Принцип Д'Аламбера
Лекция 6. Принцип Д’Аламбера
Наряду с рассмотренными методами изучения движения точки и механической системы, основанными на законах классической механики, применяется метод кинетостатики или принцип Д’Аламбера.
6. 1. Принцип Д’Аламбера для материальной точки
Уравнение движения материальной точки массой m относительно инерциальной системы отсчета под действием приложенных сил, равнодействующая которых
, имеет вид
. (6.1)
Перепишем это уравнение в виде
Рекомендуемые материалы
. (6.2)
Введя обозначение
, (6.3)
получим
. (6.4)
Вектор
, равный по модулю произведению массы точки на ее ускорение и направленный противоположно вектору ее ускорения, называется силой инерции.
Уравнение (6.4) выражает принцип (уравнение) Д’Аламбера: в каждый момент движения геометрическая сумма внешних сил и силы инерции равна нулю.
При этом следует иметь в виду, что к материальной точке приложена только равнодействующая сила
т.е. внешняя сила и реакция связи, если точка не свободна. Сила же инерции к точке не приложена, а появляется при движении точки.
Метод кинетостатики является формальным приемом сведения уравнения динамики к уравнению статики, причем при решении практических задач
такой прием обладает рядом достоинств.
Пример 1. Шарик массой m подвешен на нити длиной L. Шарику сообщают равномерное движение по окружности в горизонтальной плоскости (рис. 6.1). Нить составляет угол
с вертикалью. Определить скорость шарика и натяжение нити.
Решение. Направим ось Оу вертикально вниз, а плоскость хОу пусть проходит через шарик в рассматриваемый момент времени (рис. 6.1).При равномерном движении по окружности точка имеет ускорение
| направленное по оси Оx к центру окружности, т.е. к точке О. Сила инерции направлена по оси Оx против направления |
,
.
Далее освободимся от связи, заменим ее силой натяжения Т. Составим уравнение Д’Аламбера (6.4) (уравнение кинетостатики):
.
Перейдем от векторного уравнения к скалярному. Для чего спроецируем полученное уравнение на координатные оси

Отсюда находим
.
6. 2. Принцип Д’Аламбера для механической системы

Рассмотрим материальную точку массой
системы, состоящей из N точек (рис. 6.2). Обозначим ускорение этой точки
, равнодействующую внешних сил через
, равнодействующую внутренних сил, приложенных к той же точке через
. Реакции связей входят в
. Тогда принцип (6.4) будет иметь вид
(6.5)
где
.
Складывая почленно все N уравнений (6.5), получим
(6.6)
Первая сумма в уравнении (6.6) равна главному вектору
внешних сил, приложенных к системе; вторая сумма равна нулю, поскольку геометрическая сумма всех внутренних сил системы равна нулю (3.1); последняя – главному вектору
сил инерции. Таким образом, (6.6) запишем как
, (6.7)
т.е. в каждый момент времени сумма главных векторов внешних сил и сил инерции движущейся системы равна нулю.
Выберем произвольный полюс О и проведем из него к точке
радиус-вектор
(рис. 6.2). Умножая каждое слагаемое из (6.6) векторно на соответствующий радиус-вектор
слева и складывая все N полученных таким образом уравнений, имеем
.
Первая сумма равна главному моменту
внешних сил, приложенных к системе; вторая сумма равна нулю (3.2), а последняя – главному моменту
сил инерции. Следовательно,
, (6.8)
т.е. в каждый момент времени сумма главных моментов внешних сил и сил инерции движущейся механической системы равна нулю.
Двум векторным уравнениям (6.7) и (6.8) соответствуют шесть уравнений в проекциях на оси декартовых координат
(6.9)
Движение твердого тела, как частный случай механической системы, вполне определяется этими шестью уравнениями. Если рассматривается система, состоящая из нескольких тел, то можно составить соответствующие уравнения для каждого тела в отдельности.
6. 2. 1. Главный вектор сил инерции механической системы
Вычислим главный вектор сил инерции. Имеем
.
Сумма
, где
- радиус-вектор центра масс системы, следовательно,
, (6.10)
т.е. главный вектор сил инерции точек системы равен произведению массы всей системы на ускорение центра масс, направлен в обратную сторону. и приложен в центре масс системы.
6. 2. 2. Главный вектор сил инерции твердого тела
Твердое тело является частным случаем механической системы. Следовательно, главный вектор сил инерции твердого тела находится также по формуле (6.10).
Тогда проекции главного вектора на декартовые оси координат имеют вид
(6.11)
здесь
,
,
- координаты центра масс тела.
Если тело движется прямолинейно по оси x, то
(6.11a)
6. 2. 3. Главный момент сил инерции механической системы
Вычислим главный момент сил инерции системы.
Имеем
(6.12)
так как
,
(а)
здесь
- кинетический момент системы.
Подставляя (а) в (6.12), получаем значение главного момента сил инерции
. (6.13)
6. 2. 4. Главный момент сил инерции твердого тела, вращающегося вокруг неподвижной оси

Вычислим координаты главного момента сил инерции твердого тела (6.12), вращающегося вокруг неподвижной оси. Ось Оz совместим с осью вращения, а оси Ох и Оу скрепим с вращающимся телом (рис. 6.4a), тогда
и
,
- радиус – вектор рассматриваемой точки
. При вращении тела вокруг неподвижной оси Оz ускорение любой точки
состоит из нормального ускорения
и касательного ускорения
где
- расстояние точки k от оси вращения Оz (рис. 6.4b):

Здесь учтено, что
- координаты точки
.
Тогда, согласно (6.12), получим,


Здесь
центробежные моменты инерции,
осевой момент инерции.
Таким образом,
главный момент сил инерции твердого тела, вращающегося вокруг неподвижной оси, сводится к паре сил, момент которой равен
(6.14)
где

Если ось вращения проходит через центр тяжести тела и оси xyzявляются главными осями, то
(6.14а)


Пример 3. Через блок весом
и радиусом R перекинута нерастяжимая нить, на конце которой подвешен груз А весом
. Определить ускорение а груза А, натяжение нити Т и давление на подшипник оси блока (рис. 6.5).
Решение. Пусть груз А опускается вниз, тогда сила инерции груза вверх.
.
Поскольку ось вращения диска является осью симметрии, то
.Следовательно, момент от сил инерции, согласно (6.14), равен
и направлен в сторону противоположную вращению диска.
Отбросим опору О, заменим ее действие реакциями подшипника
и
(рис. 6.5). Составим уравнения кинетостатики (6.9):

Подставим в последнее уравнение значения силы инерции
и момента от сил инерции
и решим его относительно ускорения а, получим
.
Тогда из первых двух уравнений определим
.
Для определения натяжения нити разорвем гибкую связь и заменим ее действие натяжением Т (рис. 6.6).

Добавляя внешнюю силу
и силу инерции
, имеем
,
откуда
.
Если считать диск сплошным телом, то
, тогда
.
6. 3. Определение динамических реакций в точках закрепления оси вращающегося твердого тела
Рассмотрим тело, вращающееся с угловой скоростью
и угловым ускорением
вокруг неподвижной оси, закрепленной в подшипниках А и В

(рис. 6.7a). Найдем динамические реакции
,
,
,
,
подшипников, действующие на ось, т.е. реакции, возникающие при вращении тела. Пусть на тело действуют заданные внешние силы
, главный вектор которых обозначим через
, координатные оси Охуz показаны на рисунке. Главный момент внешних сил обозначим через
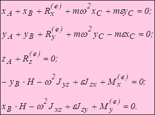
. Для определения искомых реакций воспользуемся принципом Д’Аламбера (6.9). Обозначим
, тогда эти уравнения примут вид
(6.15)
Главный вектор сил инерции
и приложен в точке С –центре масс. При движении тела, центр масс С имеет нормальную
и касательную
составляющие ускорения, где
- расстояние точки С от оси вращения. Следовательно, вектор
совпадает с направлением ОС, вектор
направлен перпендикулярно вектору
(рис. 6.7b).

Вычисляя проекции
на оси координат и учитывая, что
,
, где
и
- координаты центра масс, имеем:
(6.16)
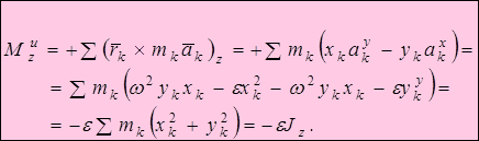
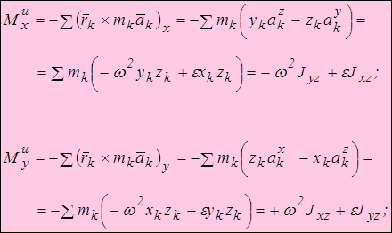
Вычислим моменты от сил инерции. Для этого рассмотрим частицу массой
определяемую радиус-вектором
, отстоящую от оси вращения на
(рис. 6.7a). Для нее сила инерции имеет нормальную
и касательную
составляющие. Тогда, аналогично (6.16), имеем:

Тогда:
.
Вычислим

Суммируя эти выражения по всем точкам системы, получим
(6.17)
Здесь
и
- центробежные моменты инерции. Подставляя (6.16) и (6.17) в (6.15), получим
(6.18)
Уравнения (6.18) определяют динамические реакции, действующие на ось вращения Оz.
Назовем условно статическими реакциями те значения реакций, которые дают уравнения (6.18), если предположить
и
. Из уравнений (6.18) видно, что динамические реакции могут быть значительно больше статических, причем это зависит не только от значения
и
, но и от величин
,
,
,
, характеризующих распределение масс тела по отношению к оси вращения Оz.
Из уравнений (6.18) видно, что для того, чтобы динамические реакции были равны статическим, при w
0, e 
0, должны выполняться следующие условия
(6.19)
Так как определитель этих двух систем однородных уравнений равен
и всегда не равен нулю, то этим уравнениям удовлетворяют только следующие значения переменных
xc=0, yc=0, Jxz=0, Jyz=0.
Эти равенства показывают, что ось вращения z должна
1. проходить через центр масс С тела;
2. совпадать с одной из главных осей инерции тела.
В этом случае говорят, что вращающееся тело динамически уравновешено на оси вращения, а ось вращения называют свободной осью.
Задача динамического уравновешивания вращающихся тел играет очень большую роль в машиностроении, так как угловые скорости современных машин достигают весьма больших значений.
Предположим, что тело динамически не уравновешено, тогда возможны два частных случая:
1. Центр масс С лежит на оси вращения, но ось вращения не является главной.
2. Центр масс С не лежит на оси вращения.
Практически очень важно уметь любую ось вращения сделать главной центральной осью инерции. Для этого прибавляют к телу две (одну) точечные массы. Покажем, как это делается. Пусть тело массы М вращается вокруг оси z. Ось вращения не проходит через центр масс, прибавим к телу две массы
и
в точках с координатами
и
.
Тогда, чтобы оси стали главными центральными осями, необходимо, чтобы центр масс и центробежные моменты инерции полученной системы были равны нулю. Согласно формулам (2.2) и (2.12) из лекции 2, следует, что если
(6.20)
то для полученного тела будет
, т.е. ось Оz станет главной центральной осью инерции. Вычислить координаты x1, x2, y1, y2 из системы четырех линейных уравнений (6.20) не сложно. Такой метод уравновешивания масс широко используется в технике. Обычно окончательная балансировка проводится на специальных стендах.
Для определения давлений на ось в отдельных конкретных задачах обычно не пользуются готовыми уравнениями (6.18), а каждый раз применяют принцип Д’Аламбера.

Пример 4. Ось вращения диска радиусом R перпендикулярна к его плоскости (рис. 6.8) и смещена от центра масс на расстояние а. Вес диска равен Mg, угловая скорость постоянна и равна
. Определить динамические реакции подшипников А и В, если
. Провести динамическую балансировку.
Решение. Проведем вращающиеся вместе с телом оси Охуz так, чтобы ось Оу прошла через центр масс С диска (рис. 6.8). Ось Оz будет главной осью инерции по отношению к точке О, поскольку плоскость Оху является плоскостью симметрии диска. Тогда
(см. лекция 2, формула 2.14), и из условия
и формул (6.17) вытекает, что
. Следовательно, силы инерции приводятся к одной равнодействующей F(u), проходящей через точку О, и направлены вдоль линии ОС (вдоль оси Оу). По модулю
. Так как силы Мgи
лежат в плоскости Оуz, то реакции подшипников лежат в этой же плоскости, т.е. имеют составляющие
,
в точке А и
в точке В.
Составим уравнения равновесия (6.15):

Решая эти уравнения, найдем:

Реакции
и
все время располагаются в плоскости Оуz, вращающейся вместе с телом.
Для динамического уравновешивания масс добавим тело весом mg на расстояние
от начала координат влево вдоль оси у (рис. 6.9).

Тогда возникнет еще одна сила инерции
, проходящая через точку О и направленная против оси Оу. По модулю
. Симметрия задачи не нарушена. Составим уравнения равновесия (6.15):

Ещё посмотрите лекцию "38 Относительное движение жидкости и твердого тела. Сопротивление воды движению плавающих средств" по этой теме.
(а)
Вычислим величину добавленной массы m с помощью (6.20):

Подставим полученное значение m в (а) и вычислим реакции опор:
.
Добавив массу m, можно добиться нулевого давления на ось, что мы и сделали.



и по модулю (согласно 6.3), равна


















