Релятивистская динамика
2020-06-032021-03-09zzyxelСтудИзба
Вопрос № 19: Релятивистская динамика:
1. Импульс.
2. Второй закон ньютона в форме Эйнштейна.
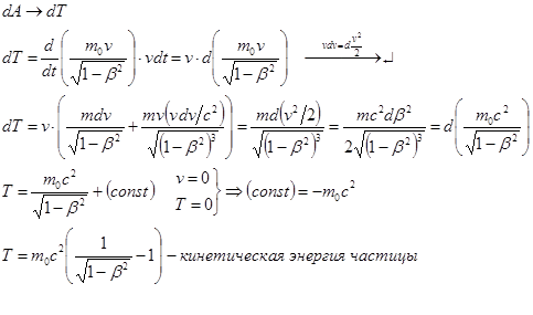
3. Кинетическая энергия релятивистской частицы.

Второй закон Ньютона в форме Эйнштейна:

– Импульс и сила не инвариантны.
Если в класической механике на тело действует постоянная сила, то скорость будет постоянно увеличиваться и превысит скорость света. В релятевистской механике растёт не скорость, а импульс, то есть масса:
Рекомендуемые материалы
-50%
Динамика механических систем
-50%
Динамика механических систем
РК2 решение всех задач из билетов 2019 года
FREE
решения ко всем билетам за 18/19 год рк1 по физике (см условие)
FREE
Дулин В.Н. Электронные приборы 1977
-51%
Динамика материальной точки

5 Стадия разрешения конфликта - лекция, которая пользуется популярностью у тех, кто читал эту лекцию.
Связь энергии и импульса:

Умножим обе части закона Ньютона на dr:
Работа идёт на изменение кинетической энергии частицы
























