Лекция 19 - Синтез цифровых автоматических систем
Лекция 19.
Синтез цифровых автоматических систем.
План лекции.
Основные схемы коррекции цифровых систем.
1. Основные схемы коррекции цифровых систем.
При проектировании как цифровых так и непрерывных САУ решаются одни и те же задачи. Обычно имеется процесс, которым нужно управлять таким образом, чтобы его выходные переменные удовлетворяли некоторым заранее установленным требованиям. Традиционная философия проектирования вначале приводит к идее об использовании обратной связи для образования сигнала ошибки между выходным и входным сигналом. Затем выявляется необходимость применения регулятора, который обрабатывал бы сигнал ошибки так, чтобы удовлетворить требованиям, предъявляемые к системе. В цифровых САУ решение этой задачи отличается большой гибкостью и имеет множество вариантов. Проектировщик может использовать аналоговый или цифровой регулятор, варьировать места их включения и т.д.
Рассмотрим традиционные методы синтеза, в основе которых лежит представление о жестко заданной конфигурации системы. При этом проектировщик с самого начала устанавливает конфигурацию системы, включая неизменяемую часть и регулятор.
Рассмотрим наиболее часто встречающиеся на практике конфигурации цифровых САУ.
Цифровая система с аналоговым регулятором (рис.41)
![]() |
Рис.41
Система может иметь цифровой характер из-за того, что информация на входе системы или в канале обратной связи имеет цифровой характер (цифровые датчики. Аналоговое устройство обрабатывает выходной сигнал цифровой части после его декодирования и сглаживания с помощью фильтра.
Система с цифровым регулятором в прямой цепи (рис.42)
Рекомендуемые материалы
![]() |
рис.42
Цифровая САУ с аналоговым регулятором в цепи местной ОС (рис.43)
![]() |
рис.43
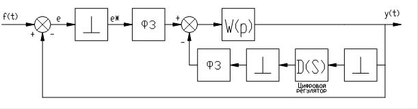
Цифровая САУ с цифровым регулятором в цепи местной ОС (рис.44)
![]() |
рис.44
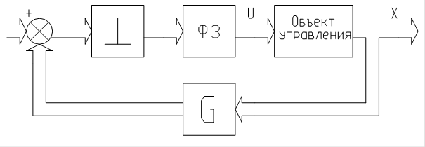
Кроме традиционных методов разработаны методы синтеза цифровых САУ в пространстве состояний. Мощным средством синтеза является использование обратной связи по переменным состояния.
Многомерная цифровая САУ с обратной связью
по переменным состояния (рис.45)
![]() |
рис.45
При этом предполагается, что все переменные состояния доступны наблюдению. На практике это условие не всегда выполняется, поэтому необходимо либо использовать наблюдателя, либо осуществлять обратную связь по выходу системы.
"Переход газопровода через водную преграду" - тут тоже много полезного для Вас.
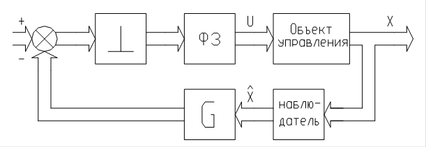
Цифровая САУ с обратной связью по состоянию и наблюдателем (рис.46)
![]() |
рис.46
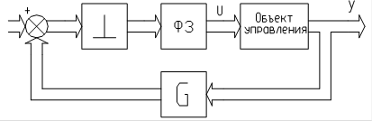
Цифровая САУ с ОС по выходу (рис.47)
![]() |
рис.47
здесь G-матрица коэффициентов обратной связи.
Так как в общем случае выходных переменных меньше, чем переменных состояния, то обратная связь по выходу менее эффективна, чем обратная связь по состоянию.





























