Неньютоновские жидкости
1.4. Неньютоновские жидкости
Многокомпонентные жидкости как гомогенные, так и гетерогенные, в большей степени, могут содержать в своём составе компоненты, значительно изменяющие вязкость жидкости, и даже кардинально меняющие саму физическую основу и природу внутреннего трения. В таких жидкостях гипотеза вязкостного трения Ньютона (пропорциональность напряжений градиенту скорости относительного движения жидкости) неприменима. Соответственно такие жидкости принято называть неньютоновскими жидкостями.
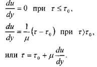
Среди неньютоновских жидкостей принято выделять вязкопластичные жидкости, псевдопластичные жидкости и дилатантные жидкости. Для вязкопластичных жидкостей характерной особенностью является то, что они до достижения некоторого критического внутреннего напряжения т0 ведут себя как твёрдые тела и лишь при превышении внутреннего напряжения выше критической величины начинают двигаться как обычные жидкости. Причиной такого явления является то, что вязкопластичные жидкости имеют пространственную жёсткую внутреннюю структуру, сопротивляющуюся любым внутренним напряжениям меньшим критической величины, это критическое напряжение в литературе называют статическим напряжением сдвига. Для вязкопластичных жидкостей справедливы следующие соотношения Бингама:

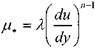
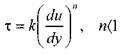
Для псевдопластичных жидкостей зависимость между внутренним напряжением сдвига и градиентом скорости относительного движения слоев жидкости в логарифмических координатах оказывается на некотором участке линейной. Угловой коэффициент соответствующей прямой линии заключён между 0 и 1 Поэтому зависимость между напряжением и градиентом скорости можно записать в следующем виде:

где: k - мера консистенции жидкости,
В лекции "12. Программное обеспечение КИС" также много полезной информации.
п - показатель, характеризующий отличие свойств псевдопластичной жидкости от ньютоновской.
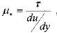
Для псевдопластичных жидкостей полезно ввести понятие кажущейся вязкости жидкости
тогда:
, т.е. величина кажущейся вязкости псевдопластичной жидко-
сти убывает с возрастанием градиента скорости.
Дилатантные жидкости описываются тем же самым уравнением, что и псевдопластичные жидкости, но при показателе п > 1 .У таких жидкостей кажущаяся вязкость увеличивается при возрастании градиента скорости. Такая модель жидкости может быть применена при описании движения суспензий.
Неньютоновские жидкости обладают ещё одним свойством, их вязкость существенным образом зависит от времени. По этой причине (например, для вязкопластичных жидкостей) величина статического напряжения сдвига зависит от предыстории: чем более длительное время жидкость находилась в состоянии покоя, тем выше величина неё статического напряжения сдвига. Если прервать движение такой жидкости (остановить её), то для начала движения такой жидкости потребуется развить в жидкости меньшее напряжение, чем и том случае, когда она находилась в покое длительное время. Следовательно, необходимо различать величину начального статического напряжения сдвига и динамическую величину этого показателя. Жидкости, которые обладают такими свойствами, называются тиксотропными. Жидкости, у которых наоборот динамические характеристики выше, чем начальные называются реопектическими неньютоновскими жидкостями. Такие явления объясняются тем, что внутренняя структура таких жидкостей способна упрочняться с течением времени, или (в другом случае) для восстановления начальных свойств им требуется некоторое время.





















