Электронные усилители
Лекция 18. Электронные усилители
Электронным усилителем называют устройство, в котором входной сигнал напряжения или тока используется для управления током (а следовательно, и мощностью), поступающим от источника питания в нагрузку. Обобщенная схема включения усилителя приведена на рис. 18.1.
Источниками сигналов могут быть различные преобразователи неэлектрических величин в электрические: микрофоны, пьезоэлементы, считывающие магнитные головки, термоэлектрические датчики и др. Частота и форма напряжения или тока этих источников может быть любой, например, импульсной, гармонической и др.
Нагрузкой усилителей могут быть различные устройства, преобразующие электрическую энергию в неэлектрическую, например, громкоговорители, индикаторные устройства, осветительные и нагревательные приборы и др. Характер нагрузки может существенным образом влиять на работу усилителя.
Классификация усилителей. Усилители можно разделить по многим признакам: виду используемых усилительных элементов, количеству усилительных каскадов, частотному диапазону усиливаемых сигналов, выходному сигналу, способам соединения усилителя с нагрузкой и др. По типу используемых элементов усилители делятся на ламповые, транзисторные и диодные. По количеству каскадов усилители могут быть однокаскадными, двухкаскадными и многокаскадными. По диапазону частот усилители принято делить на низкочастотные, высокочастотные, полосовые, постоянного тока (или напряжения). Связь усилителя с нагрузкой может быть выполнена непосредственно (гальваническая связь), через разделительный конденсатор (емкостная связь) и через трансформатор (трансформаторная связь).
Основные характеристики усилителей. Все характеристики можно разделить
на три группы: входные, выходные и передаточные. К входным характеристикам относятся: допустимые значения входного напряжения или тока, входное сопротивление и входная емкость. Обычно эти характеристики определяются параметрами источника входного сигнала.

Рис. 18.1 Обобщенная схема включения усилителя
Рекомендуемые материалы
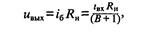
Основной передаточной характеристикой усилителя является его коэффициент усиления. Различают коэффициенты усиления по напряжению, току и мощности

где t/i, ji и Р — значения напряжения, тока и мощности на входе усилителя; U^, /2 и Р^ — значения напряжения, тока и мощности на выходе усилителя.
Коэффициент усиления в общем случае является комплексной величиной, т. е. он зависит от частоты входного сигнала и характеризуется не только изменением амплитуды выходного сигнала с изменением частоты, но и его задержкой во времени, т. е. изменением его фазы. Частотные характеристики усилителя описывают его динамические свойства в частотной области. Для описания динамических свойств усилителям во временной области пользуются его переходной характеристикой. Переходная характеристика усилителя является его реакцией на скачкообразное изменение входного сигнала.
Для количественной оценки динамических свойств усилителя в частотной области используются такие параметры, как полоса пропускаемых частот Д/, граничные значения частот — верхней /в и нижней /„. Аналогично во временной области используют параметры переходной характеристики: время ее нарастания Тн,р и спада Теп. Если переходная характеристика имеет выбросы, то их значение также нормируется.
При прохождении сигнала через усилитель его форма подвергается изменению. Эти изменения формы обычно называют искажением сигнала. Искажения сигнала называют линейными, если при передаче его через усилитель спектральный состав не изменяется. Это означает, что если гармонический сигнал подать на вход усилителя, то на выходе усилителя сигнал также будет гармоническим и с той же частотой. Основной причиной линейных искажений является зависимость комплексного коэффициента усиления от частоты входного сигнала.
Нелинейные искажения связаны с изменением спектрального состава сигнала при его передаче через усилитель. Появление нелинейных искажений обусловлено нелинейностью передаточных характеристик усилительных элементов. Для оценки нелинейных искажений обычно пользуются коэффициентом гармоник Кг, равным отношению действующего значения высших гармоник выходного напряжения (или тока) к действующему значению первой гармоники при подаче на вход усилителя гармонического сигнала

где U, — действующее значение напряжения первой гармоники, U^-.-Un — действующие значения второй и других высших гармоник.
Обобщенная схема усилителя приведена на рис. 18.2 а. Она содержит входную цепь, которая обеспечивает режим работы усилительного элемента и ввод входного сигнала; управляемый источник напряжения или тока на одном из видов усилительных элементов; выходную цепь, которая обеспечивает передачу сигнала к нагрузке, и цепь обратной связи, которая определяет усилительные свойства усилителя. В реальных схемах некоторые из этих узлов могут отсутствовать. В качестве 
Рис 182 Обобщенная структурная схема усилителя (а) и пример деления усилителя на функциональные узлы (б)
примера на рис 1826 приведен усилитель на биполярном транзисторе в качестве управляемого источника тока.
Однокаскадные усилители Из однокаскадных усилителей наибольшее распространение получили повторители напряжения, повторители тока и усилители напряжения. Поскольку в различных источниках эти усилители называют по разному, в дальнейшем будут приведены их дублирующие названия
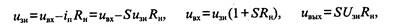
Повторителем напряжения называют усилитель с коэффициентом усиления по напряжению К= 1. Очевидно, что такие усилители не обеспечивают усиления по напряжению, однако они имеют достаточно высокий коэффициент усиления по току и, следовательно, по мощности. Повторители напряжения могут быть выполнены на транзисторах различных типов, электронных лампах и на операционных усилителях. Простейший повторитель напряжения, приведенный на рис. 18.За, называется эмиттерным повторителем. Выходной сигнал в этой схеме снимается с эмиттера транзистора VT, что и определило приведенное название Схема замещения эмиттерного повторителя для малого сигнала изображена на рис. 18.3 б. На этой схеме транзистор VT заменен идеальной моделью источника тока, управляемого током базы tg. Из схемы замещения видно, что м„=м„ы„ т.е.^=1. 
Рис. 18.3. Схема эмиттерного повторителя (а), схема замещения для малого сигнала (б), схема замещения с учетом внутреннего сопротивления эмиттера (в)
Коэффициент передачи эмиттерного повторителя по току можно найти, если учесть, что коллекторный ток г'„ = Bis, тогда для схемы, приведенной на рис. 18.3 б, получим

откуда следует, что

где В — коэффициент передачи транзистора по току в схеме с общим эмиттером.
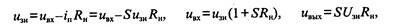
Входное сопротивление эмиттерного повторителя можно найти с помощью схемы замещения рис. 18.3, полагая, что r^=u^./i^.
Учитывая, что iQ=i,/(B+l), найдем

Реальная схема эмиттерного повторителя имеет коэффициент передачи по напряжению меньше единицы, так как часть входного напряжения падает на собственном сопротивлений эмиттера Гу Упрощенная схема замещения эмиттерного повторителя с учетом внутреннего сопротивления эмиттера приведена на рис. 18.3 в. Выходное напряжение для схемы, приведенной на рис. 18.3, можно записать как U^=U^R,/(R,+ry), откуда следует, что

Внутреннее сопротивление эмиттера в соответствии с уравнением Эберса — Молла можно определить по формуле (см. Лекцию 4)

где (рт — тепловой потенциал, который при температуре 25°С равен 25 мВ, /э — ток эмиттера.
Так, например, при токе эмиттера г'э = 1 мА собственное внутреннее сопротивление эмиттера имеет значение 250м. Если при этом сопротивление нагрузки ^?э=2250м, то коэффициент передачи повторителя будет равен 0,9.
Для расчета выходного сопротивления эмиттерного повторителя нужно в схеме, приведенной на рис. 18.3 б, поменять вход и выход местами. Для этого нужно исключить источник входного напряжения, оставив его внутреннее сопротивление 7?и, а в эмиттерную цепь включить источник тока /вх; как показано на рис. 18.4 а. Расчет схемы замещения, приведенной на рис. 18.4 б, приводит к уравнениям 'в^Ь+^^В+^^б, где i^Bis, откуда находим

Выходное сопротивление эмиттерного повторителя найдем по формуле ^вых="вых/г.х, где:

откуда находим

или, с учетом сопротивления Ry нагрузки эмиттерного повторителя,

Из приведенного рассмотрения следует, что выходное сопротивление эмиттерного повторителя значительно ниже его входного сопротивления. В связи с этим эмиттерный повторитель можно использовать для согласования высоко-омного источника сигнала с низкоомной нагрузкой. Иными словами, эмиттерный повторитель обеспечивает усиление по мощности, что особенно важно при использовании маломощных источников сигнала с большим внутренним сопротивлением.
Повторители напряжения, выполненные на электронной лампе и полевом транзисторе с управляющим ^-и-переходом, приведены на рис. 18.5. Так как схемы

Рис. 184 Схема эмиттерного повторителя для расчета выходного сопротивления (а) и схема замещения (б).

Рис. 18.5. Схема катодного повторителя (а), истокового повторителя (б) и схема замещения (в)
замещения этих элементов имеют много общего, то на рис. 18.5 в приведена только схема замещения истокового повторителя на полевом транзисторе. Схема замещения для малого сигнала содержит идеальный источник тока, управляемый напряжением Мэи, и нагрузочное сопротивление 7?„- Поскольку ток во входной цепи ничтожно мал, источник входного напряжения изображен ненагруженным.
Для схемы замещения, приведенной на рис. 18.5 в, можно записать уравнения

откуда находим

Если выполняется условие SRu^> 1, то К^ 1 и схема работает как повторитель напряжения. В реальных условиях коэффициент передачи обеих рассмотренных схем несколько ниже единицы. Коэффициент передачи будет тем ближе к единице, чем больше крутизна усилительного элемента.
Наиболее качественный повторитель напряжения можно построить на операционном усилителе, используя схему, изображенную на рис. 18.6 а. Схема замещения такого повторителя напряжения приведена на рис. 18.66. Для этой схемы замещения можно записать уравнения и^^-А^и^, где Дl^(,x=^<вx-"выx> А — коэффициент усиления ОУ. Из этих уравнений находим коэффициент передачи для схемы повторителя

Учитывая, что коэффициент усиления ОУ много больше единицы, получим значение коэффициента передачи повторителя К^=.
Сравнение рассмотренных схем повторителей напряжения позволяет сделать следующие выводы:
• повторители напряжения на биполярных и полевых транзисторах можно использовать как при малых, так и при больших значениях тока в нагрузке, в том числе в качестве выходных каскадов усилителей мощности;

Рис. 18.5. Схема катодного повторителя (а), истокового повторителя (б) и схема замещения (в)
замещения этих элементов имеют много общего, то на рис. 18.5 в приведена только схема замещения истокового повторителя на полевом транзисторе. Схема замещения для малого сигнала содержит идеальный источник тока, управляемый напряжением Мэи, и нагрузочное сопротивление 7?„- Поскольку ток во входной цепи ничтожно мал, источник входного напряжения изображен ненагруженным.
Для схемы замещения, приведенной на рис. 18.5 в, можно записать уравнения

откуда находим

Если выполняется условие SRu^> 1, то К^ 1 и схема работает как повторитель напряжения. В реальных условиях коэффициент передачи обеих рассмотренных схем несколько ниже единицы. Коэффициент передачи будет тем ближе к единице, чем больше крутизна усилительного элемента.
Наиболее качественный повторитель напряжения можно построить на операционном усилителе, используя схему, изображенную на рис. 18.6 а. Схема замещения такого повторителя напряжения приведена на рис. 18.66. Для этой схемы замещения можно записать уравнения и^^-А^и^, где Дl^(,x=^<вx-"выx> А — коэффициент усиления ОУ. Из этих уравнений находим коэффициент передачи для схемы повторителя

Учитывая, что коэффициент усиления ОУ много больше единицы, получим значение коэффициента передачи повторителя К^=.
Сравнение рассмотренных схем повторителей напряжения позволяет сделать следующие выводы:
• повторители напряжения на биполярных и полевых транзисторах можно использовать как при малых, так и при больших значениях тока в нагрузке, в том числе в качестве выходных каскадов усилителей мощности;

Рис. 18.6. Схема повторителя напряжения на операционном усилителе (а) и его схема замещения (б)
• коэффициент передачи повторителей напряжения на транзисторах и электронной лампе всегда меньше единицы;
• частотный диапазон повторителей на транзисторах может быть достаточно широким при использовании высокочастотных транзисторов;
• повторители напряжения на ОУ имеют коэффициент передачи, мало отличающийся от единицы;
• частотный диапазон повторителей напряжения на ОУ определяется его граничной частотой и для широкополосных ОУ не превышает 10МГц;
• ток нагрузки типовых ОУ не превышает 10...50мА.
Повторители тока. Повторителем тока называют усилитель с коэффициентом передачи по току К,=1. Такие повторителя, не обеспечивая усиления по току, имеют достаточно высокий коэффициент усиления по напряжению и, следовательно, по мощности. Повторители тока могут быть выполнены на транзисторах, электронных лампах или операционных усилителях. Простейшая схема повторителя тока на биполярном транзисторе приведена на рис. 18.7 а. Эта схема известна также как усилитель с общей базой, или коллекторный повторитель.
• Для схемы замещения, приведенной на рис. 18.7 б, можно записать следующие уравнения:

откуда находим, что коэффициент передачи по току:


Рис. 18.7. Схема повторителя тока (а) и его схема замещения (б)
не превышает единицы и тем ближе к ней, чем больше коэффициент передачи транзистора по току.
Коэффициент усиления этой схемы по напряжению можно найти, пользуясь выражением (18.13)

откуда находим, чтс

Таким образом, из выражения (18.16) следует, что большой коэффициент усиления по напряжению в схеме с общей базой можно получить только при малом сопротивлении источника сигнала /?„•
Как видно из схемы, каскад охвачен глубокой отрицательной обратной связью по току, поскольку выходной коллекторный ток полностью протекает через входную эмиттерпую цепь. Благодаря этому повторитель тока по схеме с общей базой имеет очень низкое входное сопротивление, практически равное Гу
Низкоомный вход повторителя тока по схеме с общей базой имеет ряд преимуществ:
• уменьшаются частотные искажения, связанные с входной емкостью каскада;
• более эффективно используется источник сигнала, который практически работает в режиме короткого замыкания;
• глубокая отрицательная обратная связь приводит к увеличению выходного сопротивления и снижению выходной емкости;
• нейтрализуется паразитная обратная связь через проходную емкость С^,
• входной сигнал передается на выход без переворота по фазе. Схемы повторителей тока на полевом транзисторе и электронной лампе приведены на рис. 18.8 а и б. Эти схемы известны также как с схемы с общим затвором и общей сеткой соответственно. Схема замещения повторителя тока на полевом транзисторе изображена на рис. 18.8 в. Для этой схемы замещения можно написать уравнения

откуда следует, что коэффициент передачи по току равен

Коэффициент усиления по напряжению можно определить по схеме замещения, изображенной на рис. 18.8 в. Определив напряжение

найдем напряжение между затвором и истоком


Рис 18 8. Схема повторителя тока на полевом транзисторе (а), на электронной лампе (б) и схема его замещения (в)
Подставив значение тока стока, определим напряжение на нагрузке

и коэффициент усиления по напряжению

Если выполняется условие 57?„3>1, то для коэффициента усиления по напряжению получим упрощенное выражение K^Rn/Ru. Сравнивая это выражение с формулой (18.16), можно сделать вывод, что усиление по напряжению каскада на полевом транзисторе такое же, как и на биполярном.
Однокаскадные усилители напряжения могут быть выполнены как на транзисторах, так и на электронных лампах или операционных усилителях. Схема простого усилителя на биполярном транзисторе с коллекторной нагрузкой приведена на рис. 18.9 а. Она включает входную цепь, состоящую из сопротивлений 7?i, ./?;, задающих режим работы транзистора по постоянному току и емкости Ci, обеспечивающей гальваническую развязку источника входного сигнала M,x.
Управляемый источник тока выполнен на биполярном транзисторе VT с коллекторной нагрузкой rk, а цепь обратной связи включена в эмиттер транзистора и состоит из параллельного включения элементов R, и Су Схема замещения для режима малого сигнала без учета влияния входной цепи приведена на рис. 18.9 б. Для определения коэффициента усиления каскада воспользуемся вначале схемой
Рис 18 8. Схема повторителя тока на полевом транзисторе (а), на электронной лампе (б) и схема его замещения (в)
Подставив значение тока стока, определим напряжение на нагрузке

и коэффициент усиления по напряжению

Если выполняется условие 57?„3>1, то для коэффициента усиления по напряжению получим упрощенное выражение K^Rn/Ru. Сравнивая это выражение с формулой (18.16), можно сделать вывод, что усиление по напряжению каскада на полевом транзисторе такое же, как и на биполярном.
Однокаскадные усилители напряжения могут быть выполнены как на транзисторах, так и на электронных лампах или операционных усилителях. Схема простого усилителя на биполярном транзисторе с коллекторной нагрузкой приведена на рис. 18.9 а. Она включает входную цепь, состоящую из сопротивлений 7?i, ./?;, задающих режим работы транзистора по постоянному току и емкости Ci, обеспечивающей гальваническую развязку источника входного сигнала M,x.
Управляемый источник тока выполнен на биполярном транзисторе VT с коллекторной нагрузкой rk, а цепь обратной связи включена в эмиттер транзистора и состоит из параллельного включения элементов R, и Су Схема замещения для режима малого сигнала без учета влияния входной цепи приведена на рис. 18.9 б. Для определения коэффициента усиления каскада воспользуемся вначале схемой

Рис. 18.9. Однокаскадный усилитель напряжения на биполярном транзисторе (а) и его схема замещения для малого сигнала (6)
замещения без учета емкости С, и запишем основные уравнения для этой схемы ц=1е+1к, где is=u^/R„ ^-Ивых/^к- Полагая, что is^ix, получим

откуда найдем коэффициент усиления каскада

Следует отметить, что знак минус в формуле (io.^.i) ^иинэь^юу^ »,,»^^.„^ фазы выходного сигнала на 180°. Если учесть внутреннее сопротивление эмиттера г„ то коэффициент усиления каскада будет определяться формулой

Из формулы (18.22) следует, что при R,=0 коэффициент усиления каскада не будет равен бесконечности, а примет конечное значение, равное К'^=-Кк/г,. Так, например, для случая, когда Гу=25 Ом (что соответствует току эмиттера в 1 мА) и сопротивлении нагрузки .К^ЮкОм получим, что максимальное усиление каскада будет равно ^C^„=-104/25=-400.
Если в схеме замещения учесть емкость Су, то полное сопротивление эмиттер-ной цепи будет иметь комплексное значение

поэтому в соответствии с уравнением (18.21) коэффициент усиления также станет комплексным:

где (p(to)=arctgo)C3/?3 — фазовый сдвиг выходного напряжения.
При этом на низкой частоте при со—-0 сохранится прежнее значение К,„ определяемое формулой (18.21). С повышением частоты коэффициент усиления растеэ и на высокой частоте определяется формулой K„^=-jo)CsR„ при этом фазовьге сдвиг будет близок к 90°.
Существенное изменение в коэффициент усиления вносит входная цепь, упрощенная схема которой приведена на рис. 18.10 а. Частотная зависимость коэффициента передачи входной цепи определяется формулой (при Ri<R2<Ras)

При этом в области низких частот коэффициент передачи входной цепи определяется выражением

а в области высоких АГдцвч^!. График частотной зависимости коэффициента передачи входной цепи приведен на рис. 18.



