Выпрямители
4. Выпрямители
4.1. Назначение и устройство выпрямителя
Статический преобразователь переменного тока в постоянный называется выпрямительным устройством или выпрямителем. Отсутствие вращающихся частей делает выпрямитель надежным устройством, не требующим обслуживания.
При любом виде преобразования переменного тока в постоянный ток, происходит промежуточное преобразование электрической энергии в энергию другого вида. Мощность Р~, потребляемая выпрямителем в одну часть периода (при cosj=1), больше мощности Р0 , отдаваемой в нагрузку (рис, 4.1), т.е. происходит накопление энергии в преобразователе. В другую же часть периода мощность Р_ меньше, чем Р0, т. е. накопленная в преобразователе энергия поступает в нагрузку.
В электромашинных преобразователях происходит промежуточное преобразование электрической энергии переменного тока в механическую энергию, накапливаемую во вращающихся массах и преобразующуюся в электрическую энергию постоянного тока, отдаваемую в нагрузку.
В статических преобразователях используются реактивные накопители энергии (индуктивности и емкости) и происходит промежуточное преобразование энергии в магнитную (LI2/2) или электрическую (CU2/2). Выпрямитель содержит трансформатор 1 (рис. 4.2.), вентиль 2 и сглаживающий фильтр 3.

Рис. 4.1. Временная диаграмма мощности полезной P0 и потребляемой выпрямителем P~ из сети при cos j=1
Трансформатор преобразует напряжение сети переменного тока с тем, чтобы на зажимах его вторичной обмотки получить необходимое значение напряжения.
Рекомендуемые материалы
Кроме того, почти всегда требуется, чтобы нагрузка выпрямителя была электрически (гальванически) изолирована от питающей сети, в противном случае выходной зажим выпрямителя не может быть соединен с корпусом устройства или заломлен. Очень часто, помимо преобразования напряжения, трансформатор преобразует и число фаз (например, трехфазная система преобразуется в шестифазную).
Вентили - это приборы, обладающие униполярной проводимостью. Для нормальной работы выпрямителя вентиль должен обеспечить необходимое максимальное значение тока и высокий к.п.д,, т.е. иметь малые потери. Кроме того, вентиль должен выдерживать приложенное к нему обратное напряжение и перегрузку по току в течение времени, необходимого для срабатывания защитного устройства, а также рассеивать мощность, выделяемую на внутреннем сопротивлении вентиля.

Рис. 4.2. Блок-схема выпрямителя.
Сглаживающий фильтр предназначен для ослабления пульсации, т. е. для уменьшения амплитуды переменной составляющей выпрямленного напряжения. Сглаживающий фильтр обычно состоит из индуктивных катушек н конденсаторов, соединяемых по определенной схеме.
Помимо элементов, показанных на блок-схеме, выпрямитель может содержать стабилизатор напряжения (или тока), который поддерживает напряжение (или ток) постоянным с определенной степенью точности при изменениях напряжения питающей сети и сопротивления нагрузки. Выпрямитель может также содержать регуляторы напряжения, устройства контроля, коммутации, защиты и др.
4.2. Выпрямители с активной нагрузкой. Общие положения
Режимы работы всех узлов электронной схемы взаимосвязаны, поэтому было бы желательно рассматривать и анализировать совместно процессы, протекающие в различных частях схемы выпрямителя; с учетом характера нагрузки, потерь напряжения в трансформаторе, вентилях и фильтре, а также нестабильности параметров схемы. Однако такой полный анализ весьма сложен. Поэтому целесообразно начать изложение с рассмотрения идеализированных схем выпрямителей, работающих на активную нагрузку, а затем учесть влияние характера нагрузки, внутренних сопротивлений и несинусоидальности питающих напряжений и т.п. на работу выпрямителей. В настоящей главе описаны вентили: выпрямительные диоды, тиристоры и идеализированные схемы выпрямления, работающие на активную нагрузку.
4.3. Вентили
Основные свойства. Для преобразования переменного тока в постоянный применяются приборы с односторонней (вентильной) проводимостью, сопротивление которых для тока одного направления намного меньше сопротивления для тока обратного направления.

Рис.5-3 Вольт-амперная характеристика неуправляемого вентиля:
а — идеализированного; б — реального
Вольт-амперная характеристика (ВАХ) показывает зависимость протекающего по вентилю тока от приложенного к электродам вентиля напряжения, т.е. l=f(U).
На рис.4.3 (а) показана ВАХ идеального неуправляемого вентиля - диода. При сколь угодно малом приложенном прямом напряжении Uпp в идеальном вентиле возникает прямой ток Iпр. При этом поскольку прямое сопротивление идеального диода равно нулю, то и соответствующее падение напряжения Uпр=0, следовательно, прямая ветвь ВАХ идеального вентиля совпадает с осью тока Iпр (вертикальна). При любых малых обратных напряжениях Uoбp диод обладает бесконечно большим сопротивлением и, следовательно, обратный ток по вентилю протекать не может, т. е. Iобр=0.
Вольт-амперная характеристика реального вентиля - выпрямительного диода VD показана на рис. 4.3,б. Прямое сопротивление этого диода больше нуля, поэтому протекание тока в прямом направлении вызовет соответствующее падение напряжения на нем. Обратное сопротивление диода имеет некоторое конечное значение, поэтому при приложении к электродам диода обратного напряжения в нем появляется небольшой обратный ток.
Таким образом, при положительной разности потенциалов между анодом и катодом выпрямительный диод любого вида “открывается” - проводит ток в прямом направлении, а при отрицательной разности потенциалов выпрямительный диод “закрывается”, т.е. ток, протекающий по нему в обратном направлении, намного меньше его прямого тока. Это основное свойство выпрямительного диода лежит в основе работы всех изучаемых ниже схем выпрямления.
Выпрямительные свойства описываемых диодов характеризуются рядом параметров, к которым относятся, как предельные эксплуатационные, так и средние (номинальные) параметры.
Основные параметры:
1. Iпр.ср маx, А,- максимально допустимый средний прямой ток. Это значение тока определяется мощностью, которая рассеивается на диоде.
2. Uобр.и мах, В, - максимально допустимое импульсное обратное напряжение, которое диод данного типа может выдержать, не подвергаясь опасности пробоя.
Если обратное напряжение схемы выпрямления (см. ниже табл. 4.1), в которой установлен диод, близко к пробивному Uпроб (рис. 4.3,6), то обратный ток диода резко увеличивается, что приводит к его пробою. Такое нарушение вентильного свойства выпрямительных диодов для большей части выпрямителей равносильно короткому замыканию вторичной обмотки трансформатора со всеми его последствиями. Значение Uобр.и тах принимается, как правило, в 1,5-2 раза меньше пробивного.
3. Unp.cp, В, - среднее прямое напряжение (падение напряжения на внутреннем сопротивлении диода) при токе Iпр.ср (рис. 4.3, 6), т.е. в открытом состоянии диода. Значение Uпр.ср определяет КПД выпрямительного устройства: чем меньше Uпр.ср, тем ниже потери и выше КПД данного устройства.
4. rдиф, Ом, - дифференциальное (внутреннее) сопротивление выпрямительного диода, которое представляет собой отношение малого приращения напряжения диода к малому приращению тока в нем при заданном режиме по току в прямом направлении. Значение rдиф определяется значением Uпр.ср данного диода и Iпр.ср - средним значением прямого тока вентиля (плеча) рассчитываемой схемы выпрямления.
Выпрямительные диоды характеризуются также динамическим сопротивлением rдин, (ГОСТ 25529-82), которое определяется наклоном прямой, аппроксимирующей прямую ветвь ВАХ.
5. Интервал температур окружающей среды, а также другие условия эксплуатации: влажность, давление, механические нагрузки и т. п., при которых обеспечиваются заданные электрические параметры.
Выбор типа диода производится по справочнику, при этом определяющими являются первые два параметра:
Iпр.ср маx и Uобр.и max, которые должны превышать соответствующие параметры выбранной схемы выпрямления.
У подобранного указанным путем диода одновременно определяется Unpcp; предпочтительными при этом являются диоды, у которых Uпр.ср имеет наименьшее значение.
В ИВЭП с высокочастотным преобразованием энергии используются импульсные или высокочастотные диоды, которые кроме статических параметров, приведенных на ВАХ, характеризуются также параметрами, определяющими их инерционные свойства; последние проявляются при переключении диода с прямого напряжения на обратное. Дело в том, что в момент смены полярности входного напряжения из-за инерционности носителей заряда диод еще некоторое время остается открытым и через него в обратном направлении протекает ток Iбобр. и, значение которого зависит от характера нагрузки выпрямителя и длительности фронта входного переменного напряжения. Таким образом, после смены полярности входного напряжения в течение определенного интервала времени происходит восстановление обратного сопротивления диода; этот интервал времени, называемый временем обратного восстановления диода tвос.обр, является важным параметром выпрямительных диодов, характеризующим их инерционные свойства.
Неуправляемые полупроводниковые вентили. К ним относятся германиевые, кремниевые и селеновые диоды.
Германиевые диоды. Конструктивное выполнение полупроводниковых выпрямительных диодов зависит от технологии получения р-п перехода и от их мощности; в зависимости от последней они делятся на маломощные, средней и большой мощности.
Обратное допустимое напряжение германиевых диодов различных типов составляет от 50 до 400 В; интервал рабочих температур от -50 до +70 °С. С повышением температуры обратное допустимое напряжение уменьшается, и по этой причине с ростом температуры окружающей среды приходится существенно уменьшать нагрузку выпрямительного диода, а также применять дополнительное охлаждение вентилей радиаторами.
Падение напряжения на германиевых диодах составляет 0,2-0,5 В. Срок службы 5-20 тыс. ч.
Германиевые диоды в основном используются в низковольтных выпрямительных устройствах.
Кремниевые диоды, несмотря на более сложную (по сравнению с германием) технологию получения чистого кремния, получили преимущественное применение по следующим причинам:
обратный ток - Iобр на один-два порядка меньше, чем у германиевых;
шире интервал рабочих температур (-60 - +125°С);
допустимое обратное напряжение Uoбp. и max выше, чем у германиевых, и достигает у некоторых диодов 1000 В;
предельная рабочая частота в 2-3 раза выше, чем у германиевых, вследствие меньшей собственной емкости кремниевых диодов.
Недостатком кремниевых диодов является большое падение напряжения на диоде, в 2-3 раза превышающее Uпр.ср германиевых диодов.
Как германиевые, так и кремниевые диоды весьма чувствительны к токовым перегрузкам, которые приводят к тепловому пробою - необратимому процессу, делающему диод полностью непригодным.
Находят все более широкое применение кремниевые диоды с лавинными характеристиками, к которым относятся диоды диффузионные, лавинные типов ВКДЛ и ВКДЛВ, последние - с водяным охлаждением. Эти диоды способны выдерживать кратковременные обратные перенапряжения, благодаря чему отпадает необходимость в защите этих диодов от пробоя.
Промышленностью выпускаются неуправляемые кремниевые диоды на токи до 1000 А с допустимым обратным напряжением до 1000 В, а также столбы и блоки, состоящие из нескольких диодов, причем в столбах диоды соединяются последовательно, а в блоках могут объединяться в выпрямительную схему. Прямое падение напряжения Uпр.ср кремниевых столбов различных типов находится в пределах 3- 12 В; допустимое обратное напряжение Uoбр.и.max достигает 15 кВ. Кремниевые диоды, столбы и блоки могут работать при температуре корпуса -60-+125°С; обесточенный диод выдерживает температуру до 150 °С.
Электровакуумные и ионные вентили имеют весьма ограниченное применение и вытесняются в последнее время полупроводниковыми, причем, как правило, кремниевыми.
Селеновые диоды, являясь одними из первых полупроводниковых вентилей, применялись до последнего времени благодаря высокой надежности, большому сроку службы, невысокой стоимости. Высокая надежность селеновых вентилей объясняется стойкостью их к токовым перегрузкам, число которых может быть любым, если перегрев вентиля не превышает нормы и, кроме того, эти вентили, обладая свойством “самозалечивания”, допускают длительное превышение питающего напряжения. Однако большие объем и масса, а также расформовка и старение, в процессе эксплуатации ухудшающие их вентильные качества, вызывают прогрессирующий отказ промышленности от использования селеновых вентилей.
Управляемые полупроводниковые вентили. К ним относятся триодные тиристоры, не проводящие в обратном направлении, которые в соответствии с ГОСТ 15133-77 [поз. III] называются далее тиристорами и обозначаются VS.
Тиристор - это четырехслойный р-п-р-п полупроводниковый прибор (рис. 4.4), который используется в качестве электронного ключа.

Рис. 4.4. Структура и вольт-амперная характеристика тиристора
Он включается при подаче на управляющий электрод УЭ короткого положительного импульса при условии, что на анод А подано положительное по отношению к катоду К напряжение. Статические ВАХ тиристора приведены на рис. 4.4. В открытом состоянии прямой ток через тиристор ограничивается сопротивлением нагрузки. Закрывается тиристор изменением полярности анодного напряжения или уменьшением тока удержания до значения меньше Iудт. В настоящее время существуют также полностью управляемые тиристоры, которые запираются подачей отрицательного импульса на УЭ, однако из-за значительной мощности управления такие тиристоры не находят широкого применения в ИВЭП.
Из рассмотрения статических ВАХ видно, что тиристор можно привести в открытое состояние путем увеличения приложенного к нему прямого напряжения до критического значения U'вклт без воздействия на управляющий переход (Iу=0). Тиристор может также перейти в открытое состояние и при меньшем значении напряжения, чем U'вклт если скорость его нарастания достаточно высока. Однако такое включение тиристора нежелательно, поэтому тиристоры нормально работают при входном синусоидальном напряжении, скорость нарастания которого не превышает нескольких десятков вольт за микросекунду.
Для тиристора различают параметры, относящиеся к цепи основного тока и цепи управления. Основная цепь тиристора, кроме параметров прямого тока, аналогичных параметрам силовых полупроводниковых диодов, характеризуется напряжением включения Uвклт. током включения Iвклт. а также током удержания Iудт, минимальное значение которого определяется режимом цепи управления. В свою очередь, цепь управления (как р-п переход) характеризуется напряжениями и токами в прямом и обратном направлениях.
Общая мощность Рт, рассеиваемая тиристором, состоит из мощности потерь в прямом и обратном направлениях по основной цепи и на управляющем электроде:

Надежность тиристоров, как любого полупроводникового прибора, обеспечивается выбором безопасных электрических и тепловых режимов работы.
Максимально допустимые токи по основной цепи определяются конструкцией тиристора. Нагрев тиристора зависит от падения напряжения и действующих значений токов по основной цепи и управляющему электроду. Отношение

между максимальным значением постоянного тока в открытом состоянии и его средним значением должно учитываться при расчете режимов работы.
Максимально допустимое напряжение (прямое и обратное) ограничивается областью электрического пробоя тиристора, поэтому номинальное рабочее напряжение должно выбираться с запасом.

Для увеличения максимально допустимого обратного напряжения управляющий электрод тиристора соединяют через резистор с катодом или он должен находиться под отрицательным потенциалом по отношению к катоду. Для обеспечения надежной работы номинальное обратное напряжение на тиристоре не должно превышать (0,6- 0,7) X Uобрmaxт.
Прямое напряжение включения U'вклт (рис 4.4) является критическим напряжением, при котором тиристор, имеющий предельную температуру корпуса, переходит в открытое состояние при отсутствии тока управляющего электрода. Превышение этого напряжения может привести к разрушению структуры тиристора. Поэтому перевод тиристора из запертого состояния в проводящее не рекомендуется производить увеличением прилагаемого к нему напряжения при отсутствии тока управляющего электрода. Существенное влияние на устойчивость к самооткрыванию тиристора за счет увеличения напряжения Uвклт или скорости его нарастания dUвкл/dt оказывает также соединение управляющего электрода с катодом через резистор сопротивлением несколько сот Oм.
Качество и надежность работы тиристоров существенно зависят от режима работы цепи управления, входные ВАХ которой имеют большой разброс от образца к образцу одного и того же типа приборов. Кроме того, ток и напряжение управления (как и в любом полупроводниковом приборе) изменяются при изменении температуры перехода. Поэтому для каждого типа тиристоров существует граница минимальных значении напряжения отпирания Uу.отm и тока Iу.отт, выше которых тиристор надежно включается в диапазоне изменения температуры от минимального до максимального значений.
В справочных данных обычно приводится максимально допустимая средняя мощность управления Ру.ср.max.т. хотя тиристоры, как правило, управляются короткими импульсами и для цепи управления необходимо знать допустимую импульсную мощность Ру.итаxт, которая превышает среднее значение мощности. Для прямоугольных управляющих импульсов

где Tпов—период повторения; tи.у—длительность импульса управления.
При синусоидальном управляющем импульсе.

Кривые допустимой мощности совместно с областью границы отпирании Uу.отт, Iу.отт позволяют построить нагрузочные прямые и определить выходные параметры источника сигнала управления; рабочая точка при всех условиях эксплуатации должна находиться внутри области семейства входных ВАХ.
Tиристоры выпускаются на токи от сотен миллиампер до сотен ампер с обратным допустимым напряжением до 1000 В и более. Интервал рабочих температур: от -50 до +120°С. Срок службы тиристоров составляет не менее 5 тыс.ч.
Тиристоры широко применяются в управляемых выпрямителях, вытеснив управляемые ионные вентили (тиратроны), чему способствовали: меньшее падение напряжения в прямом направлении, меньшая инерционность тиристора, более высокий коэффициент усиления по мощности, более широкий диапазон рабочих температур, а также более высокие КПД, надежность и срок службы.
Основным недостатком тиристора является зависимость его параметров от температуры.
Для стабилизации параметров тиристоров при изменении температуры применяют радиаторы и другие способы охлаждения, аналогичные способам охлаждения диодов и транзисторов.
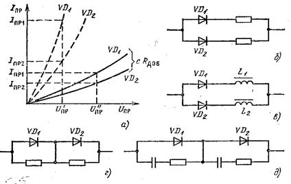
На практике нередко возникают ситуации, когда допустимое среднее значение прямого тока диода оказывается недостаточным для обеспечения больших токов нагрузки; в этих случаях приходится применять параллельное соединение диодов. Однако при параллельном включении диодов из-за несовпадения их ВАХ токи в диодах будут неодинаковыми (рис. 4.5,а). Для выравнивания токов при параллельном включении диодов в маломощных выпрямителях последовательно с ними устанавливаются резисторы с одинаковыми сопротивлениями, включение которых позволяет уменьшить разность токов в диодах (рис.4.5,а, б). Однако эти резисторы уменьшают КПД схемы, и поэтому применять их в мощных выпрямителях не рекомендуется.

Рис.4.5 Параллельное и последовательное соединения диодов
Если диоды включаются параллельно без уравнительных сопротивлений, то необходимо применить заведомо увеличенное число диодов, тем самым уменьшить ток в каждом из них, а значит, исключить опасность перегрузки.
В мощных выпрямителях вместо резисторов последовательно с каждым диодом включают специальные токовыравнивающие реакторы (дроссели с сердечниками L1, L2). На этих дросселях (рис. 4.5, в) при протекании тока создается противо-ЭДС, пропорциональная этому току, что и приводит к выравниванию токов дросселей, а значит, и диодов.
Диоды одного типа можно соединить последовательно для увеличения обратного допустимого напряжения. Однако из-за несовпадения обратных ветвей ВАХ обратные напряжения распределятся между диодами неравномерно. Для выравнивания обратных напряжений диоды малой и средней мощности необходимо шунтировать высокоомными резисторами (рис. 4.5,г).
Если диоды включаются последовательно без шунтирующих резисторов, то необходимо заведомо увеличить число диодов при этом обратное напряжение на каждом из них снижается (не менее чем на 25 %) и исключается опасность перенапряжении.
В выпрямителях большой мощности этот способ выравнивания непригоден из-за значительных потерь в шунтирующих резисторах. Поэтому в этих случаях применяются шунтирующие RС-цепочки (рис. 4.5д), причем сопротивление шунтирующих резисторов равно 500-2000 Ом (меньшее значение соответствует более мощным диодам); включение конденсаторов позволяет снизить коммутационные перенапряжения. Иногда в качестве реактивных делителей включаются только шунтирующие конденсаторы.
Поскольку германиевые и кремниевые диоды чувствительны к токовым перегрузкам и перенапряжениям, то необходимо принимать специальные меры по защите этих диодов и всей системы электропитания. Кремниевые диоды с лавинными характеристиками выдерживают кратковременные перенапряжения, что упрощает их защиту.
4.4. Работа выпрямителя на активное сопротивление
Режим работы выпрямителя в значительной степени зависит от характера его нагрузки, так как цепи переменного и постоянного тока электрически связаны между собой.
Случай идеальной активной нагрузки выпрямителя относительно редок и находит применение лишь для питания цепей, не требующих ограничения переменной составляющей в кривой выпрямленного напряжения (цепи сигнализации, контроля, защиты и т. д.). Схема многофазного выпрямителя, нагруженного на активное сопротивление, изображена на рис. 4.6. Такой выпрямитель состоит из трансформатора, имеющего m-фазную систему вторичных обмоток (на схеме показан частный случай трехфазной обмотки), соединенных звездой, а свободные зажимы их подключены к анодам вентилей. Катоды всех вентилей соединены в общую точку, образуя положительный полюс на выходе выпрямителя. Отрицательным полюсом является средняя точка вторичных обмоток трансформатора. Если свободные зажимы вторичных обмоток трансформатора подключить к катодам вентилей, то изменится полярность выходного напряжения. Однако этого не делают, так как однотактные схемы (схемы, в которых ток в обмотке трансформатора не меняет направления) находят применение в основном в ионных вентилях. При соединении катодов в общую точку можно ограничиться одним трансформатором накала, а в ртутных выпрямителях при любом числе анодов имеется один общий катод и, следовательно, схема с объединенными анодами невозможна.

Рис 4.6. Схема трехфазного выпрямителя, нагруженного на активное сопротивление.
Для упрощения будем считать вентили и трансформатор идеальными, т. е. сопротивление вентиля в прямом направлении равно нулю, а в обратном - бесконечно велико и трансформатор не имеет активного и реактивного сопротивлении. При включении первичной обмотки в сеть переменного тока в фазах вторичных обмоток индуктируются э.д.с. uа, иb, uc, сдвинутые по фазе на 2p/m (в трехфазной схеме на 2p/3), что изображена на рис. 4.7,а. Выбрав произвольно момент времени t1, видим, что анод вентиля 1 (рис. 4.6) имеет наиболее высокий потенциал по отношению к катоду. Следовательно, вентиль 1 открыт и под действием э.д.с. ua будет протекать ток от точки а фазы вторичной обмотки, вентиль 1, сопротивление нагрузки rн к нулевой 0 точке вторичных обмоток трансформатора. Напряжение на нагрузке равно мгновенному значению э.д.с. uа. так как падение напряжения в идеальном выпрямителе (в трансформаторе и вентиле) равно нулю. В момент t1 в фазе с напряжение также положительно, но меньше, чем uа. Поэтому потенциал анода вентиля 3 ниже, чем потенциал его катода, и, следовательно, вентиль 3 будет закрыт.
Таким образом, в течение части периода 2p/m э.д.с. в фазе а имеет наиболее положительное значение и вентиль 1 остается открытым. Начиная с момента времени t2, наиболее положительное значение приобретает э.д.с. фазы un, вследствие чего открывается вентиль 2 и вступает в работу фаза b. Начиная с момента t3 вступает в работу фаза с и т. д.
Напряжение на выходе выпрямителя u0 в любой момент равно мгновенному значению э. д. с. фазы вторичной обмотки, в которой вентиль открыт, и, следовательно выпрямленное напряжение ио имеет вид кривой, огибающей напряжения всех фаз (рис. 4.7,б). Так как ток в нагрузке равен отношению выпрямленного напряжения к сопротивлению нагрузки, т. е. i0=ио/rн, то в ином масштабе кривая u0 представляет собой кривую тока io.

Рис 4.7. Кривые изменения во времени. а - фазовых напряжений вторичных обмоток; б - выходного напряжения выпрямителя и тока нагрузки;
в - тока в фазе вторичной обмотки трансформатора.
Таким образом, в идеальном выпрямителе, нагруженном на активное сопротивление, каждая фаза вторичной обмотки трансформатора работает один раз за период в течение части периода 2p/m, причем ток в работающей фазе равен току нагрузки. Кривая тока в фазе о вторичной обмотки (риc. 4.7.в) имеет форму прямоугольника с основанием 2p/m и ограниченного сверху отрезком синусоиды. Токи в фазах б и с изобразятся подобными кривыми, сдвинутыми по фазе относительно кривой тока фазы а на 2p/m и 2*2p/m соответственно.
Выбрав начало отсчета времени в момент, соответствующий амплитуде напряжения в фазе вторичной обмотки Uмакс (рис. 4.8), выпрямленное напряжение и0 в интервале wt=±p!m определим следующим выражением:

Постоянная составляющая (среднее значение) выпрямленного напряжения

При расчете выпрямителя задается выпрямленное напряжение на нагрузке и определяется напряжение фазы вторичной обмотки трансформатора, действующее значение которого равно:

Кривая выпрямленного напряжения, помимо постоянной составляющей, содержит также переменную составляющую. Так как период изменения кривой u0 в т раз меньше периода изменения тока питающей сети, частота первой гармоники переменной составляющей в m раз больше частоты тока питающей сети, т. е. f1=mfc.

Рис 4.8. Кривая выпрямленного напряжения и его постоянная составляющая.
Гармонический ряд для кривой u0 имеет вид:

где u1, и2, ...,- амплитуда первой, второй и т. д. гармоник: w - угловая частота тока питающей сети.
В силу симметрии кривой ио относительно оси ординат все члены с синусами в гармоническом ряде отсутствуют. Амплитуда k-й гармонической переменной составляющей

Это выражение справедливо при m>=2.
Содержание переменной составляющей в кривой выпрямленного напряжения в относительных единицах или процентах определяется соотношениями:

На практике переменная составляющая или пульсация напряжения оценивается то первой гармонике, имеющей наибольшую амплитуду и наинизшую частоту. Для первой гармоники (k =1) пульсация равна;

Так как каждая фаза вторичной обмотки трансформатора и каждый вентиль в однотактных схемах работают один раз за период в течение части периода 2p/m, то среднее значение тока в обмотке трансформатора и через вентиль в т раз меньше тока нагрузки, т.е Iср=Io/m.
Действующее значение тока вторичной обмотки и вентиля

где Iмакс—амплитуда тока вторичной обмотки, равная

Коэффициент формы кривой тока вторичной обмотки

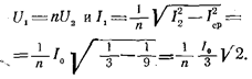
Линейное напряжение первичной обмотки U1 отличается от линейного напряжения вторичной обмотки трансформатора U2л на коэффициент трансформации n, т. е. U1л=U2лn. Отсюда легко определить соотношение между величинами фазных напряжений вторичной и первичной обмоток для различных схем соединения последних. Соотношения между токами в фазах первичных и вторичных обмоток зависят не только от коэффициента трансформации и схемы соединения первичных обмоток, но от числа фаз первичных m1 и вторичных m2 обмоток.
При одинаковом числе фаз первичных и вторичных обмоток (m1=m2) и одинаковых схемах соединения обмоток (звезда-звезда) действующее значение тока фазы первичной обмотки меньше приведенного значения тока вторичной обмотки, так как в кривой тока первичной обмотки отсутствует постоянная составляющая, т.е.

Если число фаз вторичных обмоток больше числа фаз первичных обмоток (m2>m1) в 2, 3 и т. д. раза, то в каждой фазе первичной обмотки будет m2/m1 импульсов тока за период и действующее значение равно:

Полезная мощность выпрямителя равна произведению выпрямленного напряжения на ток (средние значения), т. е.

Мощность, на которую должны быть рассчитаны трансформатор и вентили, определяется не только постоянной, но и переменной составляющей тока и напряжения. Эта мощность, называемая габаритной, больше полезной и определяется действующими значениями напряжения и тока, т. е.

где P2, P1, Ртр - габаритные мощности соответственно вторичной, первичной обмотки и трансформатора.
В однотактных схемах выпрямления габаритная мощность цепи вторичных обмоток больше, чем в цепи первичных (P2>P1), вследствие постоянной составляющей в кривой тока вторичной обмотки (при т1=т2) или худшего использования вторичных обмоток (при m2>m1).
В реальном выпрямителе имеют сопротивления как вентили (прямое), так и трансформатор (активное и индуктивное), и, следовательно, при нагрузке выпрямителя возникает падение напряжения в этих сопротивлениях, так что напряжение при нагрузке будет меньше, чем при холостом ходе.
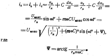
4.5. Работа выпрямителя на нагрузку ёмкостного характера
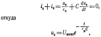
При работе многофазного выпрямителя (например, трехфазного) на нагрузку, шунтированную конденсатором (рис. 4.9), реакция нагрузки на выпрямитель будет определяться емкостью конденсатора, сопротивление которого много меньше сопротивления нагрузки. Напряжение на обкладках конденсатора равно напряжению на нагрузке (uc=uo), так как они соединены параллельно.
Вентили, включенные в фазах вторичных обмоток, будут открыты в моменты, когда на аноде вентиля потенциал выше потенциала катода. Если вентили идеальные, т. е. не обладают сопротивлением в прямом направлении, то падение напряжения на вентиле равно нулю, т. е. при открытом вентиле


Рис. 4.9. Схема трехфазного выпрямителя, работающего на нагрузку, шунтированную емкостью.
Таким образом, при открытом вентиле выпрямленное напряжение ио представится отрезком синусоиды (участок а—б) э.д.с. вторичной обмотки (рис. 4.10).

Рис. 4.10. Кривые изменения во времени выпрямленного напряжения uо и тока в вентиле ia.
Ток в вентиле ia может быть представлен суммой токов заряда конденсатора ic и тока нагрузки io, т. е.

Следовательно, ток через вентиль iа представляет синусоидальный импульс длительности 20 с амплитудой, зависящей от параметров цепи нагрузки - rн и С.
В момент, соответствующий точке б на рис. 4.10, напряжение вторичной обмотки u2 становится меньше, чем напряжение на конденсаторе, т. е. анод вентиля оказывается под потенциалом, меньшим потенциала катода. Следовательно, вентиль закрывается (ia=0), т. е.

так как конденсатор может заряжаться до наибольшего возможного напряжения, равного амплитуде э. д. с. вторичной обмотки трансформатора. Кривая выпрямленного напряжения при этом (участок б - в) представляет собой отрезок экспоненты, соответствующей напряжению на конденсаторе при его разряде на нагрузку.
В точке а открывается вентиль, включенный во вторую фазу вторичной обмотки трансформатора, и начинается вновь заряд конденсатора до Uмакс
Таким образом, при работе выпрямителя на емкостную нагрузку каждая фаза вторичном обмотки работает один раз за период в течение части периода, характеризуемой углом отсечки 0 и меньшей 1/т части периода (20<2p/m).
Выпрямленное напряжение и ток через вентиль зависимы от параметров цепи нагрузки —rн и С. Увеличение нагрузки выпрямителя, т. е. уменьшение сопротивления rн вызывает понижение среднего значения выпрямленного напряжения Uo, так как разряд конденсатора будет происходить быстрее (участок б—в кривой ио пойдет ниже). При этом увеличатся пульсация выпрямленного напряжения, длительность работы фазы (угол отсечки q) и амплитуда тока через вентиль.
Увеличение емкости конденсатора приведет к повышению выпрямленного напряжения (участок б—в кривой иo пойдет выше), снизит пульсацию напряжения, уменьшит длительность работы фазы (угол отсечки q) и увеличит амплитуду тока через вентиль. Так как с увеличением амплитуды тока через вентиль действующее значение тока подрастает при неизменном среднем значении (нагрузка неизменна), то значительное увеличение емкости конденсатора может вызвать недопустимый нагрев вентиля и выход его из строя.
Если рассматривать кривую выпрямленного напряжения в виде двух линейных зависимостей, то выпрямленное напряжение и eго пульсация (наибольшие отклонения от среднего значения) могут быть определены из следующих выражений:

При очень малых углах отсечки (2q <<2p!т) эти выражения примут следующий вид:

В реальном выпрямителе вследствие падения напряжения в сопротивлении вентиля и обмоток трансформатора кривая выпрямленного напряжения будет расположена ниже кривой, изображенной на рис. 4.10.
При проектировании выпрямителей, работающих на емкостную реакцию, наиболее широко используется графоаналитический метод, позволяющий определить все параметры выпрямителя как функции угла отсечки
или зависимой от него величины. Упрощающими допущениями этого метода являются следующие:
1. Выпрямленное напряжение, равное напряжению на зажимах конденсатора (uo=uc), неизменно во времени (рис. 4.11.). Это упрощение позволяет исключить емкость из всех расчетных соотношений.
2. Прямее сопротивление вентиля неизменно, а обратное - бесконечно велико.

Рис:. 4.11. Временные диаграммы напряжений и тока для расчета выпрямителя, работающего на ёмкостную нагрузку.
3. Трансформатор обладает только активным сопротивлением, а индуктивное сопротивление рассеяния равно нулю.
4. Напряжение питающей сети имеет неискаженную синусоидальную форму и все элементы схемы выпрямителя строго симметричны.
Ток в вентиле возникает в часть периода (-q<=wt<=+q), когда напряжение в фазе вторичной обмотки больше выпрямленного (u2>=Uo), и равен:

где rв=rпр+rтр - внутреннее сопротивление выпрямителя; rпр-сопротивление вентиля в прямом направлении; rтр - активное сопротивление обмоток трансформатора, Так как при wt=±q u2=Uo, то Uo=Uмакс cosq и ток через вентиль ia=Uмакс/rв(соswt-cosq). Постоянная составляющая тока нагрузки

где А - расчетный параметр, зависящий от угла отсечки и определяемый следующим выражением:

Величины Uо и Iо задаются в начале расчета, т определяется выбором схемы выпрямления, а rв предварительно ориентировочно определяется в зависимости от Uo,Io,m и типа вентилей.
Так как все величины, характеризующие работу выпрямителя (действующее значение напряжения и тока вторичной обмотки, габаритная мощность трансформатора, среднее, действующее и амплитудное значения тока в вентиле, обратное напряжение на нем. пульсация выпрямленного напряжения и внешняя характеристика выпрямителя), зависят от угла отсечки q, то они также зависят от расчетного параметра А.
Метод расчета выпрямителя сводится к установлению зависимостей всех указанных величии от расчетного параметра А.. На основании этих зависимостей строятся графические характеристики.
Если на выходе выпрямителя параллельно нагрузке включен источник э. д. с., то работа выпрямителя будет происходить аналогично его работе на нагрузку, имеющую емкостный характер.
4.6. Работа выпрямителя на нагрузку индуктивного характера
При работе многофазного (на схеме трехфазного) однотактного выпрямителя на нагрузку rд, последовательно с которой включен дроссель (рис. 4.12.) с достаточно большой индуктивностью (тwL>>rн), реакция нагрузки на выпрямитель будет определяться индуктивностью дросселя. Если принять индуктивность дросселя бесконечно большой (L®¥), то любое изменение тока в дросселе будет создавать в его обмотке бесконечно большую э.д.с. самоиндукции (eS=-Ldi0/dt), препятствующую изменениям тока. Следовательно, ток как в дросселе, так и в нагрузке Iо не может претерпевать изменений во времени.
При идеальные вентилях (rпр=0 и rобр=¥) и трансформаторе (rтр=0 и Xтр=0) выпрямленное напряжение uo, как и при работе на активную нагрузку, имеет форму кривой, огибающей напряжения в фазах вторичных обмоток трансформатора (рис. 4.13), и может быть представлено гармоническим рядом

Так как ток в нагрузке Io не претерпевает изменений во времени (при rн=соnst), то н напряжение на нагрузке постоянно и равно:

При бесконечно большой индуктивности дросселя переменная составляющая выпрямленного напряжения будет на его обмотке

Каждая фаза вторичной обмотки трансформатора работает в течение периода один раз, и длительность работы фазы составляет 1/m часть периода. В любой момент работает только одна фаза, имеющая наибольшее положительное напряжение. При этом ток н фазе вторичной обмотки трансформатора и в вентиле неизменен и равен току нагрузки Io, т. е. ток в фазе вторичной обмотки может быть изображен прямоугольной зависимостью с высотой Iо и основанием 2p/m (рис. 4.13.).

Рис. 4.12. Схема трехфазного выпрямителя работающего на нагрузку индуктивного характера.

Рис 4.13. Кривая выпрямленного напряжения и тока и фазе вторичной обмотки трансформатора m-фазной схемы выпрямителя, работающей на индуктивную нагрузку
Среднее значение тока в вентиле и в фазе вторичной обмотки трансформатора

и действующее значение тока

Таким образом, коэффициент формы кривой тока вторичной обмотки трансформатора при работе выпрямителя на нагрузку индуктивного характера
.
Это выражение показывает, что с увеличением числа фаз выпрямления действующее значение тока вторичной обмотки трансформатора возрастает при неизменном среднем значении, так как при этом сокращается время работы каждой фазы, и содержание высших гармонических в кривой тока увеличивается. Вследствие этого ухудшается использование трансформатора, и его габаритная мощность возрастает с увеличением числа фаз выпрямления. На (рис. 4.14.а) изображены кривые тока в фазе вторичной обмотки трансформатора выпрямителя, работающего на нагрузку индуктивного характера и при двух-. трех- и шестифазной схеме выпрямления и одинаковых средних -значениях тока вентиля. При емкостном характере нагрузки (рис 4.14.б) длительность работы фазы (2q) меньше, чем при индуктивном, и при одинаковых средних значениях тока вентиля (имеются в виду одинаковые схемы выпрямления и примерно одинаковые мощности в нагрузке) содержание высших гармоник в кривой тока iс будет больше чем в кривой iL. Поэтому при работе выпрямителя на нагрузку емкостного характера действующее значение тока в вентиле и в обмотках трансфоматора, а также габаритная мощность последнего значительно больше, чем при работе выпрямителя на индуктивную нагрузку

Рис. 4.14. Кривые тока в фазе вторичной обмотки трансфоматора и в вентиле.
а – для двух- (i2), трех- (i3) и шестифазной (i6) схемы при работе на индуктивную нагрузку; б – при работе на индуктивную (iL) и емкостную (iC) нагрузки.
Габаритная (расчетная) мощность вторичной цепи трансформатора

так как в однотактных схемах т2=т.
Напряжение первичной обмотки трансформатора равно напряжению вторичной обмотки, умноженному на коэффициент трансформации n при одинаковых схемах соединения обмоток (звезда—звезда), т. е.

а при различных схемах соединения обмоток (многоугольник—звезда) появится еще дополнительный множитель 2 sin (p/m). Ток в фазе первичной обмотки равен току фазы вторичной обмотки, деленному на коэффициент трансформации и множитель, характеризующий схемы соединения первичных и вторичных обмоток. При одинаковых числах фаз первичной и вторичной обмоток (m1=m2) в кривой тока фазы первичной обмотки нет постоянной составляющей, т. е.

а при различном числе фаз (m2.>m1) в кривой тока первичной обмотки будет несколько импульсов тока, т. е.

Габаритная мощность первичной цепи трансформатора при т2=m1 равна:

Габаритная мощность цепи первичных обмоток меньше, чем цепи вторичных, так как в первом случае (m2 =m1) кривая тока первичной обмотки не содержит постоянной составляющей, а во втором случае (m2>m1) повышается использование первичных обмоток.
Габаритная мощность трансформатора определяется из выражения

4.7. Работа выпрямителя на смешанную нагрузку
На идеально емкостную нагрузку выпрямитель работает относительно редко, а на идеально индуктивную - почти никогда. Наиболее широко используется совместное включение индуктивных и емкостных элементов на выходе выпрямителя по определенной схеме.
При включении реактивных элементов (L и С) по Г-образной схеме (рис. 4.15,а), необходимо, чтобы индуктивное сопротивление дросселя для низшей частоты пульсации (mw) было много большим, чем емкостное сопротивление конденсатора, т. е. mLw>>1/mwC. В этом случае напряжение на конденсаторе практически постоянно и конденсатор не оказывает никакого влияния на режим работы выпрямителя. Режим работы выпрямителя в этом случае определяется индуктивностью дросселя и подобен работе выпрямителя на нагрузку индуктивного характера. Если индуктивное сопротивление дросселя будет меньше емкостного сопротивления конденсатора (mwL<1/mwC) для низшей частоты пульсации, то работа выпрямителя будет подобна работе на емкостную нагрузку, но амплитуда переменной составляющей в кривой выпрямленного напряжения окажется большей, чем при работе схемы на чисто емкостную нагрузку с неизменными параметрами. В дросселе с малой индуктивностью будет индуктироваться э. д. с. Самоиндукции

направленная встречно изменениям тока в дросселе. Эта э. д. с. понизит конечное напряжение разряда конденсатора (рис. 4.16.) и увеличит напряжение, до которого зарядится конденсатор.

Рис 4.15. Схемы включения индуктивностей и емкостей на выходе выпрямителя. а - Г-образная; б - П-образная.
Если на выходе выпрямителя конденсатор и индуктивность включены по П-образной схеме (рис. 4.15,б), то работа выпрямителя будет подобна работе на емкость, так как емкостное сопротивление входного конденсатора фильтра для низшей частоты пульсации (1/mwC) много меньше сопротивления всех элементов, включенных после него, т.е. Переменная составляющая тока замкнется в основном через конденсатор C1.
Таким образом, работа выпрямителя на смешанную нагрузку эквивалентна работе на индуктивность или на емкость в зависимости от схемы их соединения и соотношения сопротивлений для низшей частоты переменной составляющей выпрямленного напряжения.

Рис. 4.16- Кривые напряжения на выходе выпрямителя.
1 - при емкостной нагрузке; 2 - э. д. с. самоиндукции дросселя; 3 - выходное напряжение.
4.8. Влияние сопротивления вентиля, активного и индуктивного сопротивлений обмоток трансформатора на работу выпрямителя
Сопротивление вентиля в прямом направлении (rпр) и активное сопротивление обмоток трансформатора (rтр=r2+r'1) определяют внутреннее сопротивление выпрямителя (rв=rпр+rтр), падение напряжения на котором i0rв понижает напряжение на выходе. С увеличением тока нагрузки падение напряжения на внутреннем сопротивлении выпрямителя увеличивается и напряжение на выходе понимается при любом характере нагрузки.
При емкостном характере нагрузки внутреннее сопротивление выпрямителя вызывает понижение напряжения в течение части периода, соответствующей открытому состоянию вентиля. С увеличением внутреннего сопротивления выпрямителя понижается выходное напряжение и увеличивается угол отсечки (q). При неизменных параметрах цепи нагрузки (rн и С) увеличение внутреннего сопротивления выпрямителя уменьшает пульсацию напряжения.
При работе выпрямителя на нагрузку индуктивного характера внутреннее сопротивление выпрямителя понижает выпрямленное напряжение и в многофазных выпрямителях (при m>2) приводит к перекрытию фаз (рис. 4.17.). Положительные значения э. д. с. и напряжения в фазах вторичных обмоток перекрывают друг друга в интервале

и в течение некоторой части периода, соответствующей углу перекрытия фаз g, две фазы (а и b) вторичных обмоток трансформатора работают одновременно. В фазе а, заканчивающей работу, ток iа уменьшается за время перекрытия фаз от значения Io до 0, а в фазе b, вступающей в работу, -увеличивается от 0 до Iо. причен сумма токов двух фаз равна току нагрузки (iа+iв=Io), который при бесконечно большой индуктивности на выходе выпрямителя неизменен.
При выбранном начале отсчета времени на рис. 4.17. э. д. с. в фазах а и b определяется следующими выражениями:

Так как вентили в фазах a и b открыты, то напряжение на выходе выпрямителя в течение части периода, соответствующей углу перекрытия g, равно:


откуда


Рис. 4.17. Временные диаграммы выпрямленного напряжения и токов в фазах вторичных обмоток многофазного выпрямителя при учете внутреннего сопротивления.
Угол перекрытия фаз гложет быть определен из условия:
при

э. д. с. фазы а, заканчивающей работу (или фазы в, вступающей в работу), равна напряжению на фазе в (или на фазе а), т. е,

откуда

Выпрямленное напряжение при наличии перекрытия фаз определяется следующим выражением:

При небольших углах перекрытия

и напряжение на выходе выпрямителя при нагрузке составит:

При работе многофазного выпрямителя на активную нагрузку также возникает перекрытие фаз, изменяющее форму кривой выпрямленного напряжения.
Индуктивные сопротивления обмоток трансформатора

обусловленные потоками рассеяния, также оказывают влияние на работу выпрямителя при любом характере его нагрузки.
При работе выпрямителя на емкостную нагрузку в случае отсутствия индуктивностей рассеяния обмоток трансформатора (LS=0) работа вентилей происходит с отсечкой (рис. 4.18.) и ток в фазе вторичной обмотки трансформатора (кривая i2 при Ls=0 имеет форму синусоидального импульса длительностью 2 q.
При наличии индуктивности рассеяния, ток в фазе вторичной обмотки трансформатора, так же как и в случае Ls=0 начинается в момент равенства э. д. с. вторичной обмотки и выпрямленного напряжения (u2=U0), т. е.

но его увеличение замедляется вследствие - э. д с. самоиндукции

препятствующей изменениям тока, В момент

ток i2 не уменьшается до 0, так как при его уменьшении возникает э. д. с. самоиндукции, направленная согласно э. д. с. вторичной обмотки ив, в результате чего длительность работы фазы увеличивается и составляет 2q+b. Индуктивность рассеяния изменяет также форму импульса тока и уменьшает его амплитуду.
Изменение тока через вентиль во времени определится из следующего уравнения:
(4.1.)
решение которого имеет следующий вид:

где


Рис. 4.18. Временные диаграммы выпрямленного напряжения и тока вторичной обмотки трансформатора при L=0 и L ¹ 0
При малых yглах j (j<=15°) индуктивности рассеяния обмоток трансформатора в малой степени влияют на параметры выпрямителя и этим влиянием можно пренебрегать. Влияние индуктивностей рассеяния проявляется в выпрямителях высоких напряжений тем сильнее, чем больше их мощность, а в выпрямителях с вентилями, имеющими малое сопротивление в прямом направлении (германиевые и кремниевые), при повышенных частотах (400 Гц и более).
При работе реального выпрямителя, обладающего внутренним сопротивлением rв и индуктивностью рассеяния обмоток трансформатора, на нагрузку индуктивного характера, изменяются формы кривых выпрямленного напряжения и тока в фазах вторичных .и первичных обмоток трансформатора.
На рис. 4.19. показана схема трехфазного выпрямителя, подобно которой может быть представлена схема для любого числа фаз. Влияние внутреннего сопротивления rв выпрямителя на его работу рассмотрено выше. Индуктивные сопротивления обмоток трансформатора препятствуют мгновенным изменениям тока в фазах вторичных обмоток. При изменении тока возникают э. д. с. самоиндукции eS=-Ldi/dt препятствующие изменениям тока. Поэтому в момент переключения нагрузки с одной фазы па другую ток не может мгновенно изменяться от Iо до 0 в фазе а, заканчивающей работу, и от 0 до Io в фазе b, вступающей в работу. Таким образом, в течение некоторой части периода, соответствующей углу перекрытия, две фазы работают одновременно, причем в фазе а ток постепенна уменьшается до 0, а в фазе b увеличивается до Iо. При большем числе фаз выпрямления и больших нагрузках возможна одновременная работа более чем двух фаз.

Рис. 4.19. Схема реального трехфазного выпрямителя, обладающего внутренним активным и индуктивным сопротивлением и работающего на нагрузку индуктивного характера.
За время перекрытия в каждой фазе действуют э. д. с. вторичной обмотки трансформатора и э. д. с. рассеяния eS которая в фазе а, прекращающей работу, направлена согласно с током, а в фазе Ь, вступающей в работу - встречно току. Напряжение на выходе выпрямителя при перекрытии фаз равно алгебраической сумме э. д. с. фазы вторичной обмотки и э. д. с. рассеяния, т. е.

При бесконечно большой индуктивности дросселя на выходе выпрямителя L®¥ ток в нагрузке неизменен во времени (Io=const) и при одновременной работе фаз сумма токов их постоянна ia+ib=Io=const, т.е. уменьшение тока ia за некоторое время вызывает равное увеличение тока ib. Следовательно,

и уравнение (4.3.) примет следующий вид:

откуда

Таким образом если до начала коммутации был открыт вентиль 1 (рис. 4.9.) и напряжение uo определялось э. д. с. фазы а (рис.4.20,а), то по окончании процесса коммутации (wt=g) открыт только вентиль 2 и напряжение на выходе равно э. д. с. фазы Ь. За время перекрытия фаз напряжение uo равно полусумме мгновенных значений э.д.с. коммутируемых фаз. При выбранном начале отсчета времени

и выпрямленное напряжение при перекрытии фаз будет равно:
(5.6)

Рис. 4.20. Кривые выпрямленного напряжения (а) и тока (б) в фазах вторичных обмоток трансформатора с учетом влияния индуктивных сопротивлений этих обмоток.
Из выражения (4.4) получим:
(4.7)
так как разность мгновенных значений э. д. с. двух фаз равна линейной
э.д,с., где Uтл — амплитуда линейной э. д. с.. равная
(4.8)
Решение уравнения (4.7.) будет иметь вид:
(4.9)
Постоянная интегрирования C определится из условна: при wt=0 iь=0. Следовательно,
(4.10)

Это уравнение справедливо для ib<=Io, так как при ib=Io вся нагрузка переходит на фазу b, а в фазе а ток становится равным нулю. Кривые токов в фазах а и b показаны на рис. 4.20,b.
При wt=g, ib=Io выражение (4.10.) перепишется так:
(4.11)
откуда
(4.12)
Таким образом, угол перекрытия g будет тем больше, чем больше ток нагрузки, индуктивные сопротивления обмоток трансформатора и число фаз выпрямителя. Перекрытие фаз вызывает понижение выпрямленного напряжения, увеличиваем его пульсацию и время работы каждой фазы. Это время оказывается пропорциональным углу 2p/m+g, а не углу 2p/m, имеющемуся в выпрямителе без потерь. Увеличение длительности работы фазы приводит к некоторому уменьшению действующего значения тока в вентиле и в обмотках трансформатора, снижая их нагрев.
Понижение выпрямленного напряжения за счет перекрытия фаз происходит на величину (рис. 4.20,a), равную

Из (4.12.) и (4.13.) получим:
(4.14.)
и напряжение при нагрузке
(4.15.)
где Uox - выпрямленное напряжение при холостом ходе. С учетом внутренних активных и индуктивных сопротивлений выпрямленное напряжение при нагрузке составит:
(4.16.)
4.9. Однополупериодная схема выпрямления
Простейшей схемой выпрямления является однополупериодная, которая изображена на рис. 4.21. при различных видах нагрузки: активной, активно-емкостной и активно-индуктивной. В зависимости от вида нагрузки соотношения между всеми параметрами схемы выпрямления, так же как и в любой иной схеме, различны.
При идеально активной нагрузке вентиль открыт в течение половины периода, когда на его аноде будет положительный потенциал. Поэтому выпрямленное напряжение в течение этой половины периода будет численно равно э. д. с. вторичной обмотки трансформатора (рис. 4.22,а).
В течение другой половины периода вентиль закрыт и напряжение на выходе выпрямителя равно нулю.
Среднее значение выпрямленного напряжения равно:

где U2 - действующее значение э.д.с. вторичной обмотки трансформатора.
Так как обычно задано выпрямленное напряжение на нагрузке Uo, то требуется определить напряжение вторичной обмотки


Рис. 4.21. Однополупериодная схема выпрямления при работе на активную (а), активноёмкостную (б) и активно-индуктивную (в) нагрузки.

Рис. 4.22. Диаграммы выпрямленного напряжения и токов в фазе вторичной обмотки трансформатора для однополупериодной схемы выпрямления при активной (а), активно-емкостной (б) и активно-индуктивной (в) нагрузках.
При закрытом вентиле на него воздействует обратное напряжение, равное напряжению вторичной обмотки трансформатора, и наиболее возможное обратное напряжение, равное амплитуде напряжения вторичной
обмотки Uмакc, т. е.

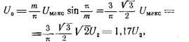
Кривая выпрямленного напряжения uo содержит помимо постоянной составляющей Uo переменные составляющие. Представив кривую uo гармоническим рядом, можно определить амплитуду любой гармоники. Амплитуда основной гармонической переменной составляющей, имеющей наибольшую величину и наименьшую частоту f1=fc, равна u1=p/2Uo=1,57Uo.
Относительное значение амплитуды переменной составляющей основной гармоники (пульсация) составляет

Недостатками однополупериодной схемы выпрямления являются большое обратное напряжение и большая пульсация напряжения при низкой ее частоте, равной частоте тока сети (f1=fc). Большое обратное напряжение затрудняет выбор вентиля, а большая пульсация с низкой частотой требует громоздких сглаживающих фильтров.
Так как в однополупериодной схеме выпрямления вторичная обмотка трансформатора, вентиль и нагрузка соединены последовательно, то в любой момент времени ток нагрузки одновременно является током вторичной обмотки и током вентиля, т. е.

Кривая тока

совпадает с кривой uo в
измененном масштабе (рис. 4.22,а). Среднее значение тока через вентиль

амплитуда тока вентиля

Действующее значение тока вентиля и вторичной обмотки трансформатора

Габаритная мощность, на которую должна быть рассчитана вторичная обмотка трансформатора:

Напряжение первичной обмотки равно произведению напряжения вторичной обмотки на коэффициент трансформации, т. е. U1=nU2.
В кривой тока первичной обмотки трансформатора постоянной составляющей нет, и, следовательно, действующее значение тока I1 не равно приведенному значению тока вторичной обмотки, так как кривая тока i2 помимо переменной составляющей содержит и постоянную. Поэтому, пренебрегая током холостого хода, действующее значение тока первичной обмотки трансформатора определим следующим выражением:

Габаритная мощность первичной обмотки

Габаритная или расчетная мощность, равная произведению синусоидального напряжения и несинусоидального тока, определяет размеры и вес обмоток, так как напряжение определяет число витков, а ток - сечение провода.
Габаритная мощность вторичной обмотки больше, чем первичной (P2>P1), так как в кривой тока вторичной обмотки содержится постоянная составляющая, которой в кривой тока первичной обмотки нет. Поэтому сечение провода вторичной обмотки и вес обмоточных проводов вторичной обмотки больше, чем первичной.
В трансформаторе, преобразующем напряжение переменного тока без выпрямителя, габаритные мощности первичной и вторичной обмоток одинаковы и равны габаритной мощности трансформатора, т. е. P1=P2=Pт. В нашем случае габаритные мощности обмоток различны и габаритная мощность трансформатора равна полусумме мощностей обмоток, т. е.

Эта мощность трансформатора определяет сечение сердечника и его общие размеры. Таким образом, еще одним недостатком однополупериодной схемы выпрямления является большая расчетная мощность трансформатора. т.е. плохое его использование.
К недостаткам однополупериодной схемы выпрямления следует также отнести вынужденное дополнительное намагничивание материала сердечника, вызванное постоянной составляющей тока вторичной обмотки. Это постоянное намагничивание усиливает насыщение стали сердечника и вызывает увеличение намагничивающего тока трансформатора.
При работе однополупериодной схемы на активноёмкостную нагрузку (рис. 4.21, б) кривая выпрямленного напряжения uо состоит из двух участков-отрезка синусоиды э.д.с. вторичной обмотки при открытом вентиле и отрезка экспоненты разряда конденсатора при закрытом вентиле (рис. 4.22, б). Ток нагрузки io=uo/rн изобразится кривой, подобной кривой uо в измененном масштабе.
Ток в вентиле, равный току вторичной обмотки трансформатора (ia=i2), имеет форму синусоидального импульса длительностью 2q, много меньшей половины периода.
Все параметры схемы выпрямления определяются как функции угла отсечки q, и практически могут иметь следующие значения:

При работе однополупериодной схемы выпрямления на активно-индуктивную нагрузку (рис. 4.21,в) индуктивность дросселя L окажется включенной последовательно в цепь нагрузки, вторичной обмотки трансформатора и вентиля. Поэтому эта индуктивность оказывает такое же влияние, как индуктивность рассеяния обмоток трансформатора. Под влиянием этой индуктивности ток в цепи i2=ia=io изменяется медленнее, чем напряжение (рис. 4.22,в), амплитуда его меньше, чем при идеально активной нагрузке, и время работы вентиля увеличивается и становится больше половины периода (p+g). В течение некоторой части периода; соответствующей отрицательной полуволне э.д.с. вторичной обмотки трансформатора, вентиль остается открытым и в цепи протекает ток, так как э.д.с. самоиндукции еS больше по абсолютной величине, чем э.д.с. вторичной обмотки u2.
Напряжение на нагрузке (uн=iorн) изобразится кривой, подобной кривой тока. Среднее значение выпрямленного напряжения будет меньше, чем при идеально активной нагрузке, вследствие появления участка кривой u2 с отрицательным значением в течение части периода g. Несмотря на включение дросселя, пульсация напряжения на нагрузке уменьшается незначительно. Таким образом, влияние индуктивности в цепи нагрузки однополупериодной схемы выпрямления подобно влиянию индуктивности рассеяния обмоток трансформатора .в многофазных схемах. Поэтому однополупериодная схема на нагрузку индуктивного характера на практике никогда не работает.
4.10. Двухполупериодная схема выпрямления
Достоинствами двухполупериодной схемы выпрямления с выводом средней точки вторичной обмотки трансформатора (рис. 4.23.) являются наличие только двух вентилей и соединение их катодов в общую точку, что при использовании вентилей с накальными катодами дает возможность применить только один трансформатор накала. Недостатками этой схемы являются большое обратное напряжение, приложенное к вентилю и затрудняющее его выбор, большое напряжение между конечными зажимами вторичной обмотки трансформатора, вывод средней ее точки, плохое использование трансформатора.
К недостаткам схемы также относится большая пульсация напряжения при низкой ее частоте.
Работа выпрямителя протекает следующим образом:
при включении первичной обмотки трансформатора в сеть переменного тока во вторичной обмотке индуктируется э. д. с. u2. Ecли эта э.д.с. направлена снизу вверх (от точки в к точке а), то на аноде вентиля 1 будет положительный потенциал, отпирающий этот вентиль, и ток замкнется по цепи: точка о вторичной обмотки трансформатора, точка а, вентиль 1, сопротивление нагрузки rн, точка о. Вторую половину периода э. д. с. вторичной обмотки u2 изменит направление, и на аноде второго вентиля окажется положительный потенциал, так что ток замкнется по цепи: точки о - в - вентиль 2, точка о. Таким образом, в сопротивлении нагрузки ток не изменяет направления и напряжение на выходе выпрямителя неизменно по знаку (рис. 4.24, а).
Среднее значение выпрямленного напряжения при работе на активную нагрузку


Рис. 4.23. Двухполупериодная схема выпрямления.

Рис. 4.24. Диаграммы выпрямленного напряжения uo и тока вентиля ia для двухполупериодной схемы выпрямления при активной (а), активно-емкостной (6) и активно-индуктивной (в) нагрузках.
Вторичная обмотка трансформатора двухфазная (а и в), и в любую половину периода открыт один из вентилей, так что работает одна фаза. Закрытый вентиль находится под напряжением, равным сумме э.д.с. двух фаз вторичной обмотки, а амплитуда обратного напряжения равна удвоенному значению амплитуды э.д.с. фазы .вторичной обмотки, т. е.

Относительное значение амплитуды основной гармонической составляющей и ее частота имеет значения

Так как каждый вентиль и фаза вторичной обмотки трансформатора работают одну половину периода, то среднее значение тока вентиля равно половине тока нагрузки, т. е.

Амплитуда тока вентиля будет:

Действующее значение тока вентиля и фазы вторичной обмотки

Габаритная мощность вторичной обмотки равна:

Напряжение и ток первичной обмотки соответственно равны:

Габаритная мощность первичной обмотки составляет:

Габаритная мощность трансформатора может быть найдена из соотношения

При работе двухполупериодной схемы на нагрузку емкостного характера выпрямленное напряжение uo и ток вентиля ia, изменяются во времени в соответствии с кривыми на рис. 4.24,б. Соотношения между всеми параметрами схемы выпрямления - устанавливаются как функции угла отсечки в или расчетного коэффициента А=tgq-q=p/mrв/rн. Обычно между параметрами схемы выпрямления имеют место следующие соотношения:

При работе двухполупериодной схемы на нагрузку индуктивного характера ток в нагрузке будет близок к постоянному (Io=const), если индуктивность дросселя на выходе выпрямителя достаточно велика (L®¥). Таким образом, переменная составляющая выпрямленного напряжения приложена к обмотке дросселя, а постоянная составляющая - к нагрузке. Эффект сглаживания пульсации напряжения и тока дросселем будет сказываться тем сильнее, чем больше индуктивное сопротивление дросселя для основной гармоники тwL по сравнению с сопротивлением нагрузки. Кривые выпрямленного напряжения uо и тока вентиля iа (фазы вторичной обмотки) изображены на рис. 4.24, в.
Среднее значение выпрямленного напряжения имеет значение

откуда

Пульсация на выходе выпрямителя (на входе фильтра) составляет:

Среднее значение тока вентиля и фазы вторичной обмотки равно Iср=0,5Io, а его действующее значение будет
Iа=
при этом габаритная мощность вторичной обмотки определяется соотношением

Напряжение первичной обмотки трансформатора, действующее значение тока и габаритная мощность первичной обмотки соответственно будут равны:


Габаритная мощность трансформатора при этом составит

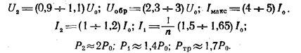
Выражения для габаритной мощности показывают, что при одной и той же схеме выпрямления (в нашем случае двухполупериодной) в зависимости от характера нагрузки размеры и вес трансформатора, а также допустимые токовые нагрузки вентилей, различны. Наилучшее использование трансформатора при нагрузке активно-индуктивной (Рт=1,34Ро), несколько хуже при идеально активной (Pт=1,48Po) и значительно хуже при нагрузке емкостного характера (Рт=1,7Ро). Нагрев вентилей также будет наименьшим при нагрузке индуктивного характера, несколько большим при активной и наибольшим—при емкостном характере нагрузки. Это объясняется различием формы кривой тока вентиля и обмоток трансформатора (рис 4.25) при различных характерах нагрузки, вследствие чего неодинаковы коэффициенты формы и действующие значения токов, нагревающие вентили и обмотки трансформатора.

Рис. 4.25. Кривая тока вентиля в двухполупериодной схеме выпрямления при активной (1), активно-емкостной (2) и активно-индуктивной (3) нагрузках.
Режим работы вентиля по обратному напряжению несколько благоприятнее при емкостном характере нагрузки, при котором требуется наименьшее число витков вторичной обмотки трансформатора.
Пульсация напряжения с увеличением нагрузки при ее емкостном характере увеличивается, при индуктивном - уменьшается, а при активной нагрузке неизменна.
4.11. Однофазная мостовая схема выпрямления
В мостовой однофазной схеме выпрямления (схеме Греца) используются четыре вентиля (рис. 4.26.), соединенные так, что в течение одной половины периода напряжение вторичной обмотки прикладывается к нагрузке через одну пару вентилей, а в течение другой половины периода - через другую пару.
Если э.д.с. вторичной обмотки трансформатора направлена снизу вверх (от точки е к а), то под действием этой э.д.с. возникнет ток в цепи: точки а—б, вентиль 1, точка а, сопротивление нагрузки rн, точка г, вентиль 3, точка д к точке е вторичной обмотки.
B течение второй половины периода э.д.с. вторичной обмотки u2 направлена от точки а к точке е и ток возникает в цепи: от точек е к д, вентиль 2, точка в, сопротивление rн, точка г, вентиль 4, точка б, точка о вторичной обмотки. Таким образом, в этой схеме вторичная обмотка трансформатора работает обе половины периода и в ней возникает ток в обоих направлениях. В сопротивлении нагрузки ток также идет в течение обоих половин периода, но в неизменном направлении.

Рис.4.26. Однофазная мостовая схема выпрямления.
Отсутствие постоянной составляющей тока вторичной обмотки трансформатора и вывода ее средней точки выгодно отличает мостовую схему от двухполупериодной, так как улучшает использование трансформатора, снижает напряжение между конечными витками вторичной обмотки и упрощает изготовление трансформатора. Недостатки мостовой схемы проявляются при использовании вентилей с накальными катодами, так как эта схема требует относительно большого числа вентилей (четыре) и не менее трех трансформаторов или раздельных обмоток для питания нитей накала вентилей.
Кривые выпрямленного напряжения uo и тока вентиля ia для различных характеров нагрузки аналогичны этим кривым для двухполупериодной схемы выпрямления, изображенным на рис. 4.24. При активной нагрузке для среднего значения выпрямленного напряжения, соотношения между параметрами схемы имеют следующий вид:

откуда

При закрытом вентиле к нему будет приложено обратное напряжение, равное напряжению вторичной обмотки трансформатора. Поэтому амплитуда обратного напряжения равна амплитуде э. д. с. вторичной обмотки, т. е.

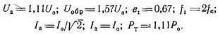
В отношении пульсации напряжения мостовая схема эквивалентна двухполупериодной, так как е1=0,67 и f,=2fc. Среднее значение амплитуды и действующее значение тока вентиля соответственно равны Icр=0,5Io;
Iмакс= 1,57Io;

Действующее значение тока вторичной обмотки будет.

так как в этой обмотке ток возникает дважды за период.
Габаритная (расчетная) мощность вторичной обмотки составляет:

и первичной обмотки

Габаритная мощность трансформатора при этом будет

При емкостном характере нагрузки обычно имеют место следующие соотношения между основными параметрами схемы:

При нагрузке индуктивного характера соотношения между основными параметрами схемы представляются в таком виде:

4.12. Схемы удвоения и умножения напряжений
Схема удвоения напряжения (схема Латура) представляет собой мостовую схему (рис. 4.27,a), у которой в два плеча моста включены вентили B1 и В2, а в два другие плеча — конденсаторы C1 и C2. К одной из диагоналей моста подключена вторичная обмотка трансформатора, а к другой диагонали-нагрузка. Схему удвоения напряжения можно представить в виде двух однополупериодных схем, соединенных последовательно (рис. 4.27,б) и работающих от одной вторичной обмотки трансформатора. При положительном потенциале точки а вторичной обмотки трансформатора, когда э.д.с. в ней направлены вверх, будет открыт вентиль В1 и начнется заряд конденсатора С1. При противоположном направлении э.д.с. вторичной обмотки ток заряда конденсатора С2 протекает через вторичную обмотку, конденсатор С2 и вентиль B2. Конденсаторы C1 и С2 соединены последовательно и разряжаются на нагрузку. На рис. 4.28. показаны кривые напряжений на конденсаторах и на нагрузке, а также кривые токов через вентили. Так как напряжения двух однополупериодных схем u01 и u02 сдвинуты по фазе на половину периода, то при последовательном соединении этих схем суммарное напряжение uо с точки зрения переменной составляющей соответствует двухполупериодной схеме. Ввиду того что конденсаторы С1 и С2 являются элементами схемы, работа выпрямителя возможна лишь на нагрузку емкостного характера.

Рис. 4.30. Схема удвоения напряжения, изображенная в виде мостовой (а) и в виде двух последовательно соединенных однополупериодных схем (б).
Примерные значения параметров схемы удвоения напряжения таковы:
U2 » 0.5Uo; Uобр=(1,4¤1,5)Uо; Iмакс=(5/6)Iо; Ia » Ia=(2,8/3)Iо; Рт=(1,5/1,6)Рo.
Достоинствами схемы удвоения напряжения являются меньшее напряжение вторичной обмотки и число ее витков, чем в других схемах (в 2 раза меньше, чем в мостовой, и в 4 раза меньше, тем в двухполупериодной схеме); возможность получения половинного напряжения; отсутствие вынужденного намагничивания сердечника трансформатора.
Недостатком схемы удвоения напряжения является большое внутренне сопротивление, так как схема образуется из двух последоватедьно соединенных однополупериодных схем. Поэтому работа выпрямителя протекает при больших углах отсечки q и напряжение на выходе значительно изменяется при изменениях тока нагрузки. В случае применения вентилей с накальными катодами схема требует двух изолированных источников питания нитей накала вентилей.
Область применения схемы удвоения напряжения ограничивается устройствами малой мощности с относительно высокими напряжениями (несколько сотен вольт) при малых токах (до 10-20 ма). Так, например, эта схема выпрямления находит применение в питающих устройствах электроннолучевых трубок.

Рис. 4.28. Кривые выпрямленных напряжений и токов в вентилях.
Схемы умножения напряжения, применяемые для получения выпрямленного напряжения в несколько раз большего напряжения вторичной обмотки трансформатора, используют свойство конденсаторов накапливать и в течение некоторого времени сохранять электрическую энергию. Это свойство конденсаторов используется не только для питания нагрузки, но и для заряда совместно с переменным напряжением сети других конденсаторов. Одна из возможных схем многократного умножения изображена на рис. 4.29. Здесь каждый последующий конденсатор заряжается до более высокого напряжения. Если э.д.с. вторичной обмотки трансформатора направлена от точки а к точке б, то через вентиль B1 происходит заряд конденсатора C1 до амплитуды напряжения вторичной обмотки uмакс. При изменении направления э.д.с. вторичной обмотки будет протекать ток заряда второго конденсатора по цепи: точка а, конденсатор C1, вентиль B2, конденсатор С2, точка б вторичной обмотки трансформатора. При этом конденсатор C2 зарядится до напряжения Uc2=Uмакс+Uс1 » 2Uмакс, так как вторичная обмотка и конденсатор C1 оказались включенными последовательно. При последующем изменении направления э. д. с. вторичной обмотки происходит заряд третьего конденсатора Сз по цепи; точка б, конденсатор Сз, вентиль Вз, конденсатор Сз, точка а вторичной обмотки. Заряд конденсатора Сз будет происходить до напряжения Uсз=Uмакс+Uс2 »3Uмакс и т.д. Таким образом, на каждом последующем конденсаторе кратность напряжения соответствует его номеру (Ucn=nUмак).
В этой схеме, так же как и в любой другой схеме умножения, конденсаторы работают в неодинаковых условиях, так как первые конденсаторы находятся под большей пульсацией напряжения и более нагружены, а последние должны быть рассчитаны на более высокие рабочие напряжения.

Рис. 4.29. Схема многократного умножения напряжения.
Недостатком схем умножения напряжения является большое внутреннее сопротивление, так как они образуются последовательным соединением отдельных схем выпрямления, питаемых от одной вторичной обмотки трансформатора. Поэтому при таких схемах выпрямленное напряжение и его пульсация в сильной степени зависят от тока нагрузки. Применяются схемы умножения для питания устройств малой мощности и высокого напряжения.
4.13. Многофазные схемы выпрямления
Многофазные схемы выпрямления находят применение для электропитания устройств относительно больших мощностей. Поэтому работа таких выпрямителей почти всегда происходит на нагрузку индуктивного характера, так как в этом случае лучше используются трансформатор, меньше нагрев вентилей и выше к.п.д.
Трехфазная однотактная схема (рис. 4.30) находит ограниченнее применение при ионных вентилях (главным образом в ртутных выпрямителях) для питания устройств мощностью от 10 - 15 квт •и невысокого напряжения. При индуктивном характере нагрузки Соотношения для параметров схемы приводятся ниже.
Среднее значение выпрямленного напряжения

откуда

Пульсация напряжения (относительное значение амплитуды основной гармонической переменной составляющей) и ее частота равны


Рис. 4.30. Трехфазная однотактная схема выпрямления.
В закрытом состоянии вентиль находится под обратным напряжением, равным линейному. Поэтому амплитуда обратного напряжения равна амплитуде линейной э.д.с., т. е.

Среднее значение тока вентиля

действующее значение тока вентиля и вторичной обмотки трансформатора составляют:

Габаритная мощность вторичной обмотки определяется соотношением

Напряжение и ток в фазе первичной обмотки (при соединении обмоток звезда-звезда) будут равны:

Габаритная мощность первичной обмотки

и трансформатора

Достоинствами однотактной трехфазной схемы выпрямления являются малое число вентилей (три), соединение катодов вентилей в общую точку, что позволяет использовать один источник питания наколов, значительно меньшая, чем в двухфазных схемах, пульсация напряжения (25% вместо 67%) при более высокой ее частоте (3fс вместо 2fс).
К недостаткам трехфазной схемы относятся сравнительно высокое обратное напряжение (2,1Uo), плохое использование трансформатора (Рт=1,35Ро), возникновение дополнительного постоянного (вынужденного) намагничивания сердечника под действием постоянной составляющей тока вторичной обмотки. Для устранения вынужденного намагничивания вторичные обмотки трансформатора приходится соединять в зигзаг, что приводит к некоторому увеличению числа витков.
Существенные преимущества по сравнению с однотактной имеет трехфазная мостовая схема выпрямления (схема А. Н. Ларионова). Схема соединения как первичных, так и вторичных обмоток может быть любой (звезда или треугольник). Каждая фаза вторичной обмотки трансформатора соединена с анодом одного и катодом другого вентиля (рис. 4.31. Три вентиля справа 1, 3 и 5 соединены катодами в общую точку, образующую положительный полюс на выходе. Из этих трех вентилей проводящим будет тот, на аноде которого в данный момент наиболее высокий (положительный) потенциал. Три вентиля слева 2, 4 и 6 анодами соединены в общую точку, являющуюся отрицательным полюсом на выходе выпрямителя. Из этих трех вентилей проводящим будет тот, на катоде которого наиболее отрицательный потенциал.
На рис. 4.32. изображены кривые э.д.с. в фазах вторичных обмоток трансформатора и кривая выпрямленного напряжения uо. В момент t1 э.д.с. фазы а имеет наибольшее положительное значение и, следовательно, на аноде вентиля 1 потенциал наиболее высокий, т. е. вентиль 1 открыт. Наибольшее отрицательное значение в момент t1 имеет э. д. с. фазы в, т. е. на катоде вентиля 4 наиболее низкий потенциал, отпирающий этот вентиль. Таким образом к нагрузке в момент t1 через открытые вентили 1 и 4 будет приложено напряжение между точками о и в вторичных обмоток, равное линейному значению э. д. с. Вентили I и 4 будут открыты в течение части периода, равной 2p/6, пока потенциал анода вентиля 1 остается наиболее высоким, а потенциал катода вентиля 4 — наиболее низким. В течение последующей 1/6 части периода потенциал анода вентиля 1 остается наиболее высоким, а наиболее отрицательный потенциал имеет катод вентиля 4, т. е. открыты вентили 1 и 4. В последующую 1/6 часть периода работают вентили 1 и 6 и т. д. Таким образом, в любой момент времени к нагрузке приложено линейное напряжение через пару открытых вентилей, на аноде одного из которых наиболее положительный, а на катоде другого - наиболее отрицательный потенциал. Поэтому выпрямленное напряжение для любого момента времени на диаграмме определится отрезком между двумя кривыми огибающими снизу и сверху синусоиды э.д.с. вторичных обмоток.

Рис. .4.31. Трехфазная мостовая схема выпрямления.
Период изменения основной гармонической переменной составляющей выпрямленного напряжения в схеме на рис. 4.32. в 6 раз меньше периода изменения тока сети (T1=Tc/6). Следовательно, частота этой гармоники в 6 раз больше, чем частота тока питающей сети (f1=6fc). Несмотря на то, что схема получает питание от трехфазного трансформатора, кривая выпрямленного напряжения соответствует шестифазной схеме. Пульсация напряжения и ее частота равны:

Так как к нагрузке приложено линейное напряжение вторичной обмотки, то среднее значение выпрямленного напряжения (при соединении обмоток звездой) составит:

откуда

Закрытый вентиль находится под обратным напряжением, равным линейному напряжению вторичной обмотки. Поэтому амплитуда обратного напряжения равна амплитуде линейной э. д. с. вторичной обмотки, т. е.


Рис. 4.32. Диаграммы э. д. с. вторичных обмоток трансформатора и выпрямленного напряжения трехфазной мостовой схемы выпрямления.
Ток через вентиль протекает в течение 1/3 части периода, и по токовым нагрузкам вентилей эта схема эквивалента трехфазной однотактной, т.е. среднее значение и действующее значение тока вентиля соответственно равны

В фазе вторичной обмотки трансформатора ток протекает в течение 1/3 части периода в одном направлении и после паузы (1/6 часть периода) в другом направлении также в течение 1/3 части периода. Поэтому действующее значение тока в фазе вторичной обмотки вÖ2 раз больше, чем в вентиле (два импульса тока за период), т. е.

Напряжение и ток в фазе первичной обмотки определяются из выражений

Габаритные мощности обмоток и трансформатора равны и составляют:

Достоинствами схемы Ларионова являются малое обратное напряжение на вентиле (1,05Uo), хорошее использование трансформатора (Рт=1,05Ро), небольшая амплитуда пульсации (5,7%) при относительно высокой ее частоте (б/с) возможность применения трансформатора с любыми схемами соединения обмоток. К недостаткам схемы следует отнести большое число вентилей (шесть) и при использовании вентилей с накальными катодами необходимость не менее чем в четырех раздельных источниках питания накала.
4.14. Управляемые выпрямители на тиристорах
При эксплуатации выпрямительных устройств часто приходится сталкиваться с необходимостью изменения (регулировки) значения выпрямленного напряжения.
Изменение выпрямленного напряжения может осуществляться как на стороне постоянного, так и на стороне переменного тока.
Регулирование выпрямленного напряжения с помощью управляемых полупроводниковых вентилей-тиристоров применяется в настоящее время весьма широко, успешно конкурируя с выпрямителями на тиратронах вследствие ряда преимуществ тиристоров перед тиратронами.
Регулирование выпрямленного напряжения тиристором осуществляется изменение угла открытия его от (его называют также “углом отпирания” и “углом управления”), он аналогичен углу зажигания в тиратроне. Управление тиристором может быть амплитудным, фазовым и импульсно-фазовым. Ниже рассматриваются схемы, соответствующие фазовому способу регулирования.
Однополупериодный однофазный управляемый выпрямитель (рис. 4.33). Силовой трансформатор схемы имеет две вторичные обмотки: основную w2, которая служит для питания схемы выпрямителя, и управляющую обмотку wу, благодаря которой создается напряжение управления Uу подаваемое на управляющий электрод тиристора. Угол сдвига по фазе между анодным напряжением U2 и управляющим напряжением Uу или угол открытия определяется фазорегулятором схемы R1L, где L - дроссель насыщения. Изменяя индуктивность дросселя подмагничивающим током, можно регулировать угол открытия .
Отпирание тиристора происходит в тот момент, когда управляющее напряжение U, становится положительным (рис. 4.33, б, график Uу); запирание тиристора происходит при появлении отрицательного потенциала в аноде тиристора (отрицательный полупериод напряжения (Л). Резистор R2 ограничивает значение тока управления.
В управляемом выпрямителе, собранном по мостовой схеме (рис. 4.34,а), вторичная обмотка трансформатора управления Tу выполняется с выводом точки 3, от которой управляющее напряжение подается на тиристор VS1. На тиристор VS2. управляющее напряжение подается с фазорегулятора RP, С (с точки 4). Фазовое регулирование, т.е. изменение угла открытия, осуществляется в схеме (рис.4.34, а) переменным резистором RP. Диоды VD3 и VD4 замыкают цепи управления тиристоров.
Схема управления тиристорами работает следующим образом.

Рис. 4.33. Однополупериодная однофазная схема выпрямления на тиристоре (а). Диаграммы напряжений и токов в схеме (б)
При положительном полупериоде напряжения Uу ток управления идет по цепи: точки 3, резистор R1, тиристор VS1, диод VD4, резистор RP, точка 1.
При отрицательном полупериоде напряжения U, ток управления идет по цепи: точка 1, резистор RP, резистор R2 тиристор VS2, диод VD3, точка 3. Выпрямленный ток протекает в один полупериод напряжения U2 через VS1 и VD1, а во второй полупериод напряжения U2.—через VS2 и VD2 причем диоды VD1, VD2 работают, как в известной мостовой однофазной схеме выпрямления.
Диод VD5, включенный в обратном направлении, устанавливается на входе фильтра (обычно фильтра LC), поскольку при запирании тиристора он замыкает цепь нагрузки в целях реализации ЭДС самоиндукции дросселя, в результате чего уменьшаются пульсации выпрямленного напряжения и повышается cosj. В маломощных регулируемых выпрямителях VD5 (нулевой диод) можно не применять.
Трансформаторы схемы Т, Ту обычно совмещаются подобно схеме на рис. 4.33,а.
Как видно из регулировочных характеристик для одной двухполупериодной схемы выпрямления (рис.4.34,6, кривые 1 и 2), угол открытия изменяется в пределах от 20—30 до 150—160°. Такой разброс в пределах регулирования объясняется тем, что при синусоидальной форме напряжения сети у тиристоров имеет место большой разброс по времени открытия их. Для уменьшения указанного разброса и расширения пределов регулирования необходимо подавать на управляющий электрод тиристора импульсы с крутым фронтом. Для этой цели применяют быстродействующие магнитные усилители или генераторы импульсов на транзисторах.

Рис. 4.34. Мостовая однофазная схема выпрямления на тиристорах (а) и регулировочные характеристики (б) (Uox - выпрямленное напряжение холостого хода)
В схеме двухполупериодного управляемого выпрямителя (рис. 4.35,а) тиристоры управляются прямоугольными импульсами, которые вырабатываются с помощью вспомогательных диодов VD1 и VD2, подключенных, как и основные вентили - тиристоры VS1 и VS2, к вторичной обмотке силового трансформатора. Таким образом, в данной схеме (рис. 4.35,а) существуют две функциональные схемы: схема двухполупериодного выпрямителя на тиристорах VS1 и VS2, аналогичная известной однотипной схеме, и схема управления углом открытия тиристоров , с помощью которой осуществляется фазовое регулирование выпрямленного напряжения; эта схема выполняется на диодах VD1 и VD2, однопереходном транзисторе VT3, на резисторах и конденсаторе схемы.
Работа схемы управления углом открытия может быть пояснена следующим образом. При подключении сетевого напряжения U1 на. выходе диодов VD1 и VD2 появится выпрямленное напряжение uab, форма которого является огибающей положительных полусинусоид напряжения u2 (рис. 4.18,б). С помощью стабилитрона VD3 и балластного резистора R1 это напряжение преобразуется в импульсы прямоугольной формы положительной полярности Uст. Эти импульсы поступают через резистор R4 на базу Б2, а также через переменный резистор R6 на эмиттер однопереходного транзистора VT3, на котором собран релаксационный генератор схемы. Поступающие на эмиттер импульсы заряжают при этом конденсатор С до тех пор, пока напряжение на нем не достигнет значения, равного Uэmax (pис. 4.18, б, график ис), причем крутизна экспоненты напряжения Uc при заряде и время заряда конденсатора С зависят от постоянной времени тз=R6 С. Когда напряжение на конденсаторе ис достигнет значения Uэmax транзистор отпирается и конденсатор С быстро разряжается через транзистор и резистор R5, поскольку R5<=R6.
При разряде конденсатора напряжение на нем уменьшается до uc=Umin, при котором транзистор запирается; конденсатор С после появления следующего прямоугольного импульса снова начинает заряжаться и т.д. В цепи базы Б1 транзистора на резисторе R5 создаются положительные импульсы малой длительности (рис. 4.35,б, график Uу), которые являются управляющими для тиристоров; резисторы R2, R3 позволяют подобрать необходимый ток управления.
Как видно из графиков, момент появления управляющих импульсов определяется моментом времени wc t1, при котором Uc=Uэmax, а момент wc t1, в свою очередь, зависит от постоянной заряда конденсатора тз=R6С. Значит, изменяя сопротивление R6, можно сдвигать во времени момент появления управляющего импульса Uу, т.е. изменять угол отпирания и время работы тиристоров, регулируя таким образом значение тока. iо в нагрузке (рис. 4.35, б). При этом следует сказать, что увеличение r6 приводит к увеличению угла отпирания, вызывая уменьшение напряжения Uo, и тока Iо в нагрузке выпрямителя Rн.
В многофазных управляемых выпрямителях весьма удобно применять тиристоры, поскольку остальные схемы регулирования громоздки и потребляют значительные мощности.
В трехфазной мостовой схеме управляемого выпрямителя (рис. 4.36), где схемы управления (запуска) показаны условно, выходное напряжение регулируется так же, как и в предыдущих схемах, т. е. тиристоры схемы VS1—VS3 открываются управляющими импульсами, а запираются при отрицательном потенциале анода. Нагрузку индуктивного характера в этой схеме необходимо шунтировать обратным диодом (аналогично схеме на рис. 4.34, а).
Регулирование на стороне переменного тока выполняется с помощью схем встречно-параллельного и встречно-последовательного включения тиристоров как при питании от однофазной сети (рис. 4.37), так и при питании от трехфазной сети (рис. 4.38,a). При встречно-параллельном включении тиристоров (рис. 4.37,a) каждый из них работает в соответствующую часть периода напряжения сети.

Рис. 4.35. Двухполупериодная схема выпрямления на тиристорах (а), диаграммы напряжения и тока в ее цепях (б)
При встречно-последовательном включении (рис. 4.37, б) каждый тиристор схемы шунтируется обычным диодом, причем тиристор VS1 и диод VD2 проводят ток в один полупериод, а тиристор VS2 и диод VD1 - в другой полупериод переменного напряжения. Запуск тиристоров в схемах рис. 4.37, а и б производится по схеме мостового однофазного выпрямителя (рис. 4.34, а).

Рис. 4.36. Упрощенная трехфазная мостовая схема на тиристорах

Рис. 4.37. Функциональные схемы однофазных выпрямителей с
встречно-параллельным (а) и встречно-последовательным (б) включением регулирующих тиристоров на стороне переменного тока.

Рис. 4.38. Функциональная схема трехфазного выпрямителя на тиристорах (а), схема управления тиристорами выпрямителя (б)
В трехфазных выпрямителях тиристоры включаются встречно-параллельно в каждую фазу первичной обмотки силового трансформатора (рис.4.38, а), схема управления СУ каждой парой тиристоров включается между соответствующей парой и нулевым проводом, причем необходимо предусмотреть возможность регулирования момента отпирания тиристоров во всех трех фазах.
Схема управления трехфазным выпрямителем с применением однопереходных транзисторов показана на рис.4.38,б сигнал управления в цепи эмиттеров транзисторов поступает от общего источника. Работа этой схемы аналогична работе схемы управления двухполупериодной схемой выпрямителя на тиристорах (рис. 4.35). Изменяя значение сопротивлений схемы, можно регулировать угол отпирания тиристоров схемы, а значит, и значение напряжения на нагрузке.
Применение тиристоров существенно повышает экономичность схемы и значительно уменьшает инерционность систем регулирования.
Недостатки управляемых выпрямителей на тиристорах сводятся к следующим: сложность схем управления, подверженность влиянию температуры, резкое увеличение коэффициента пульсации напряжения на нагрузке.
Контрольные вопросы к главе “Выпрямители”.
1. Назначение и устройство выпрямителей.
2. Идеальная и реальная вольт-амперные характеристики неуправляемого вентиля.
3. Объяснить вольт-амперную характеристику тиристора.
4. Пояснить основные параметры неуправляемых вентилей.
5. Назовите применяемые типы вентилей и охарактеризуйте их.
6. В каких случаях применяется последовательное и параллельное включение вентилей.
7. Особенности работы выпрямителей на активную нагрузку (на примере трехфазного выпрямителя).
8. Работа выпрямителя на емкостную нагрузку.
9. Работа выпрямителя на нагрузку индуктивного характера.
10. Работа выпрямителя на смешанную нагрузку.
11. Влияние активного и индуктивного сопротивлений обмоток на работу выпрямителя.
12. Работа однополупериодной схемы выпрямления на активный, индуктивный и емкостной характер нагрузки.
13. Работа двухполупериодной схемы выпрямления с нулевым выводом и мостовой схемы выпрямления на активный, индуктивный и емкостной характер нагрузки.
14. В каких выпрямительных схемах имеет место вынужденное подмагничивание трансформатора и чем оно обусловлено?
Регулирование на стороне переменного тока выполняется с помощью схем встречно-параллельного и встречнопоследовательного включения тиристоров как при питании от однофазной сети (рис. 4.37.), так и при питании от трехфазной сети (рис. 4.38,a). При встречно-параллельном включении тиристоров (рис. 4.37,a) каждый из них работает в соответствующую часть периода напряжения сети.
15.Дайте рекомендации по применению схем выпрямления в соответствии с заданными параметрами нагрузки.
16. Сравните трехфазные схемы выпрямления по габаритной мощности.
17. Поясните принцип работы схемы удвоения и умножения напряжения. Область применения данных устройств.
Ещё посмотрите лекцию "21 Несовершенная конкуренция" по этой теме.
18. Принципы построения однофазных управляемых выпрямителей.
19. Особенности схемотехнической реализации многофазных управляемых выпрямителей.
Поясните работу управляемого двухполупериодного выпрямителя на индуктивно - Регулирование на стороне переменного тока выполняется с помощью схем встречно-параллельного и встречнопоследовательного включения тиристоров как при питании от однофазной сети (рис. 4.37), так и при питании от трехфазной сети (рис. 4.38,a). При встречно-параллельном включении тиристоров (рис. 4.37,a) каждый из них работает в соответствующую часть периода напряжения сети.
20. Емкостной фильтр.
21. Достоинства и недостатки управляемых выпрямителей.
22. Как зависит коэффициент пульсации выходного напряжения управляемого выпрямителя от угла регулирования?























