Связь между характеристиками упругости свойств материала E, G, мю
Связь между характеристиками упругости свойств материала E,G,мю.
Расчёт на прочность при изгибе:
σmax ≤ [σ] ≤ στ / nτ ,где σmax = Mx max / Wx
| НАПРЯЖЕНИЕ ПРИ ИЗГИБЕ И РАСЧЕТ БРУСЬЕВ НА ПРОЧНОСТЬ |
| Во всех точках поперечного сечения бруса при поперечном изгибе возникают нормальные и касательные напряжения (на рис. 5.1,6 эти напряжения показаны в точках, отстоящих на расстоянии Y от оси X): |
|
|
| Рис. 5.1 |
| Условные обозначения. |
| Mx, Q - внутренние усилия: изгибающий момент и поперечная сила, они изменяются вдоль бруса и определяются с помощью построения эпюр; |
Рекомендуемые материалыНа двух концентрических сферах радиусами R и 3R равномерно распределены заряды с поверхностными плотностями σ1=2∙σ и σ2=σ, где σ=20 нКл/м2. Требуется: 1) найти потенциал φ электрического поля для трех областей: внутри сфер, между сферами и вне сфер; Система из двух поршней, соединенных штоком, находится в равновесии. Определить силу, сжимающую пружину. Жидкость, находящаяся между поршнями и в бачке, - масло с плотностью ρ = 870 кг/м3. Диаметры: D = 80 мм; d = 30 мм; высота H = 1000 мм; избыточно FREE Изучение свойств электромагнитных волн микроволнового диапазона -52% Изучение свойств электромагнитных волн микроволнового диапазона FREE Задача 1.48: Твердое тело вращается, замедляясь, вокруг неподвижной оси с угловым ускорением где ω — его Изучение когерентных свойств света и измерение параметров когерентности оптического излучения у - координата точек поперечного сечения, в которых определяются напряжения; |
| b - ширина сечения в месте определения касательных напряжений; |
| Jx - главный центральный момент инерции -момент инерции относительно центральной оси х, |
| сx* - статический момент относительно нейтральной оси ж той части площади поперечного сечения, которая расположена выше (или ниже) продольного сечения - выше или ниже уровня у, в точках которого определяются касательные напряжения. |
|
|
| Эти формулы выведены в главных центральных осях поперечного сечения бруса. На рис. 5.1 это оси X, У. При этом ось Y совпадает с осью симметрии сечения, а ось X, перпендикулярная плоскости изгиба, проходит через центр тяжести сечения и является нейтральной осью: нормальные напряжения в точках этой оси равны нулю. Ось Z - ось бруса. |
| Таким образом, на уровне у напряжения, определяемые вышеприведенными формулами, постоянны, не зависят от координаты X. |
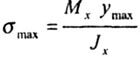
| С увеличением координаты у нормальные напряжения увеличиваются и в наиболее удаленных от нейтральной оси точках достигают наибольшего значения: |
|
|
| Для расчетов используется специальная геометрическая характеристика - момент сопротивления сечения при изгибе: |
|
|
| Касательные напряжения, наоборот, уменьшаются и в наиболее удаленных от нейтральной оси точках обращаются в нуль, а а области нейтральной оси достигают наибольших значений (рис. 5.1,г). Кроме того, наибольшие значения касательных напряжений значительно меньше максимальных значений нормальных напряжений: так для консольного стержня прямоугольного поперечного сечения, нагруженного сосредоточенной силой на свободном конце, отношение максимальных значений этих напряжений |
| Информация в лекции "Групповые и индивидуальные формы работы" поможет Вам.
|
| где l, h - длина бруса и высота его поперечного сечения. |
| Поэтому, при l >> h, что имеет место в большинстве случаев, касательные напряжения по сравнению с нормальными пренебрежимо малы и при расчетах на прочность не учитываются. |
| Условие прочности имеет следующий вид: |
|
|
|
|









- допускаемое напряжение. 

















