно невелико, сопоставимо с погрешностью определения сопротивления и при расчете ΔpТР в явном виде на учитывается. Поэтому коэффициент ψ для обогреваемых труб прямоточных элементов котла определяется в зависимости от xСР, массовой скорости ρw и давления р.
При расчете потерь давления в местных сопротивлениях ΔpМ за основу принимается формула для гомогенного потока, аналогичная (8.54), а действительная структура потока учитывается введением условного коэффициента местного сопротивления ςМ
| | (8.59) |
Расчет потерь давления от ускорения потока ΔpУСК производится по (8.14 в). Для двухфазного потока эту формулу можно привести к другому виду с учетом уравнения неразрывности
(ρw = ρ'wСМ = w(1/vСМ);
| | (8.60) |
где vН и vК - удельный объем теплоносителя в начале и конце участка (однофазного или двухфазного).
Удельный объем пароводяной смеси был ранее определен в (8.49 б).
Окончательно получим
|
| (8.61) |
При расчете нивелирного сопротивления (нивелирного напора) ΔpНИВ среднюю плотность двухфазного потока определяют по среднему значению истинного паросодержания
|
| (8.62) |
Для вертикальной трубы высотой Н
|
| (8.63) |
где знак” +” для подъемного, а “- “для опускного движения потока.
Для расчета составляющих перепада давления Δp необходимо знать конструктивные характеристики трубы, а также определить коэффициент трения ψ, коэффициент местного сопротивления ξМ, ξМ. Эти данные приведены в Нормативном методе гидравлических расчетов котельных агрегатов и соответствующих справочниках.
8.5.Виды движения жидкости
При движении однофазного потока в трубе жидкая (или паровая) фаза заполняет все сечение трубы непрерывно, ограничивающей поток поверхностью является стенка трубы, свободная поверхность отсутствует. Скорость потока при обогреве изменяется по радиусу и длине трубы, средняя скорость в любом сечении положительна (по направлению потока).
В двухфазном потоке, в общем случае от х = 0 до х = 1, при установившемся движении скорости жидкой и паровой фаз положительны, обе направлены по ходу среды, количество и распределение их по сечению характеризуются расходными и истинными параметрами течения. Отсутствует свободная поверхность, ограничивающая поток сверху (или снизу).
Движение, при котором жидкость заполняет все сечение трубы, скорости фаз отличны от нуля и поток по направлению течения не ограничен свободной поверхностью, называется напорным. При напорном движении относительная скорость wОТН = wПД - wВД может быть положительной или отрицательной. Какой режим движения будет, если скорость воды или пара будет равна нулю?
Рассмотрим схему потоков воды и пара в барабане парового котла (рис. 8.14). Нижнюю половину барабана занимает жидкая фаза (вода), верхнюю - пар. Жидкая фаза имеет сверху свободную поверхность. Часть воды непрерывно подается в опускные трубы контура циркуляции, а пар удаляется в пароперегреватель. Скорости движения воды и пара в барабане относительно невелики. Из подъемных труб в барабан поступает пароводяная смесь. На паровые пузырьки, попадающие в относительно неподвижную жидкую фазу, действует сила Архимеда, и пузырьки всплывают вверх. Это явление называется барботажем пара через воду. С другой стороны, на каплю воды, попадающей в паровой объем барабана, также действует сила Архимеда, но так как плотность капли (воды) больше плотности окружающего ее пара, сила Архимеда направлена вниз. При малой скорости пара капля воды будет падать в водяной объем. Процесс отделения воды от насыщенного пара называется сепарацией пара. Барботаж пара и сепарация пара имеют общие закономерности. Движение одной фазы потока в неподвижном или медленно движущемся слое второй фазы, при котором сверху имеется свободная поверхность, разделяющая фазы, называется безнапорным движением двухфазной среды. Определяющей силой в безнапорном движении является сила Архимеда.
Напорное движение создается разностью давлений в различных поперечных сечениях потока. Перепад давления между этими сечениями Δp определяется сопротивлением трения, местным сопротивлением, сопротивлением ускорения и нивелирным сопротивлением:

Возьмем два участка, включенных последовательно по схемам (рис. 8.15).

Обозначим давление среды в сечениях 1, 2 и 3 соответственно р1, р2, и р3. Перепад давления на участках Δp1 = p1 - p2, Δp2 = p2 - p3, суммарный перепад давления Δp = Δp1 + Δp2 = p1 - p3 .Для преодоления сопротивления насос должен создать напор, равный Δp, следовательно, движение потока по участкам 1 и 2 происходит под воздействием сил давления, развиваемых насосом, такое движение потока называется принудительным.
Соединим сечения 1 и 3 участков 1 и 2 (схема в рис.8.15) таким образом, чтобы эти участки образовали замкнутую систему. При этом суммарный перепад давления равен нулю:
Δp = Δp1 + Δp2 = 0.
Будет ли движение среды по участкам 1 и 2? Для ответа на этот вопрос представим сопротивления Δp1, и Δp2 в развернутом виде:
(8.64)
Сопротивления трения и местные по своей физической природе требуют затрат энергии на их преодоление при движении потока; сопротивление ускорения может быть равно нулю при адиабатном потоке, больше нуля при нагреве и меньше нуля при охлаждении потока, в нашем случае происходит нагрев потока, ΔpУСК > 0
Нивелирное сопротивление при подъемном движении в вертикальной или наклонной трубе положительно, энергия потока, затрачиваемая на преодоление этого сопротивления, идет на увеличение потенциальной энергии потока. При опускном движении нивелирное сопротивление отрицательно, т.е. потенциальная энергия потока превращается в энергию движения потока. Таким образом, нивелирное сопротивление (его называют еще нивелирным напором) на опускном участке может быть источником энергии в замкнутой системе (схема в на рис.8.15).
Тогда
|
| (8.65) |
Перегруппируем слагаемые этой формулы
|
| (8.66) |
Левую часть выражения (8.86) называют движущим напором
|
| (8.67) |
Тогда
|
| (8.68) |
Движущий напор в замкнутой системе (схема в, рис. 8.15) зависит от разности плотностей среды на участках 1 и 2, от высоты участков. Плотность среды на участках 1 и 2 зависит от интенсивности обогрева. При этом возможны случаи:
I. Участки 1 и 2 необогреваемы, q1 = q2 = 0; при этом ρСР1 = ρСР2 и SДВ.I = SДВ.11 движения потока по участкам 1 и 2 не будет;
Ещё посмотрите лекцию "12. Законы Мерфи" по этой теме.
II. На участке 1 q1 = 0, на участке 2 q2 > 0: rСР1 > rСР2 и SДВ.II = 0 движение потока происходит по направлению: участок 1 - участок 2 (против часовой стрелки);
III. На участке q1 > 0, на участке 2 q2 > 0: rСР1 > rСР2 и SДВ.III > 0 но SДВ.III < SДВ.II интенсивность движения потока будет меньше, чем в случае II.
Следовательно, для увеличения движущего напора SДВ необходимо увеличивать ρСР1 (q1 уменьшать до нуля) и уменьшать ρСР2 (увеличивать q2).
Подводимая теплота является внешним источником энергии, необходимой для преодоления сопротивления движению потока в замкнутом контуре. Движение среды по замкнутому контуру называется циркуляцией потока.
Циркуляция, возникающая вследствие разности плотностей среды в необогреваемых или слабообогреваемых трубах с опускным движением среды и обогреваемых трубах с подъемным движением среды, называется естественной. Если в контур циркуляции включить насос, то получим контур с многократной принудительной циркуляцией.
Все указанные виды движения жидкости (однофазной и двухфазной) описываются уравнениями неразрывности, движения, энергии, состояния. Однако начальные и граничные условия для разных видов движения имеют свои особенности, что приводит к различным решениям основных уравнений. Особенности применения уравнений неразрывности, движения, энергии и состояния рассматриваются в последующих главах.

































































