Защита конструкции от механических воздействий
Лекция №12. Защита конструкции от механических воздействий
На ЭА в процессе транспортирования и эксплуатации воздействуют внешние механические факторы (вибрации, удары, ускорения, акустические шумы), передающие ей механическую энергию. Количество переданной энергии определяет уровень и характер изменения конструкции. Допустимые уровни механического изменения конструкции определяются ее прочностью и устойчивостью к механическим воздействиям.
Под прочностью конструкции понимается способность аппаратуры выполнять функции и сохранять параметры после приложения механических воздействий. Устойчивость конструкции — способность ЭА сохранять функции и параметры в процессе механических воздействий.
Откликом, или реакцией конструкции на механические воздействия называют любые формы трансформации или преобразования энергии механического возбуждения. Разновидности откликов:
• механические напряжения в элементах конструкции;
• перемещения элементов конструкции и их соударения;
• деформации и разрушения конструктивных элементов;
• изменения свойств и параметров конструкции.
Механические воздействия могут приводить к непредусмотренным взаимным перемещениям деталей и узлов из-за возникающих инерционных сил и, как следствие, деформациям крепежных, несущих и других элементов конструкций, их соударению. При незначительных механических воздействиях в элементах конструкций возникают упругие деформации, фактически не сказывающиеся на работоспособности аппаратуры. Увеличение нагрузки приводит к появлению остаточной деформации и при определенных условиях разрушению конструкции. Разрушение может наступить и при нагрузках, много меньших предельных значений статической прочности материалов, если конструкция окажется подверженной знакопеременным нагрузкам.
Рекомендуемые материалы
Отказы аппаратуры бывают восстанавливаемыми после снятия или ослабления механического воздействия (чисто механическое проявление вибраций и ударов, изменение параметров компонентов, возникновение электрических шумов) и невосстанавливаемыми (обрывы и замыкания электрических соединений, отслаивание проводников печатных плат, нарушение элементов крепления и разрушение несущих конструкций).
Конструкция как колебательная система
Основными параметрами любой конструкции с позиций реакции на механические воздействия являются масса, жесткость и механическое сопротивление (демпфирование). При анализе влияния вибраций на конструкции модулей последние представляют в виде системы с сосредоточенными параметрами, в которой заданы масса изделия т, элемент жесткости в виде пружины и элемент механического сопротивления в виде демпфера (рис. 4.1), характеризующиеся параметрами k и r соответственно.

При необходимости построения более сложных моделей, например пластины с установленными на ней модулями, можно воспользоваться моделью, приведенной на рис. 4.1, повторяя ее многократно. Стремясь в пределе к бесконечному числу моделей в пределах объема конструкции, получим модель системы с распределенными параметрами (рис. 4.2).

Важнейшим показателем любой механической системы является число степеней свободы, однозначно определяющих положение системы в пространстве в любой момент времени. Число степеней свободы реальной конструкции зависит от степени ее упрощения, т. е. модель должна отображать реальную конструкцию и быть достаточно простой для исследования.
В системе с одной степенью свободы внешней силе F{t) в каждый момент времени будут противодействовать силы инерции массы Fm, жесткости Fk и демпфирования Fr:
(4.1)
Составляющие правой части уравнения (4.1) определяются из

где ξ – смещение системы от положения равновесия под воздействием силы F(t).
Линейное дифференциальное уравнение описывает состояние системы в любой момент времени.

Уравнение собственных колебаний системы можно получить, приравняв F{t) нулю:

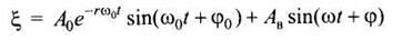
Решение уравнения (4.3) обычно записывается в виде

где ξ0 и φ0 – начальные амплитуда и фаза колебаний; δ = r/(2т) – коэффициент демпфирования;
– собственная круговая частота колебаний; f0= ω0/(2π) – собственная частота колебаний системы с демпфированием.
В реальных механических системах в каждом цикле колебаний происходят потери энергии, в результате чего колебания затухают.
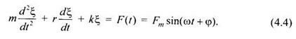
Дифференциальное уравнение вынужденных колебаний системы имеет вид

Решение уравнения

состоит из двух слагаемых: первое описывает собственные колебания системы с частотой ω0, второе – вынужденные колебания с частотой ω, где Ао и Ав – амплитуда соответственно собственных и вынужденных колебаний.
Когда частота собственных колебаний системы близка к частоте вынужденных, в колебательной системе возникает явление механического резонанса, при котором резко возрастает амплитуда колебательного движения элементов конструкции, что может привести к их поломкам.
Важным параметром любой механической системы является добротность
Q = k/(ω0r) = ω0m/r.
Если известны собственные частоты колебаний f0i всех п элементов системы, то собственную частоту колебаний самой системы fОс можно определить из выражения
.
Падение блока на жесткую поверхность равносильно воздействию на него удара. Колебательное движение блока, представляемого в виде механической системы с одной степенью свободы, относительно положения равновесия без учета демпфирования (δ=0) будет описываться дифференциальным уравнением свободных колебаний

При начальных условиях t = 0, ξ = ξст, dξ /dt=v0 ударное смещение блока будет описываться уравнением
где ξст = mg/k – прогиб элемента жесткости блока под действием массы блока;
– начальная скорость блока; g – ускорение свободного падения; h — высота падения блока;
.
Максимальное и полное динамическое смещения упругого элемента будут
,
"Аудиальная шанжировка" - тут тоже много полезного для Вас.

Максимальное ускорение и коэффициент ударной перегрузки соответственно будут

и
























