Двигатель и его характеристики
Лекция 4. Двигатель и его характеристики
План лекции
4.1. Скоростные характеристики двигателей
4.2. Нагрузочные характеристики двигателей
4.3. Регулировочные характеристики двигателей
4.1. Скоростные характеристики двигателей
Двигатель является основным источником энергии, необходимой для движения автомобиля. Характеристики двигателя служат для определения его мощностных и экономических показателей. Наиболее важные характеристики — скоростные, нагрузочные и регулировочные — позволяют оценивать работу двигателей, эффективность их использования, техническое состояние и качество ремонта, сравнивать различные их типы и модели, а также судить о совершенстве конструкций новых двигателей.
Скоростной характеристикой называются зависимости эффективной мощности Ne и эффективного крутящего момента Ме двигателя от угловой скорости коленчатого вала ае.
У двигателя различают два типа скоростных характеристик: внешнюю (предельную) и частичные.
Внешнюю скоростную характеристику получают при полной нагрузке двигателя, т.е. при полной подаче топлива. Частичные — при неполных нагрузках двигателя, или при неполной подаче топлива.
Двигатель имеет только одну внешнюю скоростную характеристику и большое число частичных, среди которых и характеристика холостого хода.
Рекомендуемые материалы
На частичных скоростных характеристиках значения эффективной мощности и крутящего момента двигателя меньше, чем на внешней скоростной характеристике, но характер их изменения аналогичен.
Тягово-скоростные свойства автомобиля определяют при работе двигателя только на внешней скоростной характеристике.
Рассмотрим внешние скоростные характеристики бензиновых Двигателей и дизелей, которые имеют некоторые отличительные особенности.
Внешняя скоростная характеристика бензинового двигателя без ограничителя угловой скорости коленчатого вала представлена на Рис. 2.1. Такие двигатели применяют главным образом на легковых автомобилях и иногда на автобусах.

Рис. 4.1. Внешняя скоростная характеристика бензинового двигателя без ограничителя угловой скорости коленчатого вала
Приведенные зависимости имеют следующие характерные точки:
• Mmax — максимальная (номинальная) эффективная мощность;
• ωN. — угловая скорость коленчатого вала при максимальной мощности;
• Mmax — максимальный крутящий момент;
• ωМ — угловая скорость коленчатого вала при максимальном крутящем моменте;
• NM — мощность при максимальном крутящем моменте;
• MN — крутящий момент при максимальной мощности;
• ωmin — минимальная устойчивая угловая скорость коленчатого вала при полной подаче топлива; для бензиновых двигателей (ωmin = 80... 100 рад/с;
• ωmax — максимальная угловая скорость коленчатого вала при полной подаче топлива, соответствующая максимальной скорости автомобиля при движении на высшей передаче; для бензиновых двигателей без ограничителей угловой скорости коленчатого вала ютах = (1,05... l,l) ωN.
Из рис. 4.1 видно, что эффективная мощность и эффективный крутящий момент двигателя возрастают с увеличением угловой скорости коленчатого вала, достигают максимальных значений при соответствующих угловых скоростях ωN и ωM /, а затем уменьшаются с ростом ω е вследствие ухудшения наполнения цилиндров горючей смесью и увеличения трения. При этом возрастают динамические нагрузки, что приводит к ускоренному изнашиванию деталей двигателя. В условиях эксплуатации двигатель работает главным образом в интервале угловых скоростей от ωM до ωN.
Внешняя скоростная характеристика бензинового двигателя с ограничителем угловой скорости коленчатого вала показана на рис. 2.2. Такие двигатели применяют на грузовых автомобилях и автобусах.

Рис. 4.2. Внешняя скоростная характеристика бензинового двигателя с ограничителем угловой скорости коленчатого вала
Ограничитель угловой скорости автоматически уменьшает подачу горючей смеси в цилиндры двигателя и снижает угловую скорость коленчатого вала с целью повышения долговечности двигателя. Ограничитель вступает в действие на той части внешней скоростной характеристики, на которой мощность двигателя почти не возрастает с увеличением угловой скорости коленчатого вала. Включение ограничителя соответствует максимальной угловой скорости ωmax = (0,8...0,9) ωN. Максимальной эффективной мощностью в этом случае является наибольшая мощность, которую может развить двигатель при отсутствии ограничителя, т.е. Nmax, соответствующая угловой скорости коленчатого вала ωN.
Внешняя скоростная характеристика дизеля представлена на рис. 4.3. Такие двигатели применяют на грузовых автомобилях, автобусах и легковых автомобилях.
У дизелей мощность не достигает максимального значения из-за неполного сгорания горючей (рабочей) смеси. Максимальной в этом случае считается мощность, которая соответствует моменту включения регулятора угловой скорости коленчатого вала, т. е. Nmax при угловой скорости ωN. Для дизелей максимальная угловая скорость коленчатого вала практически совпадает с угловой скоростью при максимальной мощности (ωmax = ωN).
Из рассмотренных внешних скоростных характеристик бензиновых двигателей и дизеля следует, что максимальные значения эффективного крутящего момента Mmax и эффективной мощности Nmax получают при различных угловых скоростях коленчатого вала. При этом значения Мтах смещены влево относительно значений Nmax, что необходимо для устойчивой работы двигателя, или, иначе говоря, для его способности автоматически приспосабливаться к изменению нагрузки на колеса автомобиля.
Например, автомобиль двигался по горизонтальной дороге при максимальной мощности двигателя и начал преодолевать подъем. В этом случае сопротивление дороги возрастает, скорость автомобиля и угловая скорость коленчатого вала уменьшаются, а крутящий момент двигателя увеличивается, обеспечивая возрастание тяговой силы на ведущих колесах автомобиля. Чем больше увеличение крутящего момента при уменьшении угловой скорости коленчатого вала, тем выше приспособляемость двигателя и меньше вероятность его остановки. У бензиновых двигателей Увеличение (запас) крутящего момента достигает 30 %, а у дизелей — 15%.

Рис. 4.3. Внешняя скоростная характеристика дизеля с регулятором угловой скорости коленчатого вала
Скоростные характеристики двигателей определяют экспериментально в процессе их испытаний на специальных стендах. При проведении испытаний с двигателя снимают часть элементов систем охлаждения, питания (вентилятор, радиатор, глушитель, компрессор, насос гидроусилителя и др.), без которых он может работать на стендах.
Мощность и крутящий момент, измеренные при испытаниях и приведенные к условиям, соответствующим давлению окружающего воздуха 1 атм и температуре 15 °С, называют стендовыми. Их указывают в технических характеристиках, инструкциях, каталогах, проспектах и т. п.
В действительности мощность и момент двигателя, установленного на автомобиле, на 10... 20 % меньше, чем стендовые. Это связано с размещением на двигателе элементов различных систем, которые демонтируют при испытаниях. Кроме того, давление и температура наружного воздуха при работе двигателя на автомобиле отличаются от таковых при измерениях.
Реальную внешнюю скоростную характеристику двигателя можно получить только на основании экспериментальных данных после его создания. Если же такие данные отсутствуют, например при проектировании нового двигателя, то внешнюю скоростную характеристику можно рассчитать, используя известные соотношения.
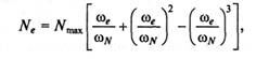
Для бензиновых двигателей:


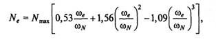
Для четырехтактных дизелей:


Эффективный крутящий момент для бензиновых двигателей и дизелей определяется по формуле:

В указанных формулах мощность выражается в кВт, крутящий момент — в Н*м, угловая скорость — в рад/с.
4.2. Нагрузочные характеристики двигателей
Нагрузочной характеристикой двигателя называются зависимости часового GТ и удельного эффективного ge расходов топлива от эффективной мощности Ne или эффективного давления ре газов на поршень при постоянной угловой скорости ω е коленчатого вала. Нагрузочные характеристики служат для оценки топливной экономичности двигателя при различных режимах его работы.
На рис. 4.4 показана нагрузочная характеристика бензинового двигателя. Часовой расход топлива связан приблизительно линейной зависимостью с Ne и ре. Удельный эффективный расход топлива значительно возрастает при уменьшении его подачи из-за ухудшения рабочего процесса и снижения механического КПД двигателя. Экономичность двигателя тем выше, чем меньше ge и чем более полого проходит его кривая в интервале нагрузок двигателя, типичных для условий эксплуатации.
Двигатель автомобиля работает в широком диапазоне значений угловой скорости коленчатого вала, поэтому измеряют не одну, а несколько его нагрузочных характеристик.
На рис. 2.5 приведена регулировочная нового двигателя по характеристика бензинового двигателя по расходу топлива

Рис. 4.4. Нагрузочная характеристика бензинового двигателя
4.3. Регулировочные характеристики двигателей
Регулировочной характеристикой двигателя называются зависимости эффективной мощности и удельного эффективного расхода топлива от его часового расхода, состава горючей смеси, угла опережения зажигания или впрыска топлива и т.д.
Регулировочные характеристики определяют оптимальные условия работы двигателя и оценивают качество его регулировки. Эти характеристики измеряют при полной и частичных нагрузках двигателя (при полной и частичной подаче топлива).
Обычно снимают регулировочные характеристики двигателя по расходу топлива, показывающие изменение эффективной мощности и удельного эффективного расхода топлива в зависимости от его часового расхода при постоянной угловой скорости коленчатого вала.
Рекомендуем посмотреть лекцию "5 Характеристики дизелей, газотурбинных установок".

Рис. 4.5. Регулировочная характеристика бензинового двигателя по расходу топлива.
На рис 4.5 приведена регулировочная характеристика по расходу топлива. Она имеет две характерные точки, одна из которых соответствует максимальной мощности, а другая — минимальному удельному эффективному расходу топлива.
Двигатель развивает максимальную мощность при часовом расходе топлива, соответствующем обогащенной горючей смеси (коэффициент избытка воздуха αи = 0,8...0,9), которая быстро горит. При обеднении горючей смеси мощность двигателя уменьшается из-за снижения скорости сгорания смеси. Наибольшую топливную экономичность двигателя обеспечивает часовой расход топлива, отвечающий обедненной горючей смеси (αи = 1,1... 1,2). При большем обеднении горючей смеси значительно уменьшается скорость ее горения, двигатель работает неустойчиво, резко падает его мощность и снижается топливная экономичность.
Следовательно, наиболее благоприятный для работы двигателя диапазон значений часового расхода топлива заключен между GT, соответствующими минимальному удельному эффективному расходу топлива и максимальной мощности двигателя.
Эксплуатация двигателя за указанными пределами нежелательна вследствие снижения его мощности и топливной экономичности,
Рекомендуемые лекции
- Психокоррекционная работа по преодолению нарушений и развитию межличностных отношений и общения лиц с нарушениями речи
- 1.4 Первое начало термодинамики с точки зрения статистической физики. Статистическое определение энтропии
- 5 Характеристики дизелей, газотурбинных установок
- 9 Медицинская сортировка на первом этапе медицинской эвакуации
- 84 Свойства изображений























