Измерение расхода жидкостей, газа и пара по перепаду давления в сужающем устройстве
Вопрос №2
Измерение расхода жидкостей, газа и пара по перепаду давления в сужающем устройстве
Основы теории измерения расхода по перепаду давления в сужающих устройствах Данный метод измерения расхода основан на зависимости перепада давления в неподвижном сужающем устройстве (СУ), устанавливаемом в трубопроводе, от расхода измеряемой среды. Это устройство следует рассматривать как первичный преобразователь расхода. Создаваемый в сужающем устройстве перепад давления измеряется дифманометром, который может быть показывающим со шкалой в единицах расхода. При необходимости дистанционной передачи показаний дифманометр снабжается преобразователем, который линией связи соединяется с вторичным прибором и другими устройствами. Метод измерения расхода является наиболее отработанным, сужающие устройства и дифманометры для них выпускают все крупнейшие приборостроительные фирмы мира. Для измерения расхода пара, газа, жидкостей в трубопроводах диаметром свыше 300 мм в основном используется этот метод.
Рассматриваемый принцип измерения заключается в том, что при протекании потока через отверстие сужающего устройства повышается скорость потока по сравнению со скоростью до сужения. Увеличение скорости, а следовательно, и кинетической энергии вызывает уменьшение потенциальной энергии и соответственно статического давления. Расход может быть определен при известной градуировочной характеристике
по перепаду давления Δр на сужающем устройстве, измеренному дифманометром. Использование рассматриваемого метода измерения требует выполнения определенных условий:
• характер движения потока до и после сужающего устройства должен быть турбулентным и стационарным;
• поток должен полностью заполнять все сечение трубопровода;
• фазовое состояние потока не должно изменяться при его течении через сужающее устройство (пар является перегретым, при этом для него справедливы все положения, касающиеся измерения расхода газа);
• во внутренней полости трубопровода до и после сужающего устройства не образуются осадки и другие виды загрязнений;
Рекомендуемые материалы
• на поверхностях сужающего устройства не образуются отложения, изменяющие его геометрию.
Сужающие устройства условно подразделяются на стандартные, специальные и нестандартные. Стандартными называются сужающие устройства, которые рассчитаны, изготовлены и установлены в соответствии с руководящим нормативным документом ГОСТ 8.569.1-97. К числу специальных относятся стандартные диафрагмы для трубопроводов с внутренним диаметром менее 50 мм. Сужающие устройства, не относящиеся к этим двум группам, называются нестандартными. Градуировочная характеристика стандартных сужающих устройств определяется с помощью расчетов без индивидуальной градуировки. Этот момент обусловил широкое применение данного метода для измерения расходов воды, пара, газа в трубопроводах больших диаметров. Градуировочные характеристики нестандартных сужающих устройств определяются в результате индивидуальной градуировки.
Этому методу присущи следующие недостатки:
• узкий динамический диапазон, не превышающий трех-пяти
при использовании одного дифманометра;
• диаметр трубопровода должен быть более 50 мм, в противном случае необходима индивидуальная градуировка;
• значительные длины линейных участков;
• наличие потери давления.
В качестве стандартных сужающих устройств для измерения расхода жидкостей, газов и пара используются диафрагмы, сопла и значительно реже трубы и сопла Вентури. Диафрагма (рис. 12.1, а) представляет собой тонкий диск с круглым отверстием, ось которого располагается по оси трубы. Передняя (входная) часть отверстия имеет цилиндрическую форму, а затем переходит в коническое расширение. Передняя кромка отверстия должна быть прямоугольной (острой) без закруглений и заусениц. Диапазон рабочих чисел Re зависит от относительного диаметра СУ и для диафрагмы он составляет от '.
Сопло (рис. 12.1, б) имеет спрофилированную входную часть, переходящую затем в цилиндрический участок диаметром d (его значение входит в уравнения расхода). Задняя торцевая часть сопла включает цилиндрическую выточку диаметром, большим d, для предохранения выходной кромки цилиндрической части сопла от повреждения. При измерении расхода стандартные сопла устанавливаются на трубопроводах диаметром не менее 50 мм, числа Re потока при этом должны составлять 2 · 104...107.

Рис. 12.1. Стандартные сужающие устройства: а — диафрагма; б — сопло; в — сопло Вентури
Сопло Вентури (контур показан на рис. 12.1, в) содержит входную часть с профилем сопла, переходящую в цилиндрическую часть, и выходной конус (может быть длинным или укороченным). Минимальный диаметр трубопровода для стандартных сопл Вентури составляет 65 мм. Их используют в диапазоне чисел Re от 1,5 · 105 до 2 · 106. На рис. 12.1 символами p1 и р2 отмечены точки отбора давлений, подаваемых на дифманометр.
Рассмотрим движение потока несжимаемой жидкости через сужающее устройство на примере диафрагмы (рис. 12.2). На рисунке показаны профиль потока, проходящего через диафрагму, а также распределение давления вдоль стенки трубы (сплошная линия) и по оси трубы (штрихпунктирная линия). После сечения А струя сужается и, следовательно, средняя скорость потока возрастает. Вследствие инерции струя продолжает сужаться и на некотором расстоянии после диафрагмы, место наибольшего сужения находится в сечении В. Увеличение скорости на участке АВ сопровождается уменьшением статического давления от первоначального значения ра до минимального значения рb.
После сечения В начинается расширение струи, которое заканчивается в сечении С. Этот процесс сопровождается уменьшением скорости и увеличением статического давления. В сечении С скорость примет первоначальное значение (как в сечении А), но давление рс будет меньше первоначального на рп, называемое потерей давления в сужающем устройстве. Наличие потери давления вызвано потерей энергии потока в мертвых зонах, находящихся до и за диафрагмой, из-за сильного вихреобразования в них. Для определения общей зависимости между расходом и перепадом давления предположим, что жидкость несжимаема (т.е. плотность жидкости не изменяется при прохождении через сужающее устройство), отсутствует теплообмен с окружающей средой, трубопровод горизонтален, нет потерь на сопротивление СУ, поле скоростей равномерное.

Рис. 12.2. Характер потока и распределение статического давления при установке в трубопроводе диафрагмы
Уравнение сохранения постоянства массового расхода (неразрывности) для несжимаемой жидкости, записанное для сечения A и на выходе диафрагмы, имеет вид:
(12.1)
где uD — начальная скорость потока в трубопроводе;
ud — скорость потока в отверстии СУ;
р — плотность среды;
Gm — массовый расход.
Записанное для этих сечений уравнение Бернулли, выражающее закон сохранения энергии для потока в трубе, имеет вид:
(12.2)
Обозначим в соответствии с ГОСТ 8569.2-97 относительный диаметр СУ через
ранее квадрат этого отношения назывался относительной площадью или модулем т СУ. Используя (12.1), можно записать

тогда подставляя значение uD в (12.2), получаем:
(12.3)
Величина Е = 1/(1 - β4)0,5 называется коэффициентом скорости входа, f — минимальная площадь проходного сечения СУ. Рассчитанное по выражению (12.3) значение массового расхода получается завышенным из-за завышенного перепада давления на СУ, вызванного торможением потока, завихрениями на входе и выходе СУ. В связи с этим в уравнение (12.3) вводится коэффициент истечения С, меньший единицы.
Расчет массового расхода для несжимаемых сред производится по выражению
(12.4)
объемного
(12.5)
ранее произведение СЕ называлось коэффициентом расхода α.
Формулы (12.4), (12.5) справедливы для несжимаемых жидкостей. При измерении расхода газа, пара, воздуха их плотность после СУ снижается, объем увеличивается. При этом получается завышенное значение перепада, а следовательно, и расхода, для компенсации этого эффекта в формулы (11.4), (11.5) вводится коэффициент ε, меньший единицы и называемый коэффициентом расширения. Таким образом, расчетные соотношения для массового и объемного расхода сжимаемых сред имеют вид
(12.6)
объемного
(12.7)
Выражения (12.6), (12.7) являются основными уравнениями расхода, пригодными для сжимаемых и несжимаемых сред, для последних ε = 1. При определении по этим уравнениям расхода величины f, р, р, Gm, G0 имеют соответственно следующую размерность: м2, Па, кг/м3, кг/с, м3/с. Существующие конструкции сужающих устройств обеспечивают близкое к постоянным значения коэффициента истечения только в ограниченном интервале изменения чисел Рейнольдса (Re = uD/v, где v — кинематическая вязкость).
Значения С и е определены в результате экспериментальных исследований, проведенных на трубопроводах с гладкой внутренней поверхностью при распределении скоростей потока по сечению трубопровода, соответствующему установившемуся турбулентному режиму течения. В экспериментах использовались диафрагмы с острой входной кромкой.
Для геометрически подобных СУ при гидродинамическом подобии потоков измеряемой среды значения С одинаковы. Геометрическое подобие СУ состоит в равенстве отношений геометрических размеров СУ к диаметру трубопровода. Гидродинамическое подобие потоков имеет место при равенстве чисел Re. Значения коэффициентов истечения определялись во многих странах мира с использованием образцовых расходомерных установок, основанных на измерении массы Gм или объема вещества G0, протекшего через СУ за фиксированный интервал времени. Коэффициент С рассчитывается по этим данным как отношение фактического расхода к теоретическому, рассчитанному по перепаду давления на СУ

Экспериментально коэффициент расширения e определяется на сжимаемой среде как отношение коэффициентов истечения сжимаемойсреды и несжимаемой при известных значениях


Поскольку для расчета сужающих устройств используются компьютерные программы, то экспериментально полученные значения С, ε описаны эмпирически. Коэффициент С выражен через две составляющие: С = C_KRe. Коэффициент С_ зависит только от B, a KRe меняется с изменением Re. Для диафрагмы с угловым отбором давления
(12.8) и (12.9)
Графики зависимостей СЕ = /(Re, (3) для диафрагм с угловым отбором давления, поскольку для диафрагм KRe зависит от способа отбора давления представлены на рис. 12.3 и в табл. 12.1. От него зависит также величина изменений KRe в области рабочих чисел Re. Если эти изменения у диафрагм с угловым отбором давления при β = 0,27...0,8 составляют соответственно 0,5...5 %, то при фланцевом отборе давления изменения составляют лишь 0,3...2 %. В таких же пределах меняется KRe у сопл, у сопл Вентури в рабочем диапазоне чисел Re С остается постоянным.
Поправочный множитель ε в общем виде зависит от β, показателя адиабаты æ и отношения Δр/р (р — абсолютное давление среды до сужающего устройства). Расчетное соотношение для ε определяется типом сужающего устройства и для диафрагмы независимо от способа отбора давления


Рис. 12.3. Зависимость СЕ для диафрагм с угловым отбором от Re и β:
1 ÷ 4 — β = 0,2; 0,4; 0,6; 0,8
Таблица 12.1
Таблица коэффициентов скорости входа Е и истечения С для диафрагм с угловым способом отбора давления
|
Е | С | ||||||
| β | Rе | ||||||
| 0,5 · 103 | 1 · 104 | 1 · 105 | 1 · 106 | 1 · 107 | I · 108 | ||
| 0,2 | 1,0008 | 0,5997 | 0,5986 | 0,5973 | 0,5970 | 0,5970 | 0,5970 |
| 0,3 | 1,0041 | 0,6060 | 0,6029 | 0,5992 | 0,5985 | 0,2984 | 0,5984 |
| 0,4 | 1,0130 | 0,6159 | 0,6096 | 0,6020 | 0,6006 | 0,6004 | 0,6003 |
| 0,5 | 1,0328 | — | 0,6187 | 0,6053 | 0,6030 | 0,6026 | 0,6025 |
| 0,6 | 1,0719 | — | 0,6291 | 0,6080 | 0,6043 | 0,6036 | 0,6035 |
| 0,7 | 1,1472 | — | 0,6376 | 0,6067 | 0,6012 | 0,6003 | 0,6001 |
| 0,8 | 1,3014 | — | 0,6371 | 0,5939 | 0,5862 | 0,5849 | 0,5846 |
Таким образом, между расходом и перепадом давления в сужающем устройстве существует квадратичная зависимость, что позволяет дифманометры, измеряющие перепад давления
градуировать в единицах расхода или получать пропорциональный расходу выходной сигнал. Такие дифманометры называются дифманометрами-расходомерами. Для получения равномерной шкалы расходомера в кинематическую или электронную схему дифманометров или вторичных приборов включаются различные типы устройств, извлекающих квадратный корень. В микропроцессорных дифманометрах помимо извлечения корня выполняется комплекс расчетных операций, связанных с учетом изменения плотности среды, коэффициента расширения и пр.
Необходимость извлечения квадратного корня является одним из недостатков метода измерения расхода по перепаду давления, обусловливающим суженный диапазон измерения расходомера, охватывающий обычно интервал 30... 100% максимального измеряемого расхода Gв.п. Это означает, что использовать расходомер для измерения расходов в интервале 0...30 % его шкалы не рекомендуется, так как здесь не гарантируется достаточная точность измерения. Это вызвано тем, что в начале шкалы резко увеличивается относительная погрешность измерения перепада давления
Действительно, при уменьшении расхода от
например, до 0,25 Gв.п. в соответствии с (12.7) перепад давления в сужающем устройстве уменьшится в 16 раз, а при расходе
— 100 раз, относительная погрешность измерения перепада также увеличивается соответственно в 16 и 100 раз. Точность расходомера обычно гарантируется только в пределах шкалы 30 ... 100%.
Реально существующая шероховатость трубопровода заостряет профиль скоростей и несколько увеличивает коэффициент истечения, особенно при малых диаметрах труб. Это учитывается умножением исходного коэффициента расхода на поправочный множитель Кш. Для всех типов сужающих устройств значение Кш увеличивается с уменьшением диаметра трубопровода и увеличением
. Трубы диаметром D > 300 мм имеют малую относительную шероховатость (т.е. по свойствам приближаются к гладким), поэтому для них Кш = 1.
Изменение С, вызванное притуплением входной кромки диафрагмы, учитывается введением поправочного множителя Кп на притупление входной кромки, значение которого зависит от диаметра трубопровода и относительной площади диафрагмы. Значение Кп уменьшается с увеличением диаметра трубопровода и
При малых D и больших значениях β для диафрагм произведение Кш·Кп может превышать значение 1,03, причем в процессе эксплуатации это значение изменяется. Так, при загрязнении и коррозии трубопровода изменяется значение Кщ, причем у диафрагм это влияние выражено сильнее, чем у сопл. Еще большие погрешности могут возникать при коррозии сужающего устройства или изменении его профиля за счет абразивных свойств среды, причем у диафрагм это также проявляется сильнее, чем у сопл. По этим причинам сужающие устройства должны изготавливаться из твердого коррозионно-стойкого материала.
Таким образом, общие уравнения расхода, учитывающие конкретные условия эксплуатации для диафрагм, имеют вид:

объемного

В уравнениях расхода для сопл и труб Вентури коэффициент Кп отсутствует, т.е. К = 1. В показывающих дифманометрах — расходомерах и вторичных приборах, в которых отсутствуют вычислители, все величины, входящие в (12.11), (12.12), принимаются постоянными. В случае массового расхода
и 
в случае объемного
и
В эксплуатационных условиях возможно изменение р, влияющее на коэффициенты kм, k0 и градуировочную характеристику. Существенное изменение плотности среды обычно наблюдается при изменении температуры и давления газа. Если изменение плотности среды сопровождается изменением е, то в этом случае показания массового расходомера надо умножить на множитель

а объемного — на множитель

где
действительные и градуировочные значения плотности и коэффициента расширения
Насколько существенно влияние изменения плотности на результаты измерения, можно понять из следующего примера. Предположим, что сужающее устройство рассчитано на измерение расхода природного газа при температуре 20 °.С. Действительная температура газа при неизменном давлении составляет 5 °С. Это вызывает такое изменение плотности, что поправочный множитель без учета изменения e составит

т.е. изменение температуры от 20 до 5 °С может вызвать погрешность измерения расхода природного газа в 2,6 %. При значительных и частых колебаниях плотности целесообразно использование микропроцессорных дифманометров или микропроцессорных вторичных приборов, в которых при расчете расхода по уравнениям (12.11), (12.12) используются либо показания плотномеров, либо при контроле давления и температуры рассчитанные фактические значения р и ε.
Установка СУ вызывает потерю давления рп, которая зависит от типа сужающего устройства и β. При одинаковых β максимальные потери, определяемые уравнением
имеет диафрагма и минимальные труба Вентури.
Расчет градуировочной характеристики расходомера с сужающими устройствами. Для практического использования уравнения расхода (12.11) и (12.12) записываются в виде, зависящем от используемых единиц измерения. В одном из них:

Входящие в эти выражения величины должны иметь следующие размерности:

Для определения объемного расхода
газа в нормальном состоянии по измеренному объемному расходу
газа в рабочих условиях при температуре t и давлении р следует использовать формулу,

где р, Т — абсолютное давление и температурасреды;
рн, Т — те же величины, принятые за нормальные;
К — коэффициент сжимаемости газа.
Расчет градуировочной характеристики расходомера с сужающим устройством предполагает вычисление численного значения С, Е, Кщ, Кп, e, d, D, р, входящих в уравнения расхода (12.13) и (12.14) в рабочих условиях при известном диаметре проходного отверстия сужающего устройства d20 трубы D20. После установления количественного соотношения между
по измеренному в реальных условиях с помощью какого-либо дифманометра перепаду давлений на данном сужающем устройстве может быть вычислен расход через него.
Коэффициент истечения. В соответствии с теорией подобия коэффициенты истечения двух сужающих устройств равны при условии их подобия геометрического и гидродинамического потоков, в них протекающих. Коэффициенты С, С_ и
при
для диафрагм с угловым способом отбора определяются по формулам (12.8), (12.9).
Коэффициенты Кш, Кп. В шероховатом трубопроводе по сравнению с гладким имеет место некоторое уменьшение проходного сечения трубопровода, увеличение β и снижение Δр, что компенсируется коэффициентом Кш > 1. Его максимальное значение достигает 1,02 при D = 50 мм и β = 0,8, при D ≥ 300 мм Кш = 1. Значение Кш зависит также от Re, D, B, типа СУ и для диафрагмы в диапазоне 104 < Re < 106 рассчитывается по формуле

При Re > 106 ARe = 1. Значение Rш может быть определено также экспериментально по падению давления на участке трубопровода перед СУ.
Входную кромку диафрагмы можно считать острой, если отношение радиуса закругления кромки r к диаметру отверстия диафрагмы d не превышает 0,0004. Это условие трудно выполнить при d < 125 мм. Неострота входной кромки диафрагмы приводит к некоторому снижению перепада давления, которое компенсируется введением коэффициента Кп ≥ 1. Этот коэффициент достигает 1,02 при D = 50 мм и
Во время эксплуатации диафрагм радиус входной кромки возрастает. Обычно создаются зависимости изменения r от длительности эксплуатации, на которую влияет тип измеряемой среды. Эти зависимости могут использоваться для установления межповерочного интервала диафрагм.
Во все приведенные выше расчетные соотношения входит значение Re потока. Практически удобнее определять число Re не по скорости, а по расходу измеряемого вещества:

где G0 — объемный расход, м3/ч;
Gм— массовый расход, кг/ч;
р — плотность среды, кг/м3;
D — внутренний диаметр трубопровода, мм;
μ — динамическая вязкость среды, кгс · с/м2;
v — кинематическая вязкость среды, м2/с.
Поправочный множитель на расширение измеряемой среды вводится в уравнение расхода из-за изменения плотности газа при прохождении через сужающее устройство. В общем случае s зависит от отношения Δр/р (р — абсолютное давление среды до сужающего устройства), β, типа сужающего устройства и показателя адиабаты æ среды:
и для диафрагмы рассчитывается по (12.10). При одинаковых Δр/р для диафрагм ε всегда больше, чем для сопл, вследствие радиального расширения струи, приводящего к увеличению площади ее суженной части. Степень изменения плотности в основном определяется отношением Δр/р, при увеличении этого отношения s уменьшается, Δр/р у СУ не должно превышать 0,25. При малых
значение ε близко к единице. В большинстве случаев
при этом для сопл
и для диафрагм
При изменении расхода изменяется перепад Δр на сужающем устройстве, а следовательно, отношение
В микропроцессорных расходомерах ε рассчитывается для измеренного перепада давления. В аналоговых приборах в уравнениях расхода (12.11) и (12.12) используется значение εср, соответствующее среднему расходу Gср . При этом необходимое для определения ε отношение Δрср/р находится для всех дифманометров, кроме колокольных по формуле

где Gср — средний расход;
Gв.п. — верхний предел измерения расходомера;
Δрн — предельный номинальный перепад давления дифманометра (перепад, соответствующий расходу Gв.п.). Очевидно, что при таком способе определения εср при всех расходах, отличных от Gср , появится дополнительная погрешность из-за отклонения действительного ε от среднего. Эта погрешность зависит от отношения Δрср/р причем она снижается с уменьшением отношения.
Диаметры сужающего устройства и трубопровода обычно задаются значениями при температуре 20 °С и обозначаются соответственно d20 и D20. Входящие в уравнения расхода диаметры при рабочей температуре t определяются по формулам D = D20 K0; D = D20 Kt, где К0 и Кt — поправочные множители на расширение материала сужающего устройства и трубопровода.
Поправочные множители зависят от материала и температуры среды и определяются по формулам или таблицам, исходящим из линейной зависимости расширения металла от температуры. Если температура контролируемой среды находится в интервале -20...60 °С, то обычно принимается
Плотность измеряемой среды, входящая в уравнение расхода, определяется по параметрам состояния потока. Термопреобразователь, измеряющий температуру среды, устанавливается до или после сужающего устройства и на таком расстоянии от него, чтобы не было искажения профиля потока. Перед входом в сужающее устройство термопреобразователь устанавливается на расстоянии (5...20)£ > в зависимости от Р и диаметра термопреобразователя, после — на расстоянии (5...10)D.
Избыточное давление среды ри необходимо измерять непосредственно у входного торца сужающего устройства через специальное отверстие или то, которое используется для измерения перепада давления. Абсолютное давление р среды определяется как сумма избыточного ри и барометрического рб давлений.
Плотность среды либо измеряется плотномером, либо определяется по измеренным температуре и давлению с использованием расчетных соотношений или таблиц, для воды и пара. При отсутствии табличных данных плотность жидкости может быть определена по известной плотности рн при температуре tн в соответствии с приближенной формулой
ρ = ρн [1 - β(t - tн)]
где t — рабочая температура среды;β
β — средний коэффициент объемного теплового расширения жидкости в температурном интервале
Соотношения для расчета плотности жидкости определяют способ оценки погрешности расчета плотности.
Плотность сухого газа при температуре Т и рабочем давлении р может быть определена по известной плотности рн газа при нормальных условиях
относительная влажность φ = 0) по формуле
— коэффициент сжимаемости газа.
Вычисленные
будучи подставленными в выражения (12.11) и (12.12), позволяют получить статическую характеристику расходомера, с помощью которой определяют расход по измеряемому перепаду давления. Поскольку С и ε зависят от числа Re, то расчет градуировочной характеристики расходомера является итерационным.
Оценка погрешности измерения расхода. Из уравнений расхода (12.11) и (12.12) следует, что значение расхода является результатом косвенных измерений. Поэтому погрешность измерения расхода может быть определена в соответствии с выражениями (2.18) или (2.20), если известны погрешности измерения величин, входящих в уравнения расхода.
Так, среднеквадратическую погрешность измерения массового расхода σG можно определить по известным среднеквадратическим погрешностям σc, σε, σD, σd, σρ, σΔрн, при отсутствии корреляционной зависимости между ними, получаем

Уравнение расхода содержит две группы величин, различающихся способом получения их значений. К первой группе относятся С и ε, значения которых найдены в результате обработки большого числа измерений и для которых известны среднеквадратические погрешности σc и σε. Ко второй группе величин относятся
которые определяются по результатам однократных измерений и для которых по метрологическим характеристикам средств измерений могут быть определены только предельные значения погрешностей. Принимается, что для первой группы величин предельная погрешность измерений с вероятностью 0,95 равна 2σ, тогда

В (12.16) вместо погрешности
измерения перепада Δр может использоваться
измерения
, так как часто дифманометры-расходомеры снабжаются устройством для извлечения квадратного корня из значения
в целях получения равномерной шкалы по расходу. В этом случае класс дифманометра характеризует точность измерения

Погрешность
рассчитывается по формуле

где
— погрешность расчета С при условии, что погрешности определения
, Re, D и Rш/D равны нулю,
— погрешность определения поправочного множителя на шероховатость,
— погрешность определения поправочного множителя на неостроту входной кромки диафрагмы,
— погрешности, обусловленные сокращением длин линейных участков трубопровода до и после СУ, наличием уступа величиной h перед СУ, уменьшением толщины диафрагмы по сравнению с расчетным значением и смещением оси СУ относительно оси трубопровода. Данные по δc и δε приводятся в справочниках.. Для диафрагмы
при
при
, где δε0 — постоянная составляющая, которая равна 4Δp/p при
и
при
, δæ — погрешность определения показателя адиабаты. Методика измерений и используемые средства для определения D и требуемая точность изготовления СУ обеспечивают

При расчете количества вещества
учитывается погрешность определения интервалов времени
Порядок расчета значений δρ и δΔр определяется принятой методикой измерения величин р и
, метрологическими характеристиками применяемых средств измерений. В качестве примера рассмотрим случай, когда значение плотности определяется по таблицам с использованием измеренных значений температуры и давления среды. В этом случае предел относительной погрешности определения плотности среды в % вычисляется по формуле

где δρТ — предельная относительная погрешность табличного значения плотности (равна половине единицы разряда последней цифры табличного значения, разделенной на табличное значение плотности, умноженной на 100);
— частные производные зависимости
при измеренных значениях t и р. Последние определены с предельными погрешностями Δt и Δp, зависящими от используемых средств измерений.
Так, если комплект для измерения температуры состоит из термоэлектрического преобразователя (ТЭП), удлиняющих термоэлектродных проводов (УП) и автоматического потенциометра (АП), то при расчете Δt должны быть учтены погрешности всех элементов

(при необходимости должна также учитываться методическая погрешность). Аналогично Δt рассчитываются значения погрешности измерения давления Δp ' и погрешности ΔΔp. В программе расчета расходомера «Расходомер-СТ», пределы относительных погрешностей измерения расхода определяются для шести заданных пользователем значений относительного перепада давления на сужающем устройстве.
При определении суммарного расхода ∑G по показаниям расходомеров Gi, установленных в п параллельных трубопроводах, предел относительной систематической погрешности рассчитывается по формуле
где
— систематическая погрешность, одинаковая для всех расходомеров, например погрешность определения плотности.
Методика использования сужающих устройств для измерения расхода сред. Стандартные сужающие устройства могут применяться в комплекте с дифманометрами для измерения расхода и количества жидкостей, газов и пара в круглых трубопроводах (при любом их расположении).
При необходимости использования сужающих устройств на трубопроводах малого диаметра они должны подвергаться индивидуальной градуировке, т.е. экспериментальному определению зависимости
Самыми распространенными являются восемь вариантов типов СУ: диафрагмы с угловым, фланцевым и трехрадиусным способами отбора давления, сопла ИСА 1932, трубы Вентури с обработанной и необработанной конической частью короткие и длинные, сопла Вентури короткие и длинные. Стандартные диафрагмы применяются при соблюдении условия 0,2 < р < 0,75, стандартные сопла — при
и сопла Вен-
тури — при
. Конкретный тип сужающего устройства выбирается при расчете в зависимости от условий применения, требуемой точности, допустимой потери давления.
Для соблюдения геометрического подобия СУ должны быть изготовлены в соответствии с требованиями применительно к наиболее распространенным сужающим устройствам — диафрагмам, изображенным на рис. 12.4. Торцы диафрагмы должны быть плоскими и параллельными друг другу. Шероховатость торца в пределах D должна быть не более
, выходной торец должен иметь шероховатость в пределах 0,01 мм. Если диафрагма служит для измерения расхода потока в обоих направлениях, то оба торца должны обрабатываться с шероховатостью не более
, коническое расширение в этом случае отсутствует и кромки с обоих сторон должны быть острыми с радиусом закругления не более 0,05 мм. Если радиус закругления не превышает 0,0004d, то поправочный множитель на неостроту входной кромки принимается равным единице. При
мм это условие выполняется. Шероховатость поверхности отверстия не должна превышать

Рис. 12.4. Способы отбора давления:
а — через отдельные отверстия; б — из кольцевых камер (угловые методы); в — через отверстия во фланцах (фланцевый метод при l1 = l2 = 25,4 мм, трехрадиусный — при l1 = D и l2 = 0,5D)
Толщина диафрагмы Е должна находиться в пределах до 0,05D, толщина определяется из условия отсутствия деформации под воздействием Δpв при известном пределе текучести материала. Если действительная толщина диафрагмы меньше расчетной, то к погрешности определения коэффициента истечения (12.18) добавляется погрешность δЕ.
Длина цилиндрической части отверстия диафрагмы должна находиться в пределах от 0,005D до 0,02D если толщина превышает последнюю цифру, то со стороны выходного торца делается коническая поверхность с углом конусности 45 ± 15°.
Отбор давлений р1 и р2 при угловом способе осуществляется либо через отдельные цилиндрические отверстия (рис. 12.4, а), либо из двух кольцевых камер, каждая из которых соединяется с внутренней полостью трубопровода кольцевой щелью или группой равномерно распределенных по окружности отверстий (рис. 12.4, б). Конструкция отборных устройств для диафрагм и сопл одинакова. Сужающие устройства с кольцевыми камерами более удобны в эксплуатации, особенно при наличии местных возмущений потока, так как кольцевые камеры обеспечивают выравнивание давления по окружности трубы, что позволяет более точно измерять перепад давления при сокращенных прямых участках трубопровода
При фланцевом и трехрадиусном способах отбора давления перепад измеряется через отдельные цилиндрические отверстия, расположенные на расстоянии в первом случае
мм, а во втором
от плоскостей диафрагмы (рис. 12.4, в). Коэффициент истечения С зависит от способа отбора давления.
При установке сужающих устройств необходимо соблюдать ряд условий, влияющих на погрешность измерений.
Сужающее устройство в трубопроводе должно располагаться перпендикулярно оси трубопровода. Для диафрагм неперпендикулярность не должна превышать 1°. Ось сужающего устройства должна совпадать с осью трубопровода. Смещение оси отверстия сужающего устройства относительно оси трубопровода не должно превышать
Если смещение оси превышает указанное значение, но менее
, то к погрешности коэффициента истечения в (12.18) прибавляют δех = 0,3%. Если смещение оси превышает указанное предельное значение, то установка СУ не допускается.
Участок трубопровода длиной 2D до и после сужающего устройства должен быть цилиндрическим, гладким, на нем не должно быть никаких уступов, а также заметных глазу наростов и неровностей от заклепок, сварочных швов и т.п. Трубопровод считается цилиндрическим, если отклонение диаметра не превышает
от его среднего значения. В противном случае, если на расстоянии lh до СУ высота уступа h удовлетворяет двум условиям


то к погрешности коэффициента истечения прибавляют δh = 0,2%.
Важным условием является необходимость обеспечения установившегося течения потока перед входом в сужающее устройство и после него. Такой поток обеспечивается наличием прямых участков трубопровода определенной длины до и после сужающего устройства. На этих участках не должны устанавливаться никакие устройства, которые могут исказить гидродинамику потока на входе или выходе сужающего устройства. Длина этих участков должна быть такой, чтобы искажения потока, вносимые коленами, вентилями, тройниками, смогли сгладиться до подхода потока к сужающему устройству. При этом необходимо иметь в виду, что более существенное значение имеют искажения потока перед сужающим устройством и значительно меньшее — за ним, поэтому задвижки
Таблица 12.2
Наименьшие относительные длины линейного участка до диафрагмы
| № | Наименование местного сопротивления | Коэффициенты | Р | |||||||||
| ак | К | ск | 0,2 | 0,3 | 0,4 | 0,5 | 0,6 | 0,7 | 0,75 | 0,8 | ||
| 1 | Задвижка, равнопроходный шаровой кран | 11,5 | 82 | 6,7 | 12 | 12 | 12 | 13 | 15 | 19 | 24 | 30 |
| 2 | Пробковый кран | 14,5 | 30,5 | 2,0 | 16 | 18 | 20 | 23 | 26 | 30 | И | 34 |
| 3 | Запорный кран, вентиль | 17,5 | 64,5 | 4,1 | 18 | 18 | 19 | 22 | 26 | а | 38 | 44 |
| 4 | Заслонка | 21,0 | 38,5 | 1,4 | 25 | 29 | 32 | 36 | 40 | 45 | 4/ | 50 |
| 5 | Конфузор | 5,0 | 114 | 6,8 | 5 | 5 | 6 | 6 | У | 16 | 11 | зи |
| 6 | Симметричное резкое сужение | 30,0 | 0,0 | 0,0 | 30 | 30 | 30 | 30 | 30 | 30 | 30 | 30 |
| 7 | Диффузор | 16,0 | 185 | 7,2 | 16 | 16 | 17 | 18 | 21 | 31 | 40 | Э4 |
| 8 | Симметричное резкое расширение | 47,5 | 54,5 | 1,8 | 51 | 54 | 58 | 64 | 70 | 77 | 80 | 84 |
| 9 | Одиночное колено | 10,0 | 113 | 5,2 | 10 | 11 | 11 | 14 | 18 | 28 | 36 | 46 |
и вентили, особенно регулирующие, рекомендуется устанавливать после СУ. Длина Lк прямого участка перед сужающим устройством зависит от относительного диаметра β, диаметра трубопровода D и вида местного сопротивления, расположенного до прямого участка,
— постоянные коэффициенты, зависящие от вида местного сопротивления. Их величина и наименьшие значения Lк1/D для девяти типов местных сопротивлений приведены в табл. 12.2.
Так, для вида местного сопротивления «Задвижка, полнопроходной шаровой кран» при
, при
Длина прямого участка L2 после сужающего устройства зависит только от числа
Для
и при
= 0,8,
Допускается уменьшение длины прямых участков перед СУ до величины, вызывающей дополнительную погрешность δL, которая не превысит ±1%. Погрешность суммируется со значением δс0 и рассчитывается по формуле
,
где
отношение действительной длины прямого участка к расчетной. Погрешность в
соответствует
Допускается сокращение длины линейного участка после СУ вдвое, но при этом дополнительная погрешность к коэффициенту истечения составит
Необходимо, чтобы контролируемая среда заполняла все поперечное сечение трубопровода, причем фазовое состояние вещества не должно изменяться при прохождении через сужающее устройство. Конденсат, пыль, газы или осадки, выделяющиеся из контролируемой среды, не должны скапливаться вблизи сужающего устройства.
Дифманометр подключается к сужающему устройству двумя соединительными линиями (импульсными трубками) внутренним диаметром не менее 8 мм. Допускается длина соединительных линий до 50 м, однако из-за возможности возникновения большой динамической погрешности не рекомендуется использовать линии длиной более 15 м.
Для правильного измерения расхода перепад давления на входе дифманометра должен быть равен перепаду давления, развиваемому сужающим устройством, т.е. перепад от сужающего устройства к дифманометру должен передаваться без искажения.
Это возможно в случае, если давление, создаваемое столбом среды в обеих соединительных трубках, будет одинаковым. В реальных условиях это равенство может нарушаться. Например, при измерении расхода газа причиной этого может быть скапливание конденсата в неодинаковом количестве в соединительных линиях, а при измерении расхода жидкости, наоборот, скапливание выделяющихся газовых пузырьков. Во избежание этого соединительные линии должны быть либо вертикальными, либо наклонными с уклоном не менее 1:10, причем на концах наклонных участков должны быть конденсато- или газосборники. Кроме того, обе импульсные трубки следует располагать рядом, чтобы избежать неодинакового нагрева или охлаждения их, что может привести к неодинаковой плотности заполняющей их жидкости и, следовательно, к дополнительной погрешности. При измерении расхода пара важно обеспечить равенство и постоянство уровней конденсата в обеих импульсных трубках, что достигается применением уравнительных сосудов.
К одному сужающему устройству может быть подключено несколько дифманометров. При этом допускается подключение соединительных линий одного дифманометра к соединительным линиям другого.
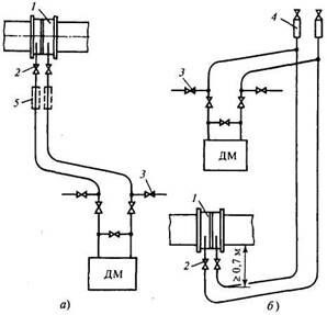
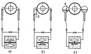
При измерении расхода жидкости дифманометр рекомендуется устанавливать ниже сужающего устройства 1, что исключает попадание в соединительные линии и дифманометр газа, который может выделиться из протекающей жидкости (рис. 12.5, а).

Рис. 12.5. Схема соединительных линий при измерении расхода жидкости с установкой дифматометра ниже (и) и выше (б) сужающего устройства:
1 — сужающее устройство; 2 — запорные вентили; 3 — продувочный вентиль; 4 — газосборники;
5 — разделительные сосуды
Для горизонтальных и наклонных трубопроводов соединительные линии должны подключаться через запорные вентили 2 к нижней половине трубы (но не в самой нижней части) во избежание попадания в линии газа или осадков из трубопровода. Если дифманометр все же устанавливается выше сужающего устройства (рис. 12.5, б), то в наивысших точках соединительных линий необходимо устанавливать газосборники 4 с продувочными вентилями. Если соединительная линия состоит из отдельных участков (например, при обходе какого-либо препятствия), то газосборники устанавливаются в наивысшей точке каждого участка. При установке дифманометра выше сужающего устройства трубки вблизи последнего прокладываются с U-образным изгибом, опускающимся ниже трубопровода не менее чем на 0,7 м для уменьшения возможности попадания газа из трубы в соединительные линии. Продувка соединительных линий осуществляется через вентили 3.
При измерении расхода агрессивных сред в соединительных линиях возможно ближе к сужающему устройству устанавливаются разделительные сосуды 5. Соединительные линии между разделительным сосудом и дифманометром, частично и сам сосуд заполнены нейтральной жидкостью, плотность которой больше плотности измеряемой агрессивной среды. Остальная часть сосуда и линии до сужающего устройства заполнены контролируемой средой. Следовательно, поверхность раздела контролируемой среды и разделительной жидкости находится внутри сосуда, причем уровни раздела в обоих сосудах должны быть одинаковыми.
Разделительная жидкость выбирается таким образом, чтобы она химически не взаимодействовала с контролируемой средой, не смешивалась с ней, не давала отложений и не была агрессивной по отношению к материалу сосудов, соединительных линий и дифманометра. Чаще всего в качестве разделительной жидкости используются вода, минеральные масла, глицерин, водоглицериновые смеси.
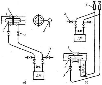
При измерении расхода газа дифманометр рекомендуется устанавливать выше сужающего устройства, чтобы конденсат, образовавшийся в соединительных линиях, мог стекать в трубопровод (рис. 12.6, а). Соединительные линии нужно подключать через запорные вентили 2 к верхней половине сужающего устройства, их прокладку желательно производить вертикально. Если вертикальная прокладка соединительных линий невозможна, то их следует прокладывать с наклоном в сторону трубопровода или конденсатосборников 4. Подобные требования должны выполняться и при расположении дифманометра ниже сужающего устройства (рис. 12.6, б). При измерении расхода агрессивного газа в соединительные линии должны включаться разделительные сосуды.

Рис. 12.6. Схема соединительных линий при измерении расхода газа с установкой дифманометра выше (я) и ниже (б) сужающего устройства:
1 — сужающее устройство; 2 — запорные вентили; 3 — продувочный вентиль; 4 — конденсатосборник

Рис. 12.7. Схема, поясняющая назначение уравнительных конденсационных сосудов при измерении расхода пара:
а—в — стадии измерения разности давлений
При измерении расхода перегретого водяного пара неизолированные соединительные линии оказываются заполненными конденсатом. Уровень конденсата и его температура в обеих линиях должны быть одинаковыми при любом расходе.
Для стабилизации верхних уровней конденсата в обеих соединительных линиях вблизи сужающего устройства устанавливаются уравнительные конденсационные сосуды. Назначение уравнительных сосудов можно пояснить с помощью рис. 12.7. Предположим, что при отсутствии уравнительных сосудов и некотором расходе пара уровень конденсата в обеих импульсных трубках одинаков. При увеличении расхода на сужающем устройстве увеличивается перепад давления, заставляющий нижнюю мембранную коробку сжиматься, а верхнюю растягиваться (рис. 12.7, б). Из-за изменения объемов коробок в нижнюю, «плюсовую» камеру дифманометра будет затекать конденсат из «плюсовой» импульсной трубки, что приведет к понижению уровня в ней на величину h. Из верхней, «минусовой» камеры дифманометра конденсат будет выталкиваться в импульсную трубку и в паропровод, но высота столба конденсата останется неизменной. Образовавшаяся разница уровней конденсата создает перепад давления hρg, уменьшающий перепад давления
в сужающем устройстве. Таким образом, на дифманометр будет действовать перепад
, т.е. показания расходомера будут заниженными. Нетрудно заметить, что абсолютная погрешность измерения будет расти с увеличением изменений расхода.
Очевидно, что погрешность можно снизить уменьшением h. Для этого на концах импульсных трубок устанавливают уравнительные конденсационные сосуды (рис. 12.8) — горизонтально расположенные цилиндры большого сечения. Так как сечение этих сосудов велико, вытекание из них конденсата мало изменит его уровень, так что перепад Δpд, измеряемый дифманометром, можно считать равным перепаду
в сужающем устройстве.

Рис. 12.8. Схема соединительных линий при измерении расхода пара с установкой дифманометра ниже (а) и выше (б) сужающего устройства:
1 — сужающее устройство; 2 — уравнительные сосуды; 3, 4 — запорные и продувочные вентили;
5 — газосборник
При измерении расхода пара дифманометр следует располагать ниже сужающего устройства 1 и уравнительных сосудов 2 (рис. 12.8, а) для облегчения удаления воздуха из соединительных линий. Допускается дифманометр располагать выше сужающего устройства, но в верхней точке соединительных линий в этом случае необходимо устанавливать газосборники 5 (рис. 12.8, б), позиции 3,4 — запорные и продувочные вентили.
Специальные сужающие устройства. Эти устройства используются для измерения расхода методом переменного перепада давления без индивидуальной градуировки, если их расчет, изготовление и установка выполнены в соответствии с методическими указаниями РД 50-411. К специальным сужающим устройствам (ССУ) относятся диафрагмы с коническим входом, цилиндрические сопла, сопла «четверть круга», двойные диафрагмы, сегментные и износоустойчивые диафрагмы, стандартные диафрагмы с внутренним диаметром менее 50 мм, все они представлены соответственно на рис. 12.9, а ÷ ж. При использовании ССУ должны выполняться те же условия, что и для обычных стандартных сужающих устройств. Специальные сужающие устройства допускаются к применению только в той области чисел Рейнольдса, где коэффициент расхода а можно считать не зависящим от расхода. Эти границы
зависят от типа ССУ и его относительной площади
Диафрагмы с коническим входом используются на трубопроводах диаметром D от 12,5 до 100 мм, при этом относительная площадь т составляет 0,01...0,25 и диаметр отверстия диафрагмы 6...50 мм. Значение
изменяется от 40 (при т = 0,01) до 250 (при т = 0,25). В свою очередь,
изменяется от 20 000 (при т = 0,01) до 50 000 (при
).
Цилиндрические сопла используются для
мм при
мм;
изменяется от 500 (при т = 0,01) до 5500 (при m = 0,49) соответственно
= 8000...200 000.
Сопла «четверть круга» могут иметь различные конструктивные исполнения, на рис. 12.9 показано одно из них. У всех исполнений профиль сужающей части описывается дугой определенного радиуса r.
Такие ССУ используются для D = 25... =100 мм при т = 0,05...0,49 и d = 6...70 мм;
изменяется от 2000 (при т = 0,05) до 5000 (при т = 0,49) соответственно
= 35 000.. .200 000.
Двойные диафрагмы состоят из двух диафрагм, удаленных друг от друга. У первой по ходу потока диафрагмы т1 больше относительной площади второй диафрагмы т, причем связь между т1 и т должна быть определенной. Перепад давления измеряется у передней плоскости первой диафрагмы и задней плоскости второй. Такой тип ССУ используется для D = 40... 100 мм при т = 0,1...0,5 и d = 12,7...70,5 мм; Remin изменяется от 2500 (при т = 0,1) до 15000 (при т = 0,50) соответственно
= 150000...400000.
Сегментные диафрагмы обычно используются для измерения расхода загрязненных сред или жидкостей, из которых могут выделяться газы. В первом случае отверстие диафрагмы располагается в нижней части трубы, а во втором — в верхней. Они используются для D = 50...1000 мм при т = 0,1...0,50

Рис, 12.9. Специальные сужающие устройства:
а — диафрагма с коническим входом; б - цилиндрическое сопло; в — сопло четверть круга; г — двойная диафрагма; д — сегментная диафрагма; е — износоустойчивая диафрагма; ж — диафрагма для D < 50 мм
Износоустойчивые диафрагмы (стандартные диафрагмы со снятой фаской по входной кромке) используются для D = 30...1000 мм при т =
= 0,05...0,64 и d = 16...800 мм при этом
= 20000...300000, при всех т значение
= 107.
Стандартные диафрагмы для трубопроводов с внутренним диаметром менее 50 мм используются для
D = 14...50 мм при т = β2 = 0,05...0,64 и d = 7...40 мм, при этом Remin = 2200...300000, при всех т значение
= 107.
Вам также может быть полезна лекция "11 Ответственность за нарушение экологического законодательства".
Диафрагмы с входным конусом, сопла «четверть круга», двойные диафрагмы, цилиндрические сопла рекомендуются для измерения расхода веществ при малых числах Re, что имеет практическое значение в случаях установки сужающих устройств в трубопроводах малого диаметра, измерения расхода вязких жидкостей и горячих газов.
Сегментные диафрагмы используются для измерения расхода загрязненных жидкостей и газов, в которых объемное относительное содержание жидкой и твердой фазы не должно превышать соответственно
— плотности смеси и примеси.
Износоустойчивые диафрагмы рекомендуется применять взамен обычных стандартных диафрагм. Это объясняется тем, что у последних острая входная кромка неизбежно притупляется под действием потока, что приводит к росту погрешности измерения расхода. В то же время износоустойчивые диафрагмы длительное время сохраняют свой профиль неизменным.
Стандартные диафрагмы для трубопроводов с внутренним диаметром менее 50 мм рекомендуются для измерения малых расходов газа (менее 50 м3/ч) и малых расходов жидкостей (менее 5 м3/ч), обладающих кинематической вязкостью менее 10-6 м2/с.
При изготовлении специальных сужающих устройств высокие требования предъявляются к шероховатости их проточной части. Кроме того, ССУ допускаются к применению только на гладких трубопроводах, к числу которых относятся трубопроводы с заданной относительной шероховатостью на участке 10D до ССУ. До и после ССУ должны быть прямые участки трубопровода, длина которых зависит от β, ССУ и типа местного сопротивления. Регулирующую аппаратуру необходимо устанавливать за ССУ. Перепад давления может измеряться любым из способов, представленных на рис. 12.4






















