Моносахариды
4.2. Моносахариды
Простыми углеводами (моносахаридами) называют сахара, которые не способны гидролизоваться с образованием более простых углеводов. Их классификация на альдозы и кетозы определяется наличием в молекуле, соответственно, альдегидной или кетонной группы. В зависимости от числа углеродных атомов монозы делятся на триозы, тетрозы, пентозы, гексозы и т.д.
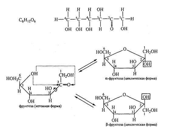
Классификация моносахаридов представлена в табл. 4.1, а строение глюкозы, фруктозы, рибозы и дезоксирибозы – на рис. 4.2, 4.3, 4.4.
Характерные физические и химические свойства, способы получения и области применения моносахаридов на примере самого распространенного из них в природе, глюкозы, представлены в табл. 4.2.
|
|
Рис. 4.2. Строение молекулы D-глюкозы
|
|
Рекомендуемые материалы
Рис. 4.3. Строение молекулы D-фруктозы
|
|
Рис. 4.4. Строение молекулы D-рибозы (а) и D-дезоксирибозы (б)
Таблица 4.2
Свойства, способы получения и области применения глюкозы
| Физические свойства | Химические свойства | Способы получения | Области применения |
| Бесцветное кристаллическое вещество, сладкое на вкус и хорошо растворимое в воде. При кристаллизации из водного раствора выделяется в виде кристаллогидрата (моногидрата) С6Н12О6·Н2О | 1. Реакции с участием альдегидной группы (качественные реакции "серебряного зеркала" и с Сu(ОН)2):
+ Ag2O глюкоза
глюконовая кислота | 1. Реакция фотосинтеза в растениях: 6СО2 + 6Н2О
глюкоза 2. Промышленное получение глюкозы осуществляется гидролизом крахмала под действием минеральных кислот в качестве катализаторов: (С6Н10О5)п + (п-1)Н2О крахмал глюкоза | 1. Сырье для производства витамина С и глюконата кальция. 2. В кондитерской промышленности для изготовления карамели, пряников, мармелада и др.; входит в состав различных напитков. |
Продолжение
| В природе встречается в растительных и животных организмах, в ягодах, фруктах, очень много в винограде и меде. В крови человека содержание глюкозы составляет 85-110 мг на 100 мл крови |
+ 2Сu(ОН)2
+ Н2 сорбит (шестиатомный спирт) 3. Реакция спиртового брожения: С6Н12О6 этанол 1. Реакция молочнокислого брожения:
молочная кислота 5.Реакция маслянокислого брожения: С6Н12О6 + [O]
6.Реакция лимоннокислого брожения: С6Н12О6 + [О]
+ 5(СН3СО)2О уксусный ангидрид
пентаацетат глюкозы | 3. Впервые углевод состава C6H12O6 был синтезирован А.М. Бутлеровым в 1861 г. из формальдегида в присутствии гидроксида кальция:
6
4. Ферментативный гидролиз крахмала или целлюлозы: крахмал целлюлоза | 3. В легкой промышленности (при крашении тканей и выделке кожи). 4. При производстве пива (используется реакция спиртового брожения глюкозы). Люди также интересуются этой лекцией: 28 Лейкозы. 5. В медицине как питательное вещество и компонент кровезаменителей |
Циклические формы глюкозы не содержат альдегидной группы и отличаются друг от друга пространственным расположением атома Н и группы –ОН у атома углерода С1:
![]() | ![]() | ||
α -глюкоза β -глюкоза






a)

+ 2Ag↓


+ Сu2О↓ + 2Н2О

2С2Н5ОН+2СО2
С6Н12О6
2



С6Н12О6
глюкоза



















