Вращательное движение твёрдого тела
Лекция № 3
ВРАЩАТЕЛЬНОЕ ДВИЖЕНИЕ ТВЁРДОГО ТЕЛА
План
1. Абсолютное твёрдое тело. Вращательное движение. Угловая скорость и угловое ускорение, их связь с линейными скоростями и ускорениями вращающегося твёрдого тела.
2. Момент инерции тела. Кинетическая энергия вращающегося твёрдого тела.
3. Вычисление моментов инерции. Теорема Штейнера. Свободные оси.
4. Момент силы. Момент импульса.
5. Уравнение моментов. Уравнение динамики вращательного движения твёрдого тела относительно неподвижной оси.
Рекомендуемые материалы
6. Гироскопы. Гироскопический эффект.
1. Абсолютно твёрдое тело. Абсолютно твёрдым телом называется такое тело, деформацией которого в условиях данной задачи можно пренебречь. Расстояние между любыми двумя точками тела остаётся неизменным.
Всякое движение твёрдого тела можно разложить на два основных вида движения – поступательное и вращательное.
Вращательным называется такое движение, при котором все точки тела движутся по окружностям, центры которых лежат на одной и той же прямой, называемой осью вращения.
Введём понятие угловой скорости и углового ускорения. Пусть твёрдое тело вращается вокруг неподвижной в данной системе отсчёта оси 
и за время
совершает бесконечно малый поворот (рис. 3.1).
Соответствующий угол поворота будем характеризовать вектором
, модуль которого равен углу поворота, а направление совпадает с осью 
, причём так, что направление поворота отвечает правилу правого винта по отношению к направлению вектора
.

Рис. 3.1
Из рис. 3.1 следует, что
. Вектор
как бесконечно малую величину можно считать по модулю равным соответствующей дуге окружности
, его направление соответствует правилу правого винта по отношению к векторам
и 
Разделим обе части на
:
. (*)
Производная угла поворота по времени называется угловой скоростью.

Вектор
совпадает по направлению с вектором
. Изменение вектора
со временем характеризуют вектором углового ускорения:

Из выражения * получаем связь линейной
и угловой скоростей:
(**)
То есть скорость
любой точки А твёрдого тела, вращающегося вокруг неподвижной оси с угловой скоростью
, равна векторному произведению
на радиус-вектор
точки А относительно произвольной точки на оси вращения.
Если выбрать в качестве точки отсчёта для радиус-вектора центр окружности вращения (точка О), при неизменном радиусе окружности
выражение (**) можно записать в скалярном виде:

Продифференцируем это выражение по времени:
, отсюда получаем связь тангенциального и углового ускорений:

Нормальное ускорение можно представить как

Модуль полного ускорения:



2. Момент инерции тела. Определим кинетическую энергию вращения твёрдого тела (рис. 3.2). Разделим его мысленно на отдельные элементарные части, настолько малые, чтобы их можно было считать движущимися как материальные точки (
). Обозначим массу i-го элемента
, а скорость этого элемента
.
Кинетическая энергия этого элемента
.
Просуммировав кинетическую энергию всех элементов, получим кинетическую энергию вращательного движения тела:
.
Линейная скорость
связана с угловой скоростью вращения тела
(
постоянна для всех точек тела).
.
Определение. Моментом инерции материальной точки относительно оси z называется произведение массы этой точки на квадрат её расстояния от оси вращения:

Определение. Моментом инерции твёрдого тела относительно некоторой оси z называется сумма моментов инерций материальных точек относительно данной оси.

В соответствии с этими определениями:

(Сравните с выражением для кинетической энергии поступательного движения
, очевидно соответствие
).
Физический смысл момента инерции. Момент инерции во вращательном движении играет такую же роль, как масса при поступательном движении, характеризует меру инертности тела при вращательном движении. Чем больше момент инерции тела, тем труднее при прочих равных условиях привести его во вращательное движение. Момент инерции определяется не только массой, но и тем, как эта масса распределена относительно оси вращения.
Соотношение
является приближённым, причём тем более точным, чем меньше элементарные массы
. Задача нахождения моментов инерции сводится к интегрированию.


(Интегрирование ведётся по всей массе тела
).

3. Вычисление моментов инерции. 1. Кольцо (полый цилиндр) (рис. 3.3). В случае достаточно тонких стенок вся масса сосредоточена на расстоянии
от центра.
Относительно оси, проходящей через центр кольца:
,
.
2. Однородный диск (сплошной цилиндр)
Дано:
радиус диска,
масса диска.
Найти:
момент инерции диска относительно оси, проходящей через центр диска.
Разобьём диск (рис. 3.4) на кольца с радиусом
, толщиной
. По определению момента инерции
. Пусть
поверхностная плотность диска
, тогда масса кольца
, где
площадь кольца,
. Интегрируя по радиусу, находим момент инерции диска:


=
,


3. Тонкий однородный стержень
Дано:
масса стержня,
длина стержня.
Найти:
(момент инерции относительно оси ОО, проходящей через конец стержня перпендикулярно ему) (рис. 3.5).

Рис. 3.5
Ввиду одномерного характера задачи выражение
можно заменить на
, где
, тогда
.

Теорема Штейнера (без вывода)

Постановка задачи. Известен момент инерции произвольного тела массой
относительно оси, проходящей через его центр тяжести
(рис. 3.6). Требуется найти, каков момент инерции
относительно какой-либо оси
, параллельной первой и находящейся на расстоянии
от неё.
Теорема. Момент инерции тела относительно произвольной оси z равен сумме момента инерции относительно оси, проходящей через центр масс тела С и параллельной данной, и произведения массы тела на квадрат расстояния между осями a:
.
Пример применения теоремы Штейнера.
Требуется найти момент инерции тонкого однородного стержня массой
и длиной
относительно перпендикулярной к нему оси
, проходящей через центр стержня (рис. 3.7).

Рис. 3.7
Решение:
Воспользуемся полученным ранее выражением для момента инерции стержня относительно оси, проходящей через его конец:
. Используя теорему Штейнера, получаем:
отсюда
.

Свободные оси
Определение. Ось вращения тела, положение которой в пространстве остаётся неизменным без действия на неё внешних сил, называется свободной.
Можно доказать, что в любом теле существует три взаимно перпендикулярных оси, проходящие через центр масс тела, которые могут служить свободными осями. Они называются главными осями инерции тела. Например, главные оси инерции однородного прямоугольного параллелепипеда проходят через центры противоположных граней. Вращение вокруг главных осей с наибольшим и наименьшим (экстремальными) моментами инерции оказывается устойчивым, а вращение вокруг оси со средним моментом – неустойчивым. Этот факт является достаточно важным при проектировании конструкций с вращающимися частями.
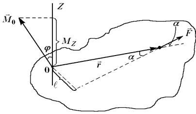
4. Момент силы. Пусть О – какая-либо точка, относительно которой рассматривается момент вектора силы. Обозначим
радиус-вектор, проведённый из этой точки к точке приложения силы
(Рис. 3.8).

Рис. 3.8
Определение. Моментом силы
относительно точки О называется векторное произведение радиуса-вектора
на силу
:

Раскрывая векторное произведение, получим
где
плечо силы (длина перпендикуляра, опущенного из точки О на линию действия силы).
В соответствии с определением векторного произведения вектор
направлен перпендикулярно плоскости, в которой лежат векторы
и
в соответствии с правилом правого винта (буравчика).
Определение. Момент силы относительно оси
, проходящей через точку О, есть проекция на эту ось вектора момента силы
относительно точки, лежащей на этой же оси.

как проекция на ось является скалярной величиной.
Момент импульса

Пусть материальная точка массой
движется со скоростью
относительно точки О, а
радиус-вектор этой материальной точки, проведённый из точки О (рис. 3.9).
Определение. Моментом импульса материальной точки относительно точки О называется векторное произведение радиуса-вектора
на вектор импульса
:


Направление
перпендикулярно плоскости, в которой лежат векторы
и
, в соответствии с правилом правого винта, например момент импульса электрона, двигающегося по круговой орбите в боровской модели атома.
Свяжем момент импульса с моментом инерции и угловой скоростью. Пусть радиус-вектор
некоторой частицы массой
лежит в плоскости рис. 3.10, скорость
перпендикулярна ей («от нас»), частица движется по окружности радиусом
.
Модуль момента импульса
. Линейную скорость
можно связать с угловой
относительно оси
как
, тогда
. Проекция вектора
на ось вращения равна
. Как видно из рис. 3.10,
, т.е.

Для системы материальных точек (твёрдого тела) выражение связи
,
и
формально такое, как и для материальной точки:

Но под
здесь подразумевается сумма моментов инерции материальных точек системы:

Можно показать (см., например, в [1]), что для однородного тела, симметричного относительно оси вращения, суммарный момент импульса тела
. Он направлен вдоль оси вращения в ту же сторону, что и
, т.е.

(Для несимметричного тела в общем случае
не совпадает по направлению с вектором
).
5. Уравнение моментов. В дальнейших преобразованиях условимся для упрощения записи индекс 0 у
,
и других величин не писать, но подразумевать, что он есть.
Продифференцируем выражение для момента импульса материальной точки:
.
.
Учтём, что 
, а
.
Рассмотрим первое слагаемое (см. в лекции № 1 «Векторное произведение»).
=
(так как угол между
и
равен нулю).
Второе слагаемое в выражении для 
(по определению момента силы).
В результате получаем:
Уравнение моментов (оно связывает момент импульса с моментом силы).
Производная по времени момента импульса материальной точки относительно точки О равна моменту действующей силы относительно точки О.
Уравнение моментов для твёрдого тела
Рассмотрим систему частиц, на которую действуют как внутренние, так внешние силы. Моментом импульса
системы относительно точки О называется сумма моментов импульса
отдельных частиц
. Дифференцирование по времени даёт, что
.
Для каждой из частиц можно написать уравнение моментов
,
где
момент внутренних сил, а
момент внешних сил, действующих на
-ю частицу.
(по 3-му закону Ньютона, так как внутренние силы образуют пары, равные по величине, противоположные по направлению и действующие вдоль одной прямой, т.е. образуют равные по величине и противоположно направленные моменты сил).
Получаем 

Обозначим
=
, получаем окончательно
Производная по времени от момента импульса механической системы относительно некоторой точки О равна суммарному моменту относительно той же точки всех внешних сил, приложенных к системе (уравнение моментов).
Уравнение динамики вращательного движения твёрдого тела
относительно неподвижной оси
В проекции на ось
предыдущее уравнение запишется:

а так как
, то
, если
, то
. Так как
проекция углового ускорения на ось
, то получим уравнение динамики вращательного движения относительно оси Z и сравним с уравнением динамики для поступательного движения (2-й закон Ньютона).
|
|
| ||||
| |
|
| |||
|
| |||||
Соответствие очевидно:
| Поступательное движение | Вращательное движение | ||
| |
|
| |
| |
|
| |
|
|
|
|
Замечание: если вокруг оси
вращается однородное симметричное тело, то
, и тогда очевидно:

(Угловое ускорение
совпадает по направлению с вектором момента силы).
6. Гироскопы (от греч.
круг,
смотрю, наблюдаю).
Гироскопом называется массивное симметричное тело, вращающееся с большой угловой скоростью вокруг своей оси симметрии.

Рассмотрим поведение гироскопа на примере волчка (рис. 3.11). Опыт показывает, что если ось вращающегося волчка наклонена к вертикали, то волчок не падает, а совершает так называемое прецессионное движение (прецессию) – т.е. его ось описывает конус вокруг вертикали с некоторой угловой скоростью
, причём чем больше скорость
вращения волчка, тем меньше угловая скорость прецессии
(
).
Из уравнения моментов следует:

Приращение
совпадает по направлению с
моментом внешних сил, относительно точки О. Момент силы тяжести
, как видно из рис. 3.11, перпендикулярен моменту импульса, т.е.
, следовательно, приращение момента импульса
. В результате вектор
(и ось волчка) будут поворачиваться вместе с вектором
вокруг вертикали, описывая круговой конус с углом полураствора
.
Найдём связь между
,
и
:
или в векторном виде
, сравнивая с
, получаем уравнение для угловой скорости прецессии.

Из уравнения видно, что момент силы определяет угловую скорость прецессии, а не ускорение. Это означает, что мгновенное устранение момента
приводит к мгновенному исчезновению и прецессии, т.е. прецессия не обладает инерцией.
Гироскопический эффект
Рассмотрим эффект, возникающий при вынужденном вращении оси гироскопа. Пусть ось гироскопа укреплена в
-образной подставке, которую мы будем поворачивать вокруг оси
(рис. 3.12).

Рис. 3.12
Если момент импульса гироскопа
направлен вправо, то при таком повороте за время
вектор
получит приращение
вектор, направленный перпендикулярно
. Согласно уравнению
это означает, что на гироскоп действует момент силы
, совпадающий по направлению с вектором
. Момент
обусловлен возникновением пары сил
, действующих на ось гироскопа со стороны подставки. Ось гироскопа, в свою очередь, в соответствии с 3-им законом Ньютона будет действовать на подставку с силами
. Эти силы называются гироскопическими. Они создают гироскопический момент
. Появление гироскопических сил называют гироскопическим эффектом.
Замечание: в узком смысле гироскопическим эффектом иногда называют движение волчка не в сторону действия силы, а перпендикулярно к ней.
Примеры возникновения гироскопического эффекта: гироскопическое давление на подшипники у роторов турбин, компрессоров на кораблях, самолётах при поворотах, виражах.
Гироскопы являются основными узлами в гирокомпасах, в которых используется свойство гироскопов с тремя степенями свободы: его ось стремится устойчиво сохранить в мировом пространстве приданное ей первоначальное направление. Если ось направить на какую-либо звезду, то при любых перемещениях прибора и случайных толчках она будет указывать на эту звезду.
Вопросы для самоконтроля
1. Какое движение называется вращательным?
2. Как определяют угловую скорость и угловое ускорение?
3. Что является мерой инертности при вращательном движении?
4. Дайте определение момента инерции материальной точки и момента инерции твёрдого тела.
5. Как вычисляют моменты инерции для сплошного цилиндра и тонкого стержня?
6. Сформулируйте теорему Штейнера.
7. Что называется свободной осью? Какие оси называют главными осями инерции?
8. Дайте определения момента силы и момента импульса материальной точки относительно некоторой точки.
9. Как связан момент импульса с моментом инерции и угловой скоростью?
Если Вам понравилась эта лекция, то понравится и эта - Специфические особенности личности учителя и воспитателя.
10. Выведите уравнение моментов.
11. Запишите уравнение динамики вращательного движения относительно оси
.
12. Что называется гироскопом?
13. Что такое прецессия? От чего зависит скорость прецессии?
14. Что называется гироскопическим эффектом?






























