Уравнение движения автомобиля
Лекция 7. Уравнение движения автомобиля
План лекции
7.1 Силы сопротивления движению и мощности, затрачиваемые на их преодоление
7. 2. Уравнение движения автомобиля
7. 1 Силы сопротивления движению и мощности, затрачиваемые на их преодоление
Силами сопротивления называются силы, препятствующие Движению автомобиля. Эти силы направлены против его движения.
При движении на подъеме, характеризуемом высотой Нп, длиной проекции Вп на горизонтальную плоскость и углом подъема дороги а, на автомобиль действуют следующие силы сопротивления (рис. 7.1): сила сопротивления качению Рк, равная сумме сил сопротивления качению передних (РК1) и задних (РК2) колес, сила сопротивления подъему Рп, сила сопротивления воздуха Рв и сила сопротивления разгону Ри. Силы сопротивления качению и подъему связаны с особенностями дороги. Сумма этих сил называется силой сопротивления дороги Рд.

Рис. 7.1. Силы сопротивления движению автомобиля
Сила сопротивления качению
Возникновение силы сопротивления качению при движении обусловлено потерями энергии на внутреннее трение в шинах, поверхностное трение шин о дорогу и образование колеи (на деформируемых дорогах).
Рекомендуемые материалы
О потерях энергии на внутреннее трение в шине можно судить по рис. 7.2, на котором приведена зависимость между вертикальной нагрузкой на колесо и деформацией шины — ее прогибом fш.
При движении колеса по неровной поверхности шина, испытывая действие переменной нагрузки, деформируется. Линия Оа, которая соответствует возрастанию нагрузки, деформирующей шину, не совпадает с линией аО, отвечающей снятию нагрузки. Площадь области, заключенной между указанными кривыми, характеризует потери энергии на внутреннее трение между отдельными частями шины (протектор, каркас, слои корда и др.).
Потери энергии на трение в шине называются гистерезисом, а линия ОаО — петлей гистерезиса.
Потери на трение в шине необратимы, так как при деформации она нагревается и из нее выделяется теплота, которая рассеивается в окружающую среду. Энергия, затрачиваемая на деформацию шины, не возвращается полностью при последующем восстановлении ее формы.
Сила сопротивления качению Рк достигает наибольшего значения при движении по горизонтальной дороге. В этом случае
Рк =fG, где G — вес автомобиля, Н; f — коэффициент сопротивления качению.

Рис. 7.2. Потери энергии на внутреннее трение в шине:
а — точка, соответствующая максимальным значениям нагрузки и прогиба шины

Рис. 7.3. Зависимости силы сопротивления качению Рк и мощности NK, необходимой для преодоления этого сопротивления, от скорости автомобиля
При движении на подъеме и спуске сила сопротивления качению уменьшается по сравнению с Рк на горизонтальной дороге, и тем значительнее, чем они круче. Для этого случая движения сила сопротивления качению

где а — угол подъема, °.
Зная силу сопротивления качению, можно определить мощность, кВт, затрачиваемую на преодоление этого сопротивления:

где v — скорость автомобиля, м/с. Для горизонтальной дороги cos 0° = 1 и

Зависимости силы сопротивления качению Рк и мощности NK от скорости автомобиля v показаны на рис. 7.3.
Коэффициент сопротивления качению
Коэффициент сопротивления качению существенно влияет на потери энергии при движении автомобиля. Он зависит от многих конструктивных и эксплуатационных факторов и определяется экспериментально. Его средние значения для различных дорог при Нормальном давлении воздуха в шине составляют 0,01 ...0,1.

Рис 7.4. Зависимости коэффициента сопротивления качению от
скорости движения (а), давления воздуха в шине (б) и момента,
передаваемого через колесо (в)
Рассмотрим влияние различных факторов на коэффициент сопротивления качению.
Скорость движения. При изменении скорости движения в интервале 0...50 км/ч коэффициент сопротивления качению изменяется незначительно и его можно считать постоянным в указанном диапазоне скоростей.
При повышении скорости движения за пределами указанного интервала коэффициент сопротивления качению существенно увеличивается (рис. 7.4, а) вследствие возрастания потерь энергии в шине на трение.
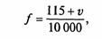
Коэффициент сопротивления качению в зависимости от скорости движения можно приближенно рассчитать по формуле

где v — скорость автомобиля, км/ч.
Тип и состояние покрытия дороги. На дорогах с твердым покрытием сопротивление качению обусловлено главным образом деформациями шины.
При увеличении числа дорожных неровностей коэффициент сопротивления качению возрастает.
На деформируемых дорогах коэффициент сопротивления качению определяется деформациями шины и дороги. В этом случае он зависит не только от типа шины, но и от глубины образующейся колеи и состояния грунта.
Значения коэффициента сопротивления качению при рекомендуемых уровнях давления воздуха и нагрузки на шину и средней скорости движения на различных дорогах приведены ниже:
Асфальто- и цементобетонное шоссе:
в хорошем состоянии................................. 0,007...0,015
в удовлетворительном состоянии.............. 0,015...0,02
Гравийная дорога в хорошем состоянии..... 0,02...0,025
Булыжная дорога в хорошем состоянии...... 0,025...0,03
Грунтовая дорога сухая, укатанная.............. 0,025...0,03
Песок............................................................... 0,1...0,3
Обледенелая дорога, лед............................... 0,015...0,03
Укатанная снежная дорога............................ 0,03...0,05
Тип шины. Коэффициент сопротивления качению во многом зависит от рисунка протектора, его износа, конструкции каркаса и качества материала шины. Изношенность протектора, уменьшение числа слоев корда и улучшение качества материала приводят к падению коэффициента сопротивления качению вследствие снижения потерь энергии в шине.
Давление воздуха в шине. На дорогах с твердым покрытием при уменьшении давления воздуха в шине коэффициент сопротивления качению повышается (рис. 7.4, б). На деформируемых дорогах при снижении давления воздуха в шине уменьшается глубина колеи, но возрастают потери на внутреннее трение в шине. Поэтому для каждого типа дороги рекомендуется определенное давление воздуха в шине, при котором коэффициент сопротивления качению имеет минимальное значение.
Нагрузка на колесо. При увеличении вертикальной нагрузки на колесо коэффициент сопротивления качению существенно возрастает на деформируемых дорогах и незначительно — на дорогах с твердым покрытием.
Момент, передаваемый через колесо. При передаче момента через колесо коэффициент сопротивления качению возрастает (рис. 7.4, в) вследствие потерь на проскальзывание шины в месте ее контакта с дорогой. Для ведущих колес значение коэффициента сопротивления качению на 10... 15 % больше, чем для ведомых.
Коэффициент сопротивления качению оказывает существенное влияние на расход топлива и, следовательно, на топливную экономичность автомобиля. Исследования показали, что даже небольшое уменьшение этого коэффициента обеспечивает ощутимую экономию топлива. Поэтому неслучайно стремление конструкторов и исследователей создать такие шины, при использовании которых коэффициент сопротивления качению будет незначительным, но это весьма сложная проблема.
Сила сопротивления подъему
Вес автомобиля, который движется на подъеме, можно разложить на две составляющие (см. рис. 7.1): параллельную и перпендикулярную поверхности дороги. Составляющая силы тяжести, параллельная поверхности дороги, представляет собой силу сопротивления подъему, Н:
Рп = Gsinα,
где G — вес автомобиля, Н; a — угол подъема, °.

Рис. 7.5. Зависимости силы сопротивления подъему Рп и мощности Nп, необходимой для его преодоления, от скорости автомобиля
В качестве характеристики крутизны подъема наряду с углом α используют величину i, называемую уклоном и равную i = H/Bn, где Нп — высота подъема; Bn — длина его проекции на горизонтальную плоскость. Сила сопротивления подъему может быть направлена как в сторону движения, так и против него. В процессе подъема она действует в направлении, противоположном движению, и является силой сопротивления движению. При спуске эта сила, направленная в сторону движения, становится движущей.
Зная силу сопротивления подъему, можно определить мощность, кВт, необходимую для преодоления этого сопротивления:

где v — скорость автомобиля, м/с.
Зависимости силы сопротивления подъему Рп „ и мощности Nn, необходимой для преодоления этого сопротивления, от скорости автомобиля v приведены на рис. 7.5.
Сила сопротивления дороги
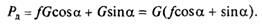
Сила сопротивления дороги представляет собой сумму сил сопротивления качению и сопротивления подъему:

или

Выражение в скобках, характеризующее дорогу в общем случае, называется коэффициентом сопротивления дороги:

При малых углах подъема (не превышающих 5°), характерных для большинства автомобильных дорог с твердым покрытием, коэффициент сопротивления дороги

Сила сопротивления дороги в этом случае
Рд =ψG
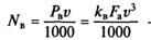
Зная силу сопротивления дороги, можно определить мощность, кВт, необходимую для его преодоления:

где скорость автомобиля v выражена в м/с, вес G — в Н, мощность NД — в кВт.
Зависимости силы сопротивления дороги Рв и мощности NД, затрачиваемой на его преодоление, от скорости автомобиля v представлены на рис. 7.6.
Сила сопротивления воздуха
При движении действие силы сопротивления воздуха обусловлено перемещением частиц воздуха и их трением о поверхность автомобиля. Если он движется при отсутствии ветра, то сила сопротивления воздуха, Н:

тогда как при наличии ветра

где
kв — коэффициент сопротивления воздуха (коэффициент обтекаемости), Н-с2/м4; Fa — лобовая площадь автомобиля, м2; v — скорость автомобиля, м/с; vB — скорость ветра, м/с (знак «+» соответствует встречному ветру, знак «-» — попутному).
Коэффициент сопротивления воздуха, зависящий от формы и качества поверхности автомобиля, определяется экспериментально при продувке в аэродинамической трубе.


Рис. 7.7. Площади лобового сопротивления легкового (а) и грузового
(б) автомобилей
Коэффициент сопротивления воздуха, Н-с2/м4, составляет 0,2...0,35 для легковых автомобилей, 0,35...0,4 — для автобусов и 0,6...0,7 — для грузовых автомобилей. При наличии прицепов сопротивление воздуха увеличивается, так как возрастает наружная поверхность трения и возникают завихрения воздуха между тягачом и прицепами. При этом каждый прицеп вызывает увеличение коэффициента kв в среднем на 15...25 %.
Лобовая площадь автомобиля зависит от его типа (рис. 7.7). Ее приближенное значение, м2, можно вычислить по следующим формулам:
FA = ВНа — для грузовых автомобилей и автобусов;
Fa = 0,78ВаНа — для легковых автомобилей,
где В — колея колес автомобиля, м; На — наибольшая высота автомобиля, м; Bа — наибольшая ширина автомобиля, м.
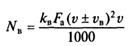
Мощность, кВт, затрачиваемая на преодоление сопротивления воздуха:
— при отсутствии ветра;
— при наличии ветра.
Зависимости силы сопротивления воздуха Рв и мощности NB, необходимой для преодоления этого сопротивления, от скорости автомобиля v приведены на рис. 7.8.

Рис. 7.8. Зависимости силы сопротивления воздуха Рв и мощности Nb, необходимой для преодоления этого сопротивления, от скорости автомобиля
Сила сопротивления разгону
Сила сопротивления разгону возникает вследствие затрат энергии на раскручивание вращающихся частей двигателя и трансмиссии, а также колес при движении автомобиля с ускорением.
Сила сопротивления разгону, Н:

=
где G — вес автомобиля, Н; g — ускорение силы тяжести, м/с2;
вр — коэффициент учета вращающихся масс автомобиля; j — ускорение автомобиля, м/с2.
Мощность, кВт, затрачиваемая на разгон:

Зависимости силы сопротивления разгону Ри и мощности NK, необходимой для преодоления этого сопротивления, от скорости автомобиля v представлены на рис. 7.9.

Рис. 7.9. Зависимости силы сопротивления разгону Ря и мощности /Уи, необходимой для преодоления этого сопротивления, от скорости автомобиля
Коэффициент учета вращающихся масс
Этот коэффициент учитывает дополнительное сопротивление разгону автомобиля, вызванное раскручиванием вращающихся частей двигателя, трансмиссии и колес.
Коэффициент учета вращающихся масс показывает, во сколько раз мощность, затрачиваемая на разгон автомобиля, больше мощности, необходимой для установившегося движения:

где JM — момент инерции маховика; uТ,
Чтр — передаточное число и КПД трансмиссии; Jсум — суммарный момент инерции всех колес автомобиля.
Коэффициент учета вращающихся масс для автомобиля с полной нагрузкой можно приближенно рассчитать по формуле

где ик, ид — передаточные числа основной и дополнительной коробок передач.
7.2. Уравнение движения автомобиля
Для вывода уравнения движения рассмотрим разгон автомобиля на подъеме (рис. 7.10).
Спроецируем все силы, действующие на автомобиль, на поверхность дороги:
(7.1)
Подставим в формулу (7.1) касательные реакции дороги RX1 и RX2, объединим члены с коэффициентом сопротивления качению f и члены с ускорением j и, принимая во внимание соотношения f(RZl + RZ2)- Pk и /*, + Л2 = Jк , а также коэффициент учета вращающихся масс, получим уравнение движения автомобиля в общем виде:
или
(7.2)
Уравнение движения автомобиля выражает связь между движущими силами и силами сопротивления движению. Оно позволяет определить режим движения автомобиля в любой момент.
Так, например, при установившемся (равномерном) движении

Из уравнения (7.2) следует, что безостановочное движение автомобиля возможно только при условии

Ещё посмотрите лекцию "18 Дизайн молекул лекарств" по этой теме.

Рис. 7.10. Схема сил, действующих на автомобиль на подъеме
данное неравенство связывает конструктивные параметры автомобиля с эксплуатационными факторами, обусловливающими сопротивление движению. Однако оно не гарантирует отсутствия буксования ведущих колес. Безостановочное движение автомобиля без буксования ведущих колес возможно лишь при соблюдении условия
Рсц
РТ
РД + РВ.
Условие равномерного движения при отсутствии буксования ведущих колес записывается в виде
Рсц
РТ = РД + РВ























