Методика изучения межличностных отношений в малых группах
ПРАКТИКУМ
К лекции № 11 (Групповые процессы)
Методика изучения межличностных отношений
в малых группах
Вопросы:
1) Метод социометрических измерений Дж. Морено
Рекомендуемые материалы
2) Психометрический метод Дюке
3) Опросник межличностных отношений В. Шультца
4) Методика изучения межличностных отношений и комплектования малых групп
5) Методика выявления отношения к Другому (А.А. Бодалев, Ю.В. Александрова)
6) Методика шкальной оценки организации (частный семантический дифференциал)
Одним из приоритетных направлений социально-психологической работы является комплексное изучение межличностных отношений в коллективах в интересах оптимизации в них межличностных взаимоотношений. Особую актуальность имеет проблема межличностной совместимости персонала, прежде всего при выполнении групповых задач. Практика показывает, что в таких условиях даже незначительные разногласия в мнениях, оценках, действиях могут привести к серьезным межличностным конфликтам или поставить под угрозу выполнение совместно решаемых задач.
Это обстоятельство обязывает учитывать такие социально-психологические феномены, как согласованность, совместимость, эффективность взаимодействия, взаимоприемлемость членов коллектива. Для изучения круга отмеченных вопросов практическому психологу поможет предлагаемая методика. Она способна обеспечить получение достоверной информации о состоянии межличностных отношений в малых группах, а также надежно прогнозировать уровень совместимости персонала по их индивидуальным социально-психологическим характеристикам. Методический инструментарий для этого может включать такие методы, как социометрия, психометрический метод Дюке, опросник межличностных отношений В. Шультца и др.
1) Метод социометрических измерений Дж. Морено
Известный американский психиатр и социальный психолог Дж. Морено предложил метод социометрии, который эффективно используется в психодиагностике для изучения социально-психологического климата в трудовых и учебных коллективах. Термин «социометрия» означает измерение межличностных взаимодействий в группе. Как метод социометрия представляет собой систему технических средств и процедур для метрического и качественного анализа социально-эмоциональных связей индивидуума с членами той группы, в которой он работает и живет. Совокупность межличностных отношений в группе составляет первичную социально-психологическую структуру, характеристики которой вомногом определяют не только целостные характеристики группы, но и душевное состояние человека.
Социометрическая процедура. Социометрическая процедура может иметь целью:
а) измерение степени сплоченности—разобщенности в группе;
б) выявление «социометрических позиций», т.е. соотносительного авторитета членов группы по признакам симпатии—антипатии, где на крайних полюсах оказываются «лидер» группы и «отвергнутый»;
в) обнаружение внутригрупповых подсистем, сплоченных образований, во главе которых могут быть свои неформальные лидеры.
Общая схема действий при социометрическом исследовании заключается в следующем. После постановки задач исследования и выбора объектов измерений формулируются основные гипотезы и положения, касающиеся возможных критериев опроса членов групп. Здесь не может быть полной анонимности, иначе социометрия окажется малоэффективной. Требование экспериментатора раскрыть свои симпатии и антипатии нередко вызывает внутренние затруднения у опрашиваемых и проявляется у некоторых людей в нежелании участвовать в опросе. Когда вопросы или критерии социометрии выбраны, они заносятся на специальную карточку или предлагаются в устном виде по типу интервью. Каждый член группы обязан отвечать на них, выбирая тех или иных членов группы в зависимости от большей или меньшей склонности, предпочтительности их по сравнению с другими, симпатий или, наоборот, антипатий, доверия или недоверия и т. д.
При этом социометрическая процедура может проводиться в двух формах. Первый вариант — непараметрическая процедура. В данном случае испытуемому предлагается ответить на вопросы социометрической карточки без ограничения числа выборов испытуемого. Если в группе насчитывается, скажем, 12 человек, то в указанном случае каждый из опрашиваемых может выбрать 11 человек (кроме самого себя). Таким образом, теоретически возможное число сделанных каждым членом группы выборов по направлению к другим членам группы в указанном примере будет равно (N—1), где N —число членов группы. Точно так же и теоретически возможное число полученных субъектом выборов в группе будет равно (N—1).
Сразу уясним себе, что указанная величина (N—1) полученных выборов является основной количественной константой социометрических измерений. При непараметрической процедуре эта теоретическая константа является одинаковой как для индивидуума, делающего выборы, так и для любого индивидуума, ставшего объектом выбора. Достоинством данного варианта процедуры является то, что она позволяет выявить так называемую эмоциональную экспансивность каждого члена группы, сделать срез многообразия межличностных связей в групповой структуре. Однако при увеличении размеров группы до 12—16 человек этих связей становится так много, что без применения вычислительной техники проанализировать их становится весьма трудно.
Другим недостатком непараметрической процедуры является большая вероятность получения случайного выбора. Некоторые испытуемые, руководствуясь личным мотивом, нередко пишут в опросниках: «выбираю всех». Ясно, что такой ответ может иметь только два объяснения: либо у испытуемого действительно сложилась такая обобщенная аморфная и недифференцированная система отношений с окружающими (что маловероятно), либо испытуемый заведомо дает ложный ответ, прикрываясь формальной лояльностью к окружающим и к экспериментатору (что наиболее вероятно).
Анализ подобных случаев заставил некоторых исследователей попытаться изменить саму процедуру применения метода и таким образом снизить вероятность случайного выбора. Так родился второй вариант — параметрическая процедура с ограничением числа выборов. Испытуемым предлагают выбирать строго фиксированное число из всех членов группы. Например, в группе из 25 человек каждому предлагают выбрать лишь 4 или 5 человек. Величина ограничения числа социометрических выборов получила название «социометрического ограничения», или «лимита выборов».
Многие исследователи считают, что введение социометрического ограничения значительно превышает надежность социометрических данных и облегчает статистическую обработку материала. С психологической точки зрения социометрическое ограничение заставляет испытуемых более внимательно относиться к своим ответам, выбирать для ответа только тех членов группы, которые действительно соответствуют предлагаемым ролям партнера, лидера или товарища по совместной деятельности. Лимит выборов значительно снижает вероятность случайных ответов и позволяет стандартизировать условия выборов в группах различной численности в одной выборке, что и делает возможным сопоставление материала по различным группам.
В настоящее время принято считать, что для групп в 22—25 участников минимальная величина социометрического ограничения должна выбираться в пределах 4—5 выборов. Существенное отличие второго варианта социометрической процедуры состоит в том, что социометрическая константа (N—1) сохраняется только для системы получаемых выборов (т. е. из группы к участнику). Для системы отданных выборов (т. е. в группу от участника) она измеряется новой величиной d — социометрическим ограничением. Введением величины d можно стандартизировать внешние условия выборов в группах разной численности. Для этого необходимо определять величину d по одинаковой для всех групп вероятности случайного выбора. Формулу определения такой вероятности предложили в свое время Дж. Морено и Е. Дженнингс:
Р(А) =d / N-1
где:
Р — вероятность случайного события (А) социометрического выбора;
N — число членов группы.
Обычно величина Р (А) выбирается в пределах 0,20—0,30. Подставляя эти значения в формулу для определения d c известной величиной N, получаем искомое число социометрического ограничения в выбранной для измерений группе.
Недостатком параметрической процедуры является невозможность раскрыть многообразие взаимоотношений в группе. Возможно выявить только наиболее субъективно значимые связи. Социометрическая структура группы в результате такого подхода будет отражать лишь наиболее типичные, избранные коммуникации. Введение социометрического ограничения не позволяет судить об эмоциональной экспансивности членов труппы.
Проведение социометрического исследования включает несколько этапов.
1 этап. Определение целей исследования. Социометрия широко при
меняется для изучения проблем авторитета дилерства; социально-психологической совместимости: микрогрупп (в том числе и динамики их
развития).
2 этап. Определение вопросов. Вопросы определяются социометрическими критериями, которые бывают:
Формальные (направлены на изучение взаимоотношений работников и учащихся в ведущем виде деятельности). Например: «С кем из Вашего коллектива Вы хотели бы выполнить служебное задание?»
Неформальные (направлены на изучение взаимоотношений в сфере, не связанной с работой (учебой). Например: «С кем бы Вы хотели отметить свой день рождения?» Кроме того, вопросы могут быть сформулированы как в положительной, так и в отрицательной форме: положительные («С кем бы Вы хотели?..»); отрицательные («Кого бы Вы не рекомендовали?»).
3 этап. Определение величины ограничения возможных выборов.
1. Если требуется получить полную картину взаимоотношений, разрешается делать неограниченное число выборов (непараметрический метод). Положительные черты: полный срез взаимоотношений; выявляет экспансивность каждого человека; можно выявить эмоциональную составляющую всего коллектива. Недостатки непараметрического метода: громоздок при большом количестве людей; велика вероятность случайного выбора.
2. Социометрический опрос с ограничением числа выборов (параметрический метод) более надежен, так как выше осмысленность выбора.
Зависимость оптимального количества выборов от числа членов группы представлена в табл. 1.
Таблица 1
Величины ограничения социометрических выборов
| Число членов групп | Социометрическое ограничение, d | Вероятность случайного выбора, Р (А) |
| 5-7 | 1 | 0,20-0,14 |
| 8-11 | 2 | 0,25-0,18 |
| 12-16 | 3 | 0,25-0,19 |
| 17-21 | 4 | 0,23-0,19 |
| 22-26 | 5 | 0,22-0,19 |
| 27-31 | 6 | 0,22-0,19 |
| 32-36 | 7 | 0,21-0,19 |
4 этап. Разработка социометрической карточки. Один из способов следующий. Каждый на листочке пишет пронумерованный список коллектива по алфавиту (из штатного расписания, журнала занятий). После этого предлагается вычеркнуть свою фамилию (что на самом деле будет означать подпись).
В социометрической карточке или социометрической анкете каждый член группы должен указать свое отношение к другим членам группы по выделенным критериям (например, сточки зрения совместной работы, участия в решении деловой задачи, проведения досуга, в игре и т. д.). Критерии определяются в зависимости от программы данного исследования: изучаются ли отношения в производственной группе, группе досуга, во временной или стабильной группе.
Социометрическая карточка
| Тип | Критерии | Выборы |
| Работа | а) Кого бы Вы хотели выбрать своим бригадиром? б) Кого бы Вы не хотели выбрать своим бригадиром? | |
| Досуг | а) Кого бы Вы хотели пригласить на встречу Нового года? б) Кого бы Вы не хотели пригласить на встречу Нового года? |
При опросе без ограничения выборов в социометрической карточке после каждого критерия должна быть выделена графа, размеры которой
позволили бы давать достаточно полные ответы. При опросе с ограничением выборов справа от каждого критерия на карточке чертится столько вертикальных граф, сколько выборов мы предполагаем разрешить в данной группе. Определение числа выборов для разных по численности групп, но с заранее заданной величиной Р (А) в пределах 0,14—0,25 можно произвести, пользуясь данными, приведенными в табл. 1.
Когда социометрические карточки заполнены и собраны, начинается этап их математической обработки. Простейшими способами количественной обработки являются табличный, графический и индексологический.
5 этап. Опрос. Проводится в условиях, обеспечивающих положительное отношение к самой процедуре и к проводящему ее. например, в ком
нате для отдыха или в специальном помещении в отсутствие вышестоящих начальников и посторонних лиц.
6 этап. Обработка результатов. После сбора карточек группа распускается и обработка проводится в их отсутствие. Прежде всего составляется социоматрица (на каждый вопрос своя!). Пример заполнения матрицы приводится в табл. 2:
«+» - положительный выбор;
«-» - отрицательный выбор;
«+ +» - взаимный положительный выбор;
«- -» - взаимный отрицательный выбор.
Социометрическая техника применяется для диагностики межличностных отношений в коллективе в целях их изменения, улучшения и совершенствования. С помощью социометрии можно изучать типологию социального поведения людей в групповой деятельности, судить о социально-психологической совместимости членов малой группы.
Данный метод весьма оперативен, с его помощью может быть достаточно быстро выявлена зачастую скрытая от непосредственного наблюдения система межличностных отношений в коллективе, для обнаружения которой путем наблюдения потребовалось бы более длительное время.
Вместе с официальной или формальной структурой общения, отражающей рациональную, нормативную, обязательную сторону человеческих взаимоотношений, в любой социальной группе всегда имеется психологическая структура неофициального или неформального порядка, формирующаяся как система межличностных отношений, симпатий и антипатий. Особенности такой структуры во многом зависят от ценностных ориентации участников совместной деятельности и общения, их восприятия и понимания друг друга, взаимооценок и самооценок. Неформальная структура зависит от формальной структуры в той степени, в какой индивиды подчиняют свое поведение целям и задачам совместной деятельности, правилам ролевого взаимодействия. С помощью социометрии можно оценить взаимные симпатии и антипатии, совместимость людей.
Для комплектования малых групп это особенно важно, так как независимо от нашего желания любая структура неформального характера проецируется на систему деловых, официальных отношений и тем самым влияет на эффективность деятельности отдельных микрогрупп и группы в целом.
Общая схема действий при социометрической процедуре состоит в следующем. Членам группы предлагается ответить на социометрические вопросы-критерии, касающиеся желания взаимодействовать с другими членами группы в определенных условиях (продолжить дальнейшую работу в одном коллективе, выполнять совместно производственные и другие задачи, находиться в одной группе, смене и т. п.). Вопросы предъявляются в письменном виде на классной доске или на отдельных листах-анкетах. Опрашиваемые оценивают каждого члена группы (включая отсутствующих) по степени их приемлемости в совместной деятельности, во взаимоотношениях.
Социоматрица. Вначале следует построить простейшую социоматрицу. Пример дан в табл. 2. Результаты выборов разносятся по матрице с помощью условных обозначений.
Анализ социоматрицы по каждому критерию дает достаточно наглядную картину взаимоотношений в группе. Могут быть построены суммарные социоматрицы, дающие картину выборов по нескольким критериям, а также социоматрицы по данным межгрупповых выборов.
Таблица 2
Пример социоматрицы для группы численностью N членов
| № | Кто выбирает: (j-члены) | Кого выбирают: (i -члены) | Сделанные выборы | Всего | |||||||
| 1 | 2 | 3 | 4 | 5 | * | * | «+» | «-» | |||
| 1 | А-ов | + | + | - | - | * | * | 2 | 2 | 4 | |
| 2 | В-ов | + | + | - | - | * | * | 2 | 2 | 4 | |
| 3 | Г-ев | + | + | * | * | 2 | 0 | 2 | |||
| 4 | П-ов | + | - | * | * | 1 | 1 | 2 | |||
| 5 | С-ов | + | - | - | + | * | * | 2 | 2 | 4 | |
| … | … | … | … | … | |||||||
| … | … | … | … | ||||||||
| … | … | … | … | … | |||||||
| N | … | ||||||||||
| Полученные ∑(+) | 4 | 2 | 2 | 1 | 0 | * | * | 9 | |||
| выборы ∑(-) | 0 | 1 | 1 | 2 | 3 | * | * | 7 | |||
| Всего | 16 |
Основное достоинство социоматрицы — возможность представить выборы в числовом виде, что в свою очередь позволяет проранжировать членов группы по числу полученных и отданных выборов, установить порядок влияний в группе. На основе социоматрицы строится социограмма - карта социометрических выборов (социометрическая карта), производится расчет социометрических индексов.

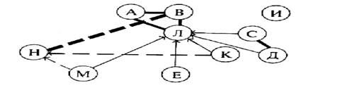
Социограмма. Соииограмма — схематическое изображение реакции испытуемых друг на друга при ответах на социометрический критерий. Социограмма позволяет произвести сравнительный анализ структуры взаимоотношений в группе в пространстве на некоторой плоскости («щите») с помощью специальных знаков (рис. 2).
Социограммная техника является существенным дополнением к табличному подходу в анализе социометрического материала, ибо она дает возможность более глубокого качественного описания и наглядного представления групповых явлений.
Анализ социограммы начинается с отыскания центральных, наиболее влиятельных членов, затем — взаимных пар и группировок. Группировки составляются из взаимосвязанных лиц, стремящихся выбирать друг друга. Наиболее часто в социометрических измерениях встречаются положительные группировки из 2, 3 членов, реже из 4 и более членов (рис. 3).

Социометрические индексы. Различают персональные социометрические индексы (П.С.И.) и групповые (Г.С.И.). Первые характеризуют индивидуальные социально-психологические свойства личности в роли члена группы. Вторые дают числовые характеристики целостной социометрической конфигурации выборов в группе. Они описывают свойства групповых структур общения. Основными П.С.И. являются индекс социометрического статуса i-члена; эмоциональной экспансивности j-члена; объема, интенсивности и концентрации взаимодействия i j-члена. Символы i и j обозначают одно и то же лицо, но в разных ролях: i ~ выбираемый; j — он же выбирающий; ij— совмещение ролей.
Индекс социометрического статуса i-члена определяется по формуле:

где:
Сi — социометрический статус i -члена;
R i — полученные i-членом выборы (+,-);
∑ — знак алгебраического суммирования числа полученных выборов
j -члена;
N — число членов группы.
Социометрический статус — это свойство личности как элемента социометрической структуры занимать определенную пространственную позицию (локус) в ней, т. е. определенным образом соотносится с другими элементами. Такое свойство развито у элементов групповой структуры неравномерно и для сравнительных целей может быть измерено числом — индексом социометрического статуса. Элементы социометрической структуры — это личности, члены группы. Каждый из них в той или иной мере взаимодействует с каждым, общается, непосредственно обменивается информацией и т. д. В то же время каждый член группы, являясь частью целого (группы), своим поведением воздействует на свойства целого. Реализация этого воздействия протекает через различные социально-психологические формы взаимовлияния, Субъективную меру этого влияния подчеркивает величина социометрического статуса. Но личность может влиять на других двояко: либо положительно, либо отрицательно. Поэтому принято говорить о положительном и отрицательном статусе. Статус также измеряет потенциальную способность человека к лидерству. Чтобы высчитать социометрический статус, необходимо воспользоваться данными социоматрицы.
Возможен расчет Сi+ — положительного и Сi- - отрицательного статуса в группах численности (N).
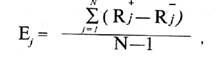
Индекс эмоциональной экспансивности у-члена группы высчитывается по формуле:

где:
Ej — эмоциональная экспансивность j-члена; R — сделанные j-членом выборы (+, —).
С психологической точки зрения показатель экспансивности характеризует потребность личности в общении. Из Г.С.И. наиболее важными являются:
Индекс эмоциональной экспансивности группы. Высчитывается по формуле:

N
где:
Аg – экспасивность группы
+ - число положительных, отрицательных выборов
N – число членов группы
Индекс показывает среднюю активность группы при решении задачи социометрического текста (в расчете на каждого члена группы)
Индекс психологической взаимности (сплоченности группы) в группе высчитывается по формуле:

GR — взаимность в группе по результатам положительных выборов;
+ — число положительных взаимных связей в группе;
- — число отрицательных взаимных связей в группе;
N — число членов группы.
Надежность рассмотренной процедуры зависит прежде всего от правильного отбора критериев социометрии, что диктуется программой исследования и предварительным знакомством со спецификой группы.
Использование социометрического теста позволяет проводить измерение авторитета формального и неформального лидеров для перегруппировки людей внутри коллектива так, чтобы снизить напряженность, возникающую из-за взаимной неприязни его некоторых его членов.
Социометрическая методика проводится групповым методом, ее проведение не требует больших временных затрат (до 15 минут). Она весьма полезна в прикладных исследованиях, особенно в работах по совершенствованию отношений в коллективе. Но она не является радикальным способом разрешения внутри групповых проблем, причины которых следует искать не в симпатиях и антипатиях членов группы, а в более глубоких источниках.
2) Психометрический метод Дюке
Метод Дюке относится к группе модельных психометрических методов, имитирующих ситуацию межличностного общения. Он создавался как средство диагностики дистанции межличностного общения и факторов, ее определяющих. Однако исследования показали, что метод также является надежным средством исследования системы межличностных отношений, обладая при этом своими достоинствами. К их числу прежде всего относятся такие, как: отвлечение от конкретной ситуации общения; возможность в рамках данной методики манипулировать с различными факторами, влияющими на восприятие испытуемым окружающих; отсутствие сознательной и несколько искусственной ранжировки стимулов по степени их значимости в системе межличностных отношений.
Общая схема действий при использовании психометрической методики Дюке состоит в следующем. Испытуемым предлагается вообразить себя находящимися в некотором замкнутом пространстве (круглая комната), в которой с испытуемым общаются различные коммуниканты (члены группы, с которыми взаимодействует испытуемый). Схема на рис. 28 моделирует воображаемую круглую комнату с восемью радиусами, исходящими из общей точки (центр круглой комнаты). Каждый радиус (80 мм) имеет произвольно выбранный номер (вход в воображаемую круглую комнату). Расстояние между центральной точкой и любой точкой каждого радиуса измеряется в миллиметрах.
Таким образом, процедура измерения в данной методике предполагает, что межличностное расстояние есть не дискретная, а непрерывная переменная величина.
В инструкции указано, что испытуемый должен вообразить себя стоящим в центральной точке схемы (круглой комнаты) и беседовать с воображаемыми лицами (стимулами), которые входят в комнату через двери. Испытуемый отмечает на соответствующем радиусе точку,

где стимул должен остановиться, т. е. ближе которой испытуемый начинал чувствовать себя неудобно, стесненно от соседства с данным стимулом. Ответы испытуемых регистрируются как расстояния в миллиметрах между точкой на радиусе и центром. Затем, так же как и в случае с социометрическим опросом, они сводятся в матрицы взаимных оценок.
3) Опросник межличностных отношений В. Шультца
Опросник межличностных отношений (ОМО) является русскоязычной адаптацией FIRO-B, опросника В. Шультца. Опросник сконструирован так, что позволяет:
а) предвосхитить поведение индивида в межличностных ситуациях;
б) предсказать социальные интеракции.
Сточки зрения последнего, опросник отчасти является исключительным среди личностных тестов: он позволяет произвести измерение не только личностных характеристик, но и благодаря комбинации индивидуальных индексов позволяет оценить отношения между двумя и более индивидами.
Опросник предназначен для оценивания поведения в трех областях межличностных потребностей: включения (I), контроля (С) и аффекта (А). Внутри каждой области принимаются во внимание направления: выраженное поведение индивида (е), т. е. тестируемый оценивает в рамках оценочной шкалы интенсивность личностного поведения в данной области; поведение, требуемое индивидом от остальных (w), т. е. тестируемый выражает в рамках оценочной шкалы интенсивность поведения остальных по отношению к себе, которая является оптимальной для него.
Таким образом, опросник (Приложение 5) состоит из 6 шкал и включает 54 вопроса. Обследование занимает 15—20 минут. Способ работы с опросником излагается в инструкции для испытуемого. Ответы заносятся им в специальный регистрационный бланк (Приложение 6), а затем обрабатываются с помощью специального «ключа» (Приложение (7). Любое совпадение с «ключом» дает 1 балл.
Названия и символы шкал ОМО (шесть основных шкал опросника)
Включение
Выраженное поведение
Iе — стремлюсь принимать остальных, чтобы они имели интерес ко мне и принимали участие в моей деятельности; активно стремлюсь принадлежать к различным социальным группам и быть как можно больше и чаше среди людей.
Требуемое поведение
Iw — стараюсь, чтобы остальные приглашали меня принимать участие в их деятельности и стремились быть в моем обществе, даже когда я не прилагаю к этому никаких усилий.
Контроль
Выраженное поведение
Се — пытаюсь контролировать и влиять на остальных; беру в свои руки руководство и стремлюсь решать, что и как будет делаться.
Требуемое поведение
Cw — стараюсь, чтобы остальные контролировали меня, влияли на меня и говорили мне. что я должен делать.
Аффект
Выраженное поведение
Ае — стремлюсь быть в близких, доверительных отношениях с остальными, проявлять к ним свои дружеские и теплые чувства.
Требуемое поведение
Aw — стараюсь, чтобы другие стремились быть ко мне эмоционально более близкими и делились со мной своими чувствами.
Оценки по этим шкалам — числа в промежутке от 0 до 9. Следовательно, результат выражается суммой шести однозначных чисел. Комбинации этих оценок дают индексы объема интеракций (e+w) и противоречивости межличностного поведения (e-w) внутри и между отдельными областями межличностных потребностей, а также коэффициенты совместимости в диаде или группе, состоящей из большего количества членов.
Основные варианты использования средств диагностики межличностных отношений в малых группах
В числе основных можно выделить два возможных варианта комплектования малых групп.
Первый вариант — первичное комплектование — осуществляется при организации новых групп, подразделений, команд, смен из сотрудников, прежде не знавших друг друга и не имеющих представлений об их личных и профессиональных качествах. Очевидно, что в таком случае применять метод социометрии нельзя. Поэтому для прогнозирования межличностной психологической совместимости используются результаты изучения характеристик индивидуального стиля общения, диагностируемые опросником межличностных отношений (ОМО) В. Шультца.
Второй вариант — переукомплектование — возникает при необходимости изменить существующий состав коллектива, группы вследствие неудовлетворительных показателей совместной деятельности, ухудшения межличностных отношений, конфликтности членов группы- Данный вариант предполагает, что члены обследуемого коллектива достаточно хорошо знают друг друга по совместной деятельности (не менее 1—2 месяцев). В соответствии с этим основным методическим приемом, на основе которого определяются оптимальные составы коллективов, является социометрия. Данный метод может также использоваться для диагностики уровня межличностной и групповой совместимости.
В случае необходимости доукомплектования групп, команд, смен, имеющего место при частичном увольнении сотрудников и прибытии новых, применение того или иного метода (социометрии или ОМО) зависит от продолжительности совместной жизнедеятельности членов группы: до 1 месяца - подбор оптимального состава групп следует проводить на основе ОМО, более 1 месяца — на основе социометрии. В целях более качественной диагностики и прогнозирования совместимости членов групп следует сочетать оба метода.
По трудоемкости и затратам времени варианты не равнозначны — наиболее трудоемок второй, наименее — первый. При этом оба они дают значимую информацию долгосрочного действия.
Вместе с тем в процессе повседневной жизнедеятельности коллективов, выполняющих групповые задачи, могут возникать различного рода конфликтные ситуации, радикально изменяющие систему взаимоотношений в коллективе. Своевременно обнаружить эти изменения, не допустить обострения или расширения возникшего конфликта призваны методы экспресс-диагностики межличностных отношений в организациях. В их числе следует прежде всего отметить психометрическую методику Дюке, позволяющую более оперативно получить результаты, тесно коррелирующие с данными социометрического обследования.
4) Методика изучения межличностных отношений и комплектования малых групп
Задача первичного комплектования малых групп может быть решена с использованием методики В. Шультца (ОМО) на основе изучения характерных особенностей индивидуальной ориентации человека по отношению к другим людям. В основе процедуры лежат установленные закономерности сочетания характерных способов поведения двух индивидов в межличностном взаимодействии, предопределенных их социальным опытом.
Характерные способы поведения двух индивидов в межличностном взаимодействии могут быть либо совместимыми, либо нет. Создатель Опросника межличностных отношений В. Шультц определяет межличностную совместимость как такие отношения между двумя или более индивидами, при которых достигается та или иная степень взаимного удовлетворения межличностных потребностей. Прогнозирование совместимости осуществляется посредством вычисления для каждой конкретной пары (диады) значения дискриминантной функции.
Процедура комплектования малых групп с использованием Опросника межличностных отношений (ОМО) включает:
• обследование всех потенциальных членов группы по методике ОМО;
• обработку результатов обследования и получение «сырых» баллов
по показателям: le, Iw, Ce, Cw, Ae, Aw;
• вычисление для всех предполагаемых составов групп коэффициентов,
характеризующих совместимость межличностной ориентации диады:
Коэффициента взаимной совместимости: rK - |eA-wB;+|eB-wA;.
Коэффициента инициации: оК = (eA-wA)+(eB-wB).
Коэффициента взаимного обмена: хК - |(eA+wA)-(eB+wB);.
где:
еА — выраженное поведение лица А;
еВ — выраженное поведение лица В;
wA — требуемое поведение лица А;
wB — требуемое поведение лица В.
Отдельные типы коэффициентов совместимости можно подсчитать для каждой из областей межличностных потребностей. Тогда из комбинации создают индексы совместимости, которые могут быть использованы при решении различных проблем:
| I | С | А | Сумма в ряду | ||
| Типы совместимости | г | rKI | гКС | гКА | гК |
| о | оК1 | оКС | оКА | оК | |
| х | xKI | хКС | хКА | хК | |
| Сумма в столбце | KI | КС | КА | К |
• подстановку рассчитанных значений показателей в уравнение дис-
криминантной функции и вычисление ее величины:
Y(ij) - 0,08 r rКС + 0,25 г оКС + 0,07 г гК - 2,83,
где:
ij — номера членов группы;
0,08; 0.25; 0,07 — коэффициенты дискриминантной функции;
2,83 — константа.
• сравнение полученной величины с критической (Укр = 0 );
при Y < 0 пара относится к категории совместимой, при Y > 0 — к несовместимой.
• комплектование групп.
Пример комплектования групп:
Необходимо скомплектовать 4 микрогруппы из 8 человек (4 старших и 4 подчиненных).
Результаты диагностики совместимости в виде значений дискриминантных функций представлены в таблице.
Результаты диагностики совместимости с использованием ОМО
| Старший | Подчиненный | |||
| 5 | 6 | 7 | 8 | |
| 1 | 3.21 | 4.05 | -2.76 | -4.32 |
| 2 | -2.26 | -1.98 | 1.06 | -1.73 |
| 3 | 0.45 | -2.56 | 2.34 | -0.78 |
| 4 | -1.96 | 1.16 | -2.96 | 2.45 |
Находим минимальное значение в таблице: — 4.32 — для группы в составе: старший (1) — подчиненный (8). Следующее минимальное значение: — 2.96 — для группы, образованного из старшего (4) и подчиненного (7). Повторяя процедуру для других, получаем: группа, состоящая из старшего (3) и подчиненного (6), и группа, включающая старшего (2) и подчиненного (5).
Таким образом, сформировано 4 группы в составе:
1) 1-й — 8-й;
2) 4-й - 7-й;
3) 3-й — 6-й:
4) 2-й — 5-й.
При переукомплектовании малых групп в качестве основного диагностического средства может быть использована социометрия. При комплектовании коллективов она используется для изучения межличностных оценок, симпатий и антипатий членов группы, возникших в результате совместной деятельности и общения, а также для определения оптимальных составов малых групп.
Таблица 4
Пример заполнения матрицы 1
| № п/п | Фамилия, инициалы | 1 | 2 | 3 | 4 | 5 | 6 | 7 | 8 | 9 | 10 | 11 | 12 | 13 | 14 | 15 | 16 |
| 1 | X | 1 | 1 | 2 | 0 | 0 | 1 | 1 | 1 | 1 | 2 | 2 | 2 | 1 | 0 | 0 | |
| 2 | 1 | X | 1 | 0 | -1 | 0 | 0 | 1 | 0 | 0 | 0 | 0 | 1 | 1 | 0 | 1 | |
| 3 | 1 | 0 | X | 2 | 0 | 0 | 0 | 2 | 1 | 0 | 0 | 1 | 2 | 0 | 1 | 1 | |
| 4 | 1 | 1 | 2 | X | 1 | 0 | 0 | 2 | 2 | 2 | 0 | 0 | 2 | 0 | 1 | 1 | |
| 5 | 0 | -1 | -1 | 0 | X | 0 | 0 | 1 | 1 | 0 | -1 | 1 | 1 | 1 | 1 | -1 | |
| 6 | 0 | 0 | 0 | 0 | 0 | X | 0 | 0 | 0 | 0 | 0 | 0 | 0 | 0 | 0 | 0 | |
| 7 | 1 | 0 | 0 | 0 | 1 | 0 | X | 0 | 1 | 1 | 1 | 1 | 1 | 0 | 0 | 0 | |
| 8 | 1 | 1 | 1 | 2 | 0 | 0 | 0 | X | 1 | 0 | 0 | 0 | 1 | 1 | 0 | -1 | |
| 9 | 2 | 0 | 2 | 2 | 1 | 0 | 1 | 1 | X | 2 | -2 | 2 | 2 | 1 | 1 | -1 | |
| 10 | 1 | 1 | 2 | 1 | 1 | 1 | 1 | 0 | 1 | X | -1 | 0 | 1 | 1 | 1 | 0 | |
| 11 | 2 | 1 | 1 | 0 | -1 | 0 | 0 | -1 | -1 | -1 | X | 1 | 1 | 1 | 1 | 0 | |
| 12 | 1 | 1 | 2 | 0 | 1 | 0 | 1 | 1 | 2 | 1 | 1 | X | 1 | 0 | 2 | 0 | |
| 13 | 1 | 1 | 2 | 1 | 1 | 1 | 1 | 1 | 1 | 1 | 1 | 0 | X | 1 | 1 | 1 | |
| 14 | 1 | 1 | 1 | 1 | 1 | 0 | 0 | 0 | 1 | 1 | 1 | 0 | 1 | X | 1 | 1 | |
| 15 | 0 | 2 | 2 | 1 | 1 | 0 | 0 | 0 | 1 | 0 | 0 | 2 | 1 | 0 | X | -1 | |
| 16 | -1 | 0 | 2 | 1 | -1 | 0 | 0 | 0 | -1 | 1 | 0 | 1 | 0 | 0 | 0 | X |
Процедура комплектования в данном случае включает:
• проведение социально-психологического обследования с использованием социометрических критериев-вопросов анкеты (Приложение 3);
• составление прямоугольных матриц по результатам опроса;
• преобразование прямоугольных матриц в треугольные;
• назначение старших групп и составление для них матриц;
• комплектование групп, состоящих из двух, трех и т. д. человек.
Пример 1. Комплектование групп, состоящих из двух человек
Имеется заполненная прямоугольная матрица (1) (см. табл. 5). Преобразуем прямоугольную матрицу (1) в треугольную (2), значения элементов которой вычисляем по формуле (см. табл. 5):
Таблица 5
Пример заполнения треугольной матрицы (2)
| C сум.(ji),т.е. складываем диагональные парные оценки взятые из матрицы 1 N пп | Фамилия, инициалы | 1 | 2 | 3 | 4 | 5 | 6 | 7 | 8 | 9 | 10 | 11 | 12 | 13 | 14 | 15 | 16 |
| 1 | Х | 2 | 2 | 3 | 0 | 0 | 2 | 2 | 3 | 2 | 4 | 3 | 3 | 2 | 0 | -1 | |
| 2 | Х | 1 | 1 | -2 | 0 | 0 | 2 | 1 | 1 | 1 | 1 | 2 | 2 | 2 | 1 | ||
| 3 | Х | 4 | -1 | 0 | 0 | 3 | 3 | 2 | 1 | 3 | 4 | 1 | 3 | 3 | |||
| 4 | X | 1 | 0 | 0 | 4 | 4 | 3 | 0 | 0 | 3 | 1 | 2 | 2 | ||||
| 5 | X | 0 | 1 | 1 | 2 | 1 | -2 | 2 | 2 | 2 | 2 | -2 | |||||
| 6 | X | 0 | 0 | 0 | 1 | 0 | 0 | 1 | 0 | 0 | 0 | ||||||
| 7 | X | 0 | 2 | 2 | 1 | 2 | 2 | 0 | 0 | 0 | |||||||
| 8 | X | 2 | 0 | -1 | 1 | 2 | 1 | 0 | -1 | ||||||||
| 9 | X | 3 | -3 | 4 | 3 | 2 | 2 | -2 | |||||||||
| 10 | X | -2 | 1 | 2 | 2 | 1 | 1 | ||||||||||
| 11 | X | 2 | 2 | 2 | 1 | 0 | |||||||||||
| 12 | X | 1 | 0 | 4 | 1 | ||||||||||||
| 13 | X | 2 | 2 | 1 | |||||||||||||
| 14 | X | 1 | 1 | ||||||||||||||
| 15 | X | -1 | |||||||||||||||
| 16 | X |
Пусть старшие групп представлены под номерами: 1, 3, 4, 13. Составляем для них матрицу (3), элементы которой берутся из треугольной матрицы (2).

Формирование групп
Для каждой строки матрицы (3), т. е. для каждого старшего группы выбираем только один элемент, так чтобы:
• сумма выбранных элементов была максимальной;
• из одного столбца был выбран только один элемент, так как один
человек не может быть в двух группах.
Для этого определяем максимальные элементы в каждой строке:
• в первой строке — 11-й так как С(1.11) = 4.
• во второй строке — 8-й, 9-й, 12-й, 15-й, и 16-й, так как С(3.8) —
С(3.9) = С(3.12) = С(3.15) = С(3.16) = 3.
• в третьей строке — 8-й и 9-й, так как С(4.8) = С(4.9) = 4.
• в четвертой строке — 9-й, так как С(13.9) = 3.
Определяем состав групп: в данном случае это пары сотрудников 1-й — 11-й; 3-й — 16-й; 4-й— 8-й; 13-й — 9-й.
Выбор пар 1-й — 11-й и 13-й —9-й очевиден, так как в первой строке содержится только один максимальный элемент С(1.11) = 4 и в четвертой — тоже один — С(13.9) = 3.
Тогда в третьей строке после вычеркивания 9-го столбца (один человек не может быть в двух группах) остается только один максимальный элемент С(4.8) = 4.
Подбор подчиненного к старшему под № 3 (вторая строка) проводится по правилу суммы оставшихся элементов выбранного столбца. Это правило говорит о том, что взаимная психологическая связь подчиненного под № 16 со старшим под № 3, с которым он образует группу, максимальна, а со старшими под № 1, 4, 13 — минимальна.
Для данного случая по матрице (3) определяем суммы элементов 12-го, 15-го и 16-го столбцов, исключая элементы на пересечении этих столбцов со второй строкой (со старшим под № 3):
С(1.12) + С(4.12) + С(13.12) = 3 + 0 + 1 =4
Q1.15) + С(4.15) + С(13.15) = 0 + 2 + 2 = 4
С(1.16) + С(4.16) + С(13.16) = -1+2+1=2
Поскольку сумма оставшихся элементов столбца j = 16 для строки i = 3 минимальна, так как равна 2, то образуется группа в составе 3-й — 16-й, у которой С(3.16) = 3.
Таким образом, сформированы четыре группы:
1) 1-й — 11-й,
2) 3-й - 16-й,
4) 13-й -9-й,
3) 4-й — 8-й.
Пример 2. Комплектование групп, состоящих из трех человек
За основу берем матрицу (3). Из нее исключаем столбцы 8, 9, 11, 16 (т. е. подчиненных, уже вошедших в группы). Вычисляем взаимную психологическую связь выбранных пар (1.11), (3.16), (4.8), (13.9) с оставшимися членами группы под № 2,5,6,7,10,12,14,15 и формируем матрицу (4). При этом используем элементы матрицы (2).
Так взаимная психологическая связь пары (1.11) с членом группы под № 2 будет складываться из суммы значений взаимных оценок пар; 1-й — 11-й, 1-й —2-й, 11-й — 2-й и будет равна числу 7, т. е. 0(1.11) + С(1.2) + С(11.2) = 4 + 2+1=7.
Аналогично производим расчет для всех пар и для всех оставшихся членов коллектива.
В результате матрица (4) будет иметь вид:
Таблица 6
Пример заполнения матрицы (4)
| Группы (пары) | Оставшиеся члены группы | |||||||
| 2 | 5 | 6 | 7 | 10 | 12 | 14 | 15 | |
| 1—11 | 7 | 2 | 4 | 7 | 4 | 6 | 8 | 7 |
| 3—16 | 5 | 0 | 3 | 3 | 6 | 7 | 5 | 5 |
| 4—8 | 7 | 6 | 4 | 4 | 8 | 8 | 6 | 6 |
| 13—9 | 5 | 7 | 4 | 7 | 6 | 7 | 6 | 7 |
• определяем позиции максимальных и близких к ним элементов в
каждой строке;
• строкам, имеющим единственный максимальный элемент, меньший по сравнению с максимальными элементами других строк, отдается предпочтение, т. е. образуются тройки (3.16.12), (3.11.14);
• две другие тройки образуются с учетом правила минимальной суммы оставшихся элементов выбранного столбца, т. е. образуются тройки
(4.8.10) и (13.9.5).
Таким образом, скомплектованы четыре смены, каждая из которых состоит из трех человек:
1) 1, 11, 14;
2)3,16,12;
3)4,8, 10;
4) 13,9. 15.
На практике при изучении межличностных отношений в коллективах и комплектовании малых групп могут быть получены различные наборы взаимных оценок членов коллектива (как в целом завышенные, так и заниженные). В табл. 7 приведены возможные варианты сочетания взаимных оценок и указана степень благоприятности сочетаний в паре для выполнения совместной деятельности, выраженная в 5 -балльной шкале: 5 — очень высокая, 4 — высокая, 3 — средняя, 2 — низкая, 1 — крайне низкая.
Таблица 7
Сочетания взаимных оценок в паре «старший — подчиненный» по «прямому» критерию — А шкалы приемлемости: выбор и отвержение для совместной деятельности
| Старший | Подчиненный | ||||
| 2 | 1 | 0 | -1 | -2 | |
| 2 | 5 | 4 | 3 | 2 | 2 |
| 1 | 4 | 4 | 3 | 2 | 2 |
| 0 | 3 | 3 | 2 | 2 | 1 |
| -1 | 2 | 2 | 2 | 1 | 1 |
| -2 | 2 | 2 | 2 | 1 | 1 |
В практической деятельности психолога важно уметь осуществлять экспресс-диагностику межличностных отношений в малых группах. Важно иметь в виду, что предлагаемые выше методы диагностики межличностных отношений в коллективах и основанные на них алгоритмы комплектования малых групп имеют два видимых недостатка. Первый из них заключается в том, что акцент на достижение благоприятных эмоциональных отношений (психологической совместимости) отодвигает как бы на второй план аспект деятельности изучаемых малых групп. Второй сопряжен с относительно трудоемким процессом обработки результатов социально-психологического обследования (прежде всего социометрического) и, следовательно, невозможностью оперативно отслеживать динамику социально-психологических процессов в коллективе.
Преодолеть эти недостатки призван метод экспресс-диагностики межличностных отношений — психометрический метод Дюке. При этом следует оговориться, что данный метод рассматривается лишь как вспомогательный,
Психометрический метод Дюке может использоваться как метод, дополняющий и уточняющий информацию социометрического обследования в ситуациях экстренного формирования различных коллективов и групп, а также как метод экспресс-диагностики, направленный на оперативное отслеживание динамики межличностных отношений в малых группах. Главное преимущество метода заключается в том, что он относительно прост в проведении обследования и обработке результатов, а следовательно, не требует больших временных и трудовых затрат.
Основным критерием оценки межличностных отношений в предлагаемой методике служит дистанция межличностного общения. Респонденты (опрашиваемые) фиксируют приемлемую дистанцию общения с тем или иным коллегой на специальной схеме, моделирующей некоторое замкнутое пространство. Психолог сводит индивидуальные оценки членов группы (расстояние на схеме в мм) в матрицу взаимных оценок приемлемой дистанции межличностного общения (табл. 8).
Матрицы имеют размерность N x N, где N— общее число членов группы по списку. Составление (заполнение матриц) осуществляется следующим образом. Из регистрационного листа 1 переносят оценки (расстояния в мм) в столбец 1 матрицы. На пересечении строки 1 и столбца 1 ставится знак «х». Таким же образом заполняются и все остальные столбцы матрицы. Поскольку элементом матрицы является оценка, которую i-й член группы дал j-му, следовательно, i-й столбец представляет набор оценок, данных i-м членом группы всем остальным, j-я строка — набор оценок, полученных j-м членом группы от остальных.
Таблица 8
Пример заполнения матрицы (5)
| № | Кого выбирают, оценивают (j), Ф.И.О. | Номера членов группы, которые выбирают (оценивают) (i) | |||||||||
| 1 | 2 | 3 | 4 | 5 | 6 | 7 | 8 | 9 | 10 | ||
| 1 | Алиев К. И. | X | 80 | 65 | 78 | 58 | 14 | 46 | 25 | 70 | 25 |
| 2 | Бородин Г. В. | 80 | X | 15 | 38 | 45 | 38 | 63 | 15 | 9 | 42 |
| 3 | Ветров A.M. | 45 | 10 | X | 14 | 36 | 42 | 25 | 36 | 54 | 11 |
| 4 | Гончар ПО. | 50 | 46 | 32 | X | 23 | 41 | 8 | 17 | 53 | 42 |
| 5 | Дрозд О.А. | 37 | 39 | 42 | 34 | X | 15 | 24 | 25 | 53 | 47 |
| 6 | Егоров СП. | 30 | 12 | 34 | 25 | 76 | X | 43 | 78 | 68 | 52 |
| 7 | Жарков К.Е. | 18 | 69 | 31 | 53 | 32 | 24 | X | 32 | 12 | 23 |
| 8 | Зубов Л.А. | 12 | 29 | 19 | 9 | 21 | 15 | 48 | X | 32 | 56 |
| 9 | Иванов И.П. | 54 | 19 | 46 | 30 | 23 | 43 | 3 | 17 | X | 10 |
| 10 | Кебич Р.Д. | 22 | 51 | 25 | 27 | 31 | 32 | 36 | 41 | 5 | X |
Преобразуем прямоугольную матрицу (5) в треугольную (6), значения элементов которой вычисляем по формуле: С сум.(ij) = С (ij) + С (ij), т. е. складываем диагональные парные оценки, взятые из матрицы (1).
Таблица 9
Пример заполнения матрицы (6)
| № | Кого выбирают, оценивают (j), фамилия, инициалы | Номера членов группы, которые выбирают (i) | |||||||||
| 1 | 2 | 3 | 4 | 5 | 6 | 7 | 8 | 9 | 10 | ||
| 1 | Алиев К.И. | X | 160 | 110 | 123 | 95 | 44 | 64 | 37 | 124 | 47 |
| 2 | Бородин Г.В. | X | 25 | 84 | 84 | 50 | 131 | 44 | 28 | 93 | |
| 3 | Ветров A.M. | X | 46 | 78 | 76 | 56 | 55 | 100 | 36 | ||
| 4 | Гончар П.О. | X | 57 | 66 | 61 | 26 | 83 | 69 | |||
| 5 | Дрозд О А | X | 91 | 56 | 46 | 76 | 78 | ||||
| 6 | Егоров СП | X | 67 | 93 | 111 | 84 | |||||
| 7 | Жарков К.Е. | X | 60 | 20 | 59 | ||||||
| 8 | Зубов Л.А. | X | 49 | 97 | |||||||
| 9 | Иванов И.П. | Х | 15 | ||||||||
| 10 | Кебич Р.Д. | X |
Уменьшение этой дистанции (показатель суммы взаимных оценок) между членами группы в процессе совместной деятельности может свидетельствовать об улучшении отношений в диаде, достижении психологической совместимости. Напротив, резкое увеличение этого показателя дает повод задуматься о назревающем конфликте в группе и, следовательно, необходимости поиска причин и путей локализации такого конфликта.
Приложение 1
Анкета для проведения социометрического обследования
Уважаемый коллега!
Вам предлагается принять участие в социально-психологическом исследовании процессов общения в Вашем коллективе. Результаты исследования будут использованы в целях совершенствования морально-психологического климата в Вашем коллективе, выработке рекомендаций по оптимальному комплектованию рабочих групп (отделов, бригад, смен и т. д.) с учетом психологической совместимости.
Вам необходимо ответить на 3 вопроса. Ваши персональные ответы не станут известны ни Вашим коллегам, ни Вашим руководителям. Мы гарантируем сохранение их в тайне. Свои ответы отмечайте на регистрационном листе. Предварительно заполните его паспортную часть: укажите дату, наименование организации, Вашу фамилию, имя, отчество и порядковый номер по списку. Обведите порядковый номер кружком в колонках регистрационного листа. Это Ваш код. Указать его необходимо для того, чтобы можно было обработать полученные данные и обязательно учесть Ваше мнение. Столбцы в регистрационном листе, обозначенные буквами
А (Б, В), соответствуют вопросам, которые будут приведены ниже. Порядковые номера строк соответствуют номерам членов Вашего коллектива по списку. Ответы на каждый вопрос отмечайте в регистрационном листе напротив порядкового номера фамилии члена Вашего коллектива. Вы должны оценить каждого члена Вашей группы, исключая себя. Не допускайте пропусков. Старайтесь использовать все предлагаемые варианты оценок. На вопросы отвечайте только самостоятельно. Не следует показывать свои листы другим и брать чужие. Помните, что каждый имеет право на свое личное мнение, какое бы оно ни было. После того, как Вы ответите на первый вопрос, поставив напротив каждого номера соответствующую цифру, переверните регистрационный лист чистой стороной вверх и приготовьтесь для перехода к следующему вопросу. Закончив отвечать на все вопросы, еще раз убедитесь, что Вы никого не пропустили. Затем сложите регистрационный лист вдвое и положите его на край стола. Когда к Вам подойдет эксперт, отдайте свой лист лично ему. Благодарим Вас за участие в исследовании!
Вопросы
А. Если бы от Вас лично зависел подбор нового состава Вашей группы (бригады, команды и пр.) для совместного выполнения сложных и ответственных задач, то кого бы Вы включили в состав своей группы, а кого нет? Оцените каждого члена Вашей группы по этому критерию в баллах:
Этого человека я:
• включил бы обязательно, в первую очередь (+2);
• скорее включил бы, чем нет (+1);
• все равно, включать или нет (0);
• скорее не включил бы, чем включил (-1);
• ни в коем случае не включил бы (-2).
Б. Как Вы думаете, кто включил Вас в состав своей группы для выполнения сложных и ответственных задач, а кто — нет?
Этот человек меня:
• обязательно включил бы в состав группы (+2);
• скорее включил - чем нет (+1),
• ему все равно, включать меня или нет (0);
• скорее не включил, чем включил (-1);
• ни в коем случае не включил бы (-2).
В. Оцените, пожалуйста, степень значимости (важности) для Вас лично мнений, суждений, оценок каждого члена группы по отношению к событиям, связанным с Вашей совместной жизнью и деятельностью.
Мнение этого человека для меня:
• имеет очень большое значение (+2);
• имеет большое значение (+1);
• имеет некоторое значение (0);
• почти не имеет значения (-1);
• абсолютно не имеет значения (-2).
Приложение 2
Регистрационный лист к анкете для проведения социометрического обследования
Дата_ _____ Ф., И., О.______ Организация_______
Порядковый номер по списку_________
Вопросы
| A | В | С | ||
| 1 | 1 | 1 | ||
| 2 | 2 | 2 | ||
| 3 | 3 | 3 | ||
| 4 | 4 | 4 | ||
| 5 | 5 | 5 | ||
| 6 | 6 | 6 | ||
| 7 | 7 | 7 | ||
| 8 | 8 | 8 | ||
| 9 | 9 | 9 | ||
| 10 | 10 | 10 | ||
| 11 | 11 | 11 | ||
| 12 | 12 | 12 | ||
| 13 | 13 | 13 | ||
| 14 | 14 | 14 | ||
| 15 | 15 | 15 | ||
| 16 | 16 | 16 | ||
| 17 | 17 | 17 | ||
| 18 | 18 | 18 | ||
| 19 | 19 | 19 | ||
| 20 | 20 | 20 |
Приложение 3
Анкета к методике Дюке
Дорогой друг!
Вам предлагается принять участие в социально-психологическом исследовании процессов общения в Вашем коллективе. Результаты исследования будут использованы для выработки рекомендаций по оптимальному комплектованию коллектива (бригады, смены, команды) с учетом психологической совместимости.
Попытайтесь вообразить себя стоящим (или сидящим) в центре круглой комнаты, предлагаемой на схеме. Через двери, расположенные по окружности, в комнату входят Ваши коллеги (на регистрационном листе они обозначены под теми же номерами, что и в прилагаемом списке). Отметьте на соответствующем радиусе регистрационной схемы точку, ближе которой Вы начнете чувствовать себя неудобно, стесненно от приближения данного человека.
Ваши персональные ответы не станут известны ни Вашим коллегам, ни Вашим руководителям. Мы гарантируем сохранение их в тайне. Предварительно заполните паспортную часть регистрационного листа: укажите дату, наименование организации, Вашу фамилию, имя, отчество и порядковый номер по списку.
Вы должны оценить каждого члена Вашей группы, исключая себя. Не допускайте пропусков. На вопросы отвечайте только самостоятельно. Не следует показывать свои листы другим и брать чужие. Помните, что каждый имеет право на свое личное мнение, какое бы оно ни было. Закончив работу, убедитесь, что Вы никого не пропустили. Затем сложите регистрационный лист вдвое и положите его на край стола. Когда к Вам подойдет эксперт, отдайте свой лист лично ему.
Благодарим Вас за участие в исследовании!
Приложение 4
Регистрационный лист к методике Дюке
Дата_ _____ Ф., И., О.______ Организация_______
Порядковый номер по списку_________

Приложение 5
Опросник к методике ОМО
Инструкция: опросник предназначен для оценки типичных способов Вашего отношения к людям. В сущности здесь нет правильных и неправильных ответов, правилен каждый правдивый ответ. Иногда люди стремятся отвечать на вопросы так, как, по их мнению, они должны были бы себя вести. Однако в этом случае нас интересует, как Вы ведете себя в действительности. Некоторые вопросы очень похожи друг на друга. Но все-таки они подразумевают разные вещи. Отвечайте, пожалуйста, на каждый вопрос отдельно, без оглядки на другие вопросы. Время ответа на вопросы не ограничено, но не размышляйте слишком долго над каким-либо вопросом.
Для каждого утверждения выберите ответ, который больше всего Вам подходит. Номер ответа напишите в регистрационном листе напротив порядкового номера вопроса. Будьте как можно более внимательны.
Варианты ответов:
1. Обычно.
2. Часто.
3. Иногда.
4. По случаю.
5. Редко.
6. Никогда.
1. Стремлюсь быть вместе со всеми.
2. Предоставляю другим решать о том, что необходимо будет сделать.
3. Становлюсь членом различных групп.
4. Стремлюсь иметь близкие отношения с остальными.
5. Когда предоставляется случай, я склонен стать членом интересных организаций.
6. Допускаю, чтобы другие оказывали сильное влияние на мою деятельность.
7. Стремлюсь влиться в неформальную общественную жизнь.
8. Стремлюсь иметь близкие и сердечные отношения с другими.
9. Стремлюсь задействовать других в своих планах.
10. Позволяю другим судить о том, что я делаю.
11. Стараюсь быть среди людей.
12. Стремлюсь устанавливать с другими близкие и сердечные отношения.
13. Имею склонность присоединяться к остальным всякий раз, когда де
лается что-то совместно.
14. Легко подчиняюсь другим.
15. Стараюсь избегать одиночества.
16. Стремлюсь принимать участие в совместных мероприятиях.
Для каждого из дальнейших утверждений выберите один из ответов, обозначающих количество людей, которые могут влиять на Вас или на которых Ваше поведение может распространяться.
Варианты ответов:
Относится к:
1. Большинству людей.
2. Многим людям.
3. Некоторым людям.
4. Нескольким людям.
5. Одному-двум человекам.
6. Никому.
17. Стремлюсь относится к другим приятельски.
18. Предоставляю другим решать, что необходимо будет сделать.
19. Мое личное отношение к окружающим холодное и безразличное.
20. Предоставляю другим, чтобы руководили ходом событий.
21. Стремлюсь иметь близкие отношения с другими.
22. Допускаю, чтобы другие оказывали сильное влияние на мою деятельность.
23. Стремлюсь приобрести близкие и сердечные отношения с другими.
24. Позволяю другим судить о том, что я делаю.
25. С другими веду себя холодно и безразлично.
26. Легко подчиняюсь другим.
27. Стремлюсь иметь близкие и сердечные отношения с другими.
Для каждого из дальнейших утверждений выберите один из ответов, обозначающий количество людей, которые могут влиять на вас или на которых Ваше поведение распространяется.
Варианты ответов:
Относится к:
1. Большинству людей.
2. Многим людям.
3. Некоторым людям.
4. Нескольким людям.
5. Одному-двум человекам.
6. Никому.
28. Люблю, когда другие приглашают меня участвовать в чем-нибудь.
29. Мне нравится, когда остальные люди относятся ко мне непосредственно и сердечно.
30. Стремлюсь оказывать сильное влияние на деятельность других.
31. Мне нравится, когда другие приглашают меня участвовать в своей
деятельности.
32. Мне нравится, когда другие относятся ко мне непосредственно.
33. В обществе других стремлюсь руководить ходом событий.
34. Мне нравится, когда другие подключают меня к своей деятельности.
35. Я люблю, когда другие ведут себя со мной холодно и сдержанно.
36. Стремлюсь, чтобы остальные поступали так, как я хочу.
37. Мне нравится, когда другие приглашают меня принять участие в их
дебатах (дискуссиях).
38- Я люблю, когда другие относятся ко мне по-приятельски.
39. Мне нравится, когда другие приглашают меня принять участие в их
деятельности.
40. Мне нравится, когда окружающие относятся ко мне сдержанно.
Для каждого из дальнейших утверждений выберите один из следующих ответов.
Варианты ответов:
1. Обычно.
2. Часто.
3. Иногда.
4. Случайно.
5. Редко.
6. Никогда.
41. В обществе стараюсь играть главенствующую роль.
42. Мне нравится, когда другие приглашают меня участвовать в чем-нибудь.
43. Мне нравится, когда другие относятся ко мне непосредственно.
44. Стремлюсь, чтобы другие делали то, что я хочу.
45. Мне нравится, когда другие приглашают меня участвовать в своей
деятельности.
46. Мне нравится, когда другие относятся ко мне холодно и сдержанно.
47. Стремлюсь сильно влиять на деятельность других.
48. Мне нравится, когда другие подключают меня к своей деятельности.
49. Мне нравится, когда остальные люди относятся ко мне непосредственно и сердечно.
50. В обществе стараюсь руководить ходом событий.
51. Мне нравится, когда другие приглашают меня принять участие в их
деятельности.
52. Мне нравится, когда ко мне относятся сдержанно.
53. Стараюсь, чтобы остальные делали то, что я хочу.
54. В обществе руковожу ходом событий.
Приложение 6
Регистрационный лист к методике ОМО
Дата_ _____ Ф., И., О.______ Организация_______
Порядковый номер по списку_________
| 1 | 2 | 3 | 4 | 5 | 6 | 7 | 8 | 9 |
| 10 | 11 | 12 | 13 | 14 | 15 | 16 | 17 | 18 |
| 19 | 20 | 21 | 22 | 23 | 24 | 25 | 26 | 27 |
| 28 | 29 | 30 | 31 | 32 | 33 | 34 | 35 | 36 |
| 37 | 38 | 39 | 40 | 41 | 42 | 43 | 44 | 45 |
| 46 | 47 | 48 | 49 | 50 | 51 | 52 | 53 | 54 |
Приложение 7
«Ключ» для обработки шкал ОМО
Слева приводятся пункты шкал, справа — номера правильных ответов. При совпадении ответа испытуемого с «ключом» он оценивается в 1 балл, при несовпадении — в 0 баллов.
| 1е | Cw | Ае | |||
| 1. | 1234 | 2. | 12345 | 4. | 12 |
| 3. | 12345 | 6. | 123 | 8. | 12 |
| 5. | 12345 | 10. | 123 | 12. | 1 |
| 7. | 123 | 14. | 123 | 17. | 123 |
| 9. | 123 | 18. | 1234 | 19. | 3456 |
| 11. | 12 | 20. | 1234 | 21. | 1 |
| 13. | 1 | 22. | 1234 | 23. | 1 |
| 15. | 1 | 24. | 12 | 25. | 3456 |
| 16. | 1 | 26. | 12 | 27. | 1 |
| Iw | Се | Aw | |||
| 28. | 12 | 30. | 1234 | 29. | 1 |
| 31. | 12 | 33. | 12345 | 32. | 12 |
| 34. | 12 | 36. | 123 | 35. | 56 |
| 37. | I | 41. | 12345 | 38. | 123 |
| 39. | 1 | 44. | 1234 | 40. | 56 |
| 42. | 123 | 47. | 12345 | 43. | 1 |
| 45. | 123 | 50. | 12 | 46. | 456 |
| 48. | 1234 | 53. | 1234 | 49. | 1 |
| 51. | 123 | 54. | 123 | 52. | 56 |
5) Методика выявления отношения к Другому
(А. А. Бодалев, Ю. В. Александрова)
В настоящее время очень широко обсуждаются проблемы интеграции психологии и этики. Не обсуждая здесь возможности существования данного теоретического подхода, рассмотрим один из вариантов его практического воплощения. В качестве категории, позволяющей осуществлять интеграцию двух наук, рассматривается категория отношения. Используя категорию отношения в качестве базовой, мы основываемся на одной из интереснейших, неоправданно мало разработанной в современных исследованиях концепции отношения В.Н. Мясищева. Он характеризовал исследование отношений как тот необходимый для психологии подход, в котором объединяется объективное с субъективным, внешнее с внутренним на основе системности и целостности личности как ансамбля отношений. В целом отношения являются своеобразной психологической проекцией ценностно-потребностной сферы человека, и различия в отношениях обнаруживаются в том, насколько их содержание и форма выражения соответствуют общечеловеческим ценностям, какие из отношений оказываются доминирующими как единство психологического и этического в феномене отношения.
Это и другие обстоятельства обусловливают возможность быстрого развития психодиагностики отношения человека к разным сторонам действительности, делают возможным комплексное изучение нравственно-психологического развития с применением средств и методов, накопленных в различных областях психологии. Экспериментальных методик исследования отношения к Другому как в зарубежной, так и в отечественной психологии разработано немного. Существующие методики можно разделить на две группы: диагностирующие глобальное отношение к Другому (Значимые отношения личности (А.О. Прохоров, Т.Н. Васильева), Соицально-перцептивный интуитивный тест. Шкала приемлемости, Four Pictures Test*, Kinetic-House-Tree-Person Drawings, Object Relations Technique, World Test и др.) и выявляющие частные отношения к другим людям:
1. Отношение к партнеру по браку. Например; Модификация теста выбора цвета A.M. Эткинда; Тест-опросник удовлетворенности браком;
Drawing-Family Techniques; Family-System-Test; Thematic Apperception
Test и др.
2. Отношение к собственным детям. Например: Анализ семейных взаимоотношений; Измерение родительских установок и реакций; Тест-
опросник родительского отношения и др.
* Большинство западных методик психометрически не адаптированы на российской выборке.
3. Отношение к сослуживцам. Например: Деловые ситуации; Исследование нормативных предпочтений в группе; Insight Test и др. Становится очевидной необходимость создания стандартизированных диагностических методик, нацеленных на оценку психологической структуры и нравственного содержания отношений. В качестве одной из таких методик нами предлагается проективный тест «Отношение к Другому», где была сделана попытка совместить практически этику и психологию.
Цели использования и область применения теста
Тест «Отношение к Другому» (ОД) предназначен для диагностики нравствен но-психологической структуры отношения человека к другим людям. Он позволяет выявить общую и частные психологические структуры отношения к Другому, определить специфику их нравственной сущности. Однако надо отметить, что ОД, как и вообще тесты, выявляет только самый верхний «слой» отношения. Истинное отношение к Другому, не прикрытое ролевой маской, может выявить только экстремальная ситуация.
Общее описание методики
Тест «Отношение к Другому» относится к классу интерпретативных проективных методик. Отличительной чертой данного теста является расширенное использование феномена тематической проекции, а именно у обследуемого вызывается проекция не только на невербальный стимул — картину, Но и на вербальный — диалог между персонажами.
Стимульный материал
Стимульным материалом теста являются 22 контурных рисунка, на которых представлены ситуации, символизирующие собой ту или иную нравственную сущность отношений*. Действующих персонажей, как правило, двое. При этом в левой стороне рисунка изображен персонаж, с которым обследуемый себя должен идентифицировать. Справа изображен персонаж, который создает изображенную ситуацию. Над персонажами изображены квадраты, в которых вписаны их слова. Для облегчения идентификации с персонажем специально упущены черты лица и другие выразительные характеристики изображенных на картинках людей, а также созданы два варианта теста: мужской и женский (Приложение 9), отличающиеся только полом персонажей.
Составляющие тест ситуации разработаны на основе пар нравственных качеств, важных во взаимоотношениях людей (табл. 10). Носителем нравственного качества выступает персонаж слева.
1 Представленные в тексте рисунки мужского варианта теста уменьшены в два раза.
Таблица 10
Описание нравственной сущности отношений к Другому, представленных в стимульном материале теста ОД
| № картинки | Нравственная сущность отношения (1 группа ситуаций) | № кар- тинки | Нравственная сущность отношения (2 группа ситуаций) | |
| 1 | Воля Активная, утверждаемая вовне вера. Принцип самодовлеющей силы. | 17 | Вера Пассивная, потенциальная, утверждаемая внутри воля. Непреклонная убежденность в необходимости и глубокой ценности исполняемой миссии. | |
| 2 | Двойственность Нахождение одновременно в двух несовместимых состояниях: 1) нравственной одухотворенности; 2) нравственной опустошенности. | 3 | Гармония Единение высших духовных ценностей в их полноценно постигаемых формах с низшими материальными качествами. | |
| 4 | Власть социальная Сила, используемая для сохранения существующего статуса-кво, выражается в виде авторитарного давления. | 13 | Власть духовная Связь Учителя и Ученика, основывающаяся на силе духа. | |
| 7 | Эгоизм Утверждение человека в себе самом. Поглощение познанием своего «Я». | 14 | Альтруизм Освобождение от навязчивой потребности жить только своим «Я». | |
| 9 | Гордыня Стремление быть самодовлеющей ценностью. «Странник, повернувшийся к миру спиной и свершающий собственный путь через пустыню». | 21 | Смирение Отрицание своей волевой природы. Великая задача доведена человеком до завершения, и он гармонично вливается в покой и мир ритма жизни. | |
| 10 | Косность Неспособность в быстро меняющейся ситуации понять предлагаемые возможности. | 20 | Творчество Способность видеть то, что выпало из гармонии, и привести это а гармонию. | |
| 12 | Месть Действие в отплату за причиненное зло. Неспособность простить вследствие слепоты ко всему, что не подходит к закрытой системе собственных концепций. | 6 | Прощение Конец борьбы между страстями и совестью в пользу совести вследствие сознания ограниченности отношений между людьми, так как гармония существует только внутри. | |
| 15 | Унижение Духовное насилие, которое искажает истину. Стремление к достижению своего максимального развития, не считаясь с другими. | 11 | Поддержка Сила моральная, сообщаемая верой в себя самого и невинностью. Знание, что препятствия есть только призрак. | |
| 16 | Отчаяние Состояние ужаса и беспомощности вследствие неспособности ставить перед собой и осуществлять далекие цели. | 5 | Мужество Присутствие духа в опасности. Испытание человека свободой действий в иллюзорно безвыходной ситуации. | |
| 18 | Тревога Душевный хаос. Пора переоценки всего. | 8 | Спокойствие Уравновешивающая реакция, восстанавливающая порядок; равновесие между правом и долгом. | |
| 22 | Равнодушие Отсутствие отношений вследствие душевной ограниченности. | 19 | Любовь Величайшее изменение всего существа человека, приводящее к освобождению всех энергий для творческого процесса построения отношений. | |
Приведенное разделение ситуаций не является абсолютным, так как они все так или иначе взаимосвязаны друг с другом. Поэтому испытуемый иногда может давать другую интерпретацию ситуаций.
Процедура тестирования
Исследование начинается с того, что испытуемый получает набор тестовых картинок. При предъявлении первой картинки ему выдается следующая
Инструкция:
I. В наборе имеется 22 картинки, на каждой из которых изображены один или два говорящих человека. То, что говорит первый человек, написано в квадрате справа. После знакомства с каждой картинкой Вам нужно ответить на ряд вопросов. Пишите на отдельном листе бумаги, выданной экспериментатором, первый ответ, пришедший Вам в голову, под номером, соответствующим картинке:
1.Что бы Вы сказали, оказавшись на месте человека, изображенного
на картинке слева?
2.Охарактеризуйте человека, изображенного слева (несколькими
словами).
3. Кем бы мог быть для Вас человек, изображенный на картинке слева:
I — самым близким человеком; 2 — другом; 3 — знакомым; 4 — врагом; 5 — незнакомцем.

II. После работы со всеми картинками расставьте их в такой последовательности: от карточек, на которых человек, изображенный слева, Вам наиболее приятен, до карточек, на которых он Вам наиболее неприятен.
В дополнение к основному тексту инструкции следует добавить, что в данном случае нет правильных или неправильных, хороших или плохих ответов, что любой ответ будет принят. Разъяснение ситуаций экспериментатором не допускается!
Ответы испытуемый фиксирует на бланке ответа. В случае отказа от ответа (например, на картинку № 12) испытуемому предлагается перейти к следующей картинке, а после ответа на все ситуации ему повторно предлагают ответить на пропущенную картинку. В случае повторного отказа эксперимент целесообразно прекратить.
Процедура тестирования занимает в среднем 40 минут. Краткость, односложность, стереотипность ответов могут свидетельствовать о небрежном отношении испытуемого к проводимому исследованию или же, напротив, могут служить показателем повышенной напряженности испытуемого.
Тест ОД может быть использован как для индивидуального обследования, так и в группе. Однако первый вариант предпочтительнее, поскольку позволяет получить более надежные результаты.
Обработка результатов
Характеристика оценочных категорий и факторов.
После того как испытуемый ответил на содержащиеся в тесте ситуации, полученные данные подвергаются специальной обработке. Первый ее этап предполагает оценку каждого ответа испытуемого по следующим пунктам:
1) психологическая структура отношения;
2) нравственная сущность отношения.

Психологическая структура отношения определяется на основе модели отношения, разработанной В. Н. Мясищевым, и соответственно включает в себя четыре компонента:
I. Потребность в Другом (П). По определению В. Н. Мясищева, это
«конативная тенденция овладения другим человеком». Он различает две
основные потребности: потребность в общении (По) и потребность в соместной деятельности (Пд).
II. Интерес к Другому (И). По определению сотрудника В.Н. Мясищева В.Г. Иванова, интерес - это «активное эмоционально-познавательное отношение к другому человеку». Мы различаем два вида интереса к
Другому: интерес к личностной сфере, т. е. к переживаниям, чувствам и
неповторимому своеобразию (Ил), и интерес к интеллектуальной сфере,
т. е. знаниям, умениям, опыту (Ии).
III. Эмоциональное отношение (Э), или эмоции, испытываемые одним человеком по отношению к другому. По описанию В.Н. Мясищева, у человека оно «проявляется в привязанности, любви, симпатии и их противоположностях — неприязни, вражде, антипатии». В рамках данной тестовой методики достаточно деление эмоций по знаку без учета модальности на две группы: положительные (Эп) и отрицательные (Эо) эмоции.
IV. Оценочное отношение (О). В. Н. Мясищев определяет его как «...процесс сопоставления действий и поступков с образцами». Несколько расширяя вышеприведенное определение, мы выделяем два вида оценочных отношений: оценка поступков (Он) и оценка качеств (Ок) другого человека.
V. Нравственная сущность отношения определяется уровнем идентификации с персонажем, изображенным на картинке. Всего, соответственно числу ситуаций, 22 типа нравственной сущности отношений (см. табл. 10).

Общие правила оценивания
Оценивание ответов является самым трудоемким этапом обработки. В общем виде схему оценивания можно представить следующим образом: как правило, на первом шаге определяют психологическую структуру отношения на основе анализа ответа на пункт 1 инструкции. В качестве примера рассмотрим три варианта ответа на ситуацию №1, в которой персонаж справа предлагает подождать еще немного (табл. 11).
Таблица 11
Примеры оценивания психологической структуры отношения
| Ф.И.О. возраст, пол | Ответ на ситуацию № 1 | Психологическая структура отношения | Примечания по оцениванию | |||||||
| Потребность | Интерес | Эмоциональные отношения | Оценочные отношения | |||||||
| По | Пд | Ил | Ии | Эп | Эо | Оп | Ок | |||
| Д.Е.М.. 31 г., ж | Давай подождем. Быть может, транспорт подвел | 0 | 1 | 1 | 0 | 1 | 0 | 0 | 0 | Желание представить Другого в положительном свете |
| 33 Л., ж | Идем Ждать больше не будем. Не люблю, когда опаздывают. | 0 | 0 | 0 | 0 | 0 | 1 | 1 | 0 | Отрицательно оценивается поступок |
| 35 п., ж | Очень холодно и сыро. Пошли скорее домой. | 0 | 0 | 0 | 0 | 0 | 0 | 0 | 0 | Другой даже не упоминается. |

На втором шаге в каждой ситуации оценивается нравственная сущность отношения на основе вычисления среднего индекса идентификации испытуемого с персонажем, изображенным на картинке. Средний индекс идентификации вычисляется по следующей формуле:

где:
Ф - результат экспертной оценки фразы, т. е. ответа на пункт 2 инструкции. Экспертная оценка фразы устанавливается в пределах трех уровней: 1 - низкий, 2 — средний и 3 — высокий уровень идентификации. Косвенную помощь в этом оказывает сравнение психологических структур отношений испытуемого с заданными в тексте;
X — результат экспертной оценки характеристики, т. е. ответа на пункт 2 инструкции. Оценка характеристики также устанавливается в пределах трех уровней: 1 — низкого, 2 — среднего и 3 — высокого. Основой оценки служит описание нравственной сущности отношений, представленных в стимульном материале (см. табл. 35);
Б — ответ испытуемого на пункт 3 инструкции, т. е. степень близости к идентифицируемому персонажу;
П — ответ испытуемого на пункт 2 инструкции, т. е. номер ситуации в последовательности от наиболее приятных до неприятных. Номера проставляются соответственно от первого до двадцать второго.
Как дополнительная процедура оценивания на втором шаге возможен качественный анализ отдельно каждого компонента формулы идентификации, а также подсчет НС отдельно для первой и второй групп ситуаций.
Обязательного качественного анализа требуют ситуации, в которых компоненты формулы идентификации противоречивы.
Показатели теста
Проективный тест «Отношение к Другому» имеет ряд специальных показателей, на основании которых производятся оценка и интерпретация данных: это профиль психологической структуры отношения к дру-

тому и профиль нравственной сущности отношений. Все они фиксируются в оценочном бланке.
Профиль психологической структуры отношения к Другому. Руководствуясь общими принципами оценивания и образцами оценок, ответы испытуемого кодируются на индивидуальном бланке. Результаты заносятся в таблицу, расположенную в верхней части оценочного бланка. Затем баллы по каждому столбцу суммируются. На основе суммарных значений компонентов психологической структуры отношения строится профиль.
Профиль нравственной сущности отношений строится на основе результатов вычисления НС, заносимых в таблицу оценочного бланка. Сначала строится профиль для первой группы ситуаций (см. табл. 10). Затем отдельно под первым профилем строится профиль для второй группы ситуаций. Нормальным является наличие осевой симметрии в рисунке двух профилей: высокие значения одного профиля сочетаются с низкими другого и наоборот.
Основные психометрические характеристики теста ОД
Как показали проведенные исследования, все показатели теста имеют распределения, близкие к нормальному. Средние, стандартные отклонения и интеркорреляции показателей, полученные на выборке из 100 испытуемых (35 мужчин и 65 женщин), средний возраст которых 29,6 лет, приведены в табл. 12.
Таблица 12
Первичные статистические характеристики и интеркорреляции показателей теста ОД
| Показатели | По | Hi | Ил | Ии | Эп | Эо | On | Ок | НС | НСо | НСп |
| Средние по шкалам | 5,4 | 5.6 | 5.5 | 5,6 | 5.5 | 5.5 | 5.5 | 5.5 | 0,5 | 0,38 | 0.61 |
| Стандартные отклонения | 2 | 2.7 | 2.0 | 2.0 | 1.9 | 2.0 | 1.9 | 2.0 | 0.5 | 0.7 | 0.7 |
| Потребность в общении | .41* | .45* | .41* | .02 | .05 | 21 | .33* | .04 | -.1 | 19 | |
| Потребность в совместной деятельности | .37* | .20 | .10 | .09 | .19 | ,11 | -,1 | -,3* | .20 | ||
| Интерес к личности | .48* | .43* | - ,1 | -.0 | -,0 | - ,1 | -,3* | -,3* | |||
| Интерес к интеллекту | .15 | -.0 | .13 | .29* | .19 | -.0 | .26* | ||||
| Положительные эмоциональные отношения | -.6* | .24 | .15 | -.2 | - 5 | .26* | |||||
| Отрицательные эмоциональные отношения | -.1 | 13 | .39* | .51* | -.0 | ||||||
| Оценка поступков | .62* | .03 | -,1 | ,08 | |||||||
| Оценка качеств | ,29* | .28* | .09 | ||||||||
| НС | .63* | .63* | |||||||||
| НС отрицательное | -,2 |
*р<0,05
Как видно из табл. 12, все пары показателей (По и Пд, Ил и Ии, и пр.) значимо коррелируют между собой. Также имеется корреляция между интересом к другому человеку и потребностью в нем, причем интерес к неповторимому личностному своеобразию связан с обоими потребностями: в совместной деятельности и в общении и с положительным эмоциональным отношением, а интерес к интеллектуальному уровню - только с потребностью в общении и с оценкой качеств Другого, которая в свою очередь связана с потребностью в общении. Это показывает взаимосвязь компонентов психологической структуры отношения.
Нравственная сущность отношений закономерно связана с их психологической структурой: уровень идентификации с отрицательными персонажами коррелирует с потребностью в совместной деятельности, интересом к личности, эмоциональным и оценочным отношением; с положительными — с интересом к Другому и только положительным эмоциональным отношением.
Надежность теста характеризуется внутренней согласованностью пунктов, входящих в одни и те же шкалы (табл. 13).
Таблица 13
Характеристики надежности и дискриминативности теста ОД
| "Показатели | По | Пд | Ил | Ии | Эп | Эо | Оп | Ок | НС |
| Надежность (внутренняя согласованность) | .54 | .62 | .69 | .50 | .72 | .69 | .52 | .49 | .77 |
| Дискриминативностъ | .92 | .86 | .93 | .84 | .89 | .93 | .91 | .86 | .82 |
Внутренняя согласованность вычислялась на выборке в 100 человек по формуле Спирмена— Брауна. Показатели теста обладают приемлемыми характеристиками надежности.
Дискримииативность теста определяется удовлетворительным распределением показателей (см. табл. 13). Для вычисления дискриминативности был использован основной показатель коэффициента дискриминативности — δ Фергюсона.
Копструктиая валидность основывается на мультивариативном анализе данных теста по сравнению с данными других личностных тестов. В табл. 14 приведены статистически достоверные связи показателей теста ОД со шкалами Миннесотского многоаспектного личностного опросника (MMPI), Айзенка личностного опросника (EPI), методикой исследования самоотношения (МИС), мотивация одобрения (SDS) и социологическими характеристиками.
Таблица 14
Корреляции показателей теста ОД со шкалами MMPI, EPI, SDS, МИС и социологическими характеристиками

Как и следовало ожидать, такие характеристики, как социальное одобрение (MMPI), мотивация одобрения (SDS) и открытость (МИС), отрицательно коррелируют с проявлением негативных эмоций и оценкой качеств Другого. Другие параметры теста свободны от действия установки на социально одобряемые ответы. Исследование корреляций показателей теста ОД с показателями MMPI показало следующее (см. табл. 14): психопатия и шизоидность отрицательно связаны с интересом кличности другого человека и положительным эмоциональным отношением; гипомания положительно коррелирует с негативными эмоциями, Важным показателем валидности является связь параметров теста ОД со шкалой отраженного самоотношения МИС.
Для исследования валидности был проведен анализ связи показателей теста ОД с различными социологическими характеристиками (см. табл. 14). Как и ожидалось, такие социологические характеристики, как воспитание детей, уменьшают полярность оценок Другого по типу «плохой—хороший», такое же влияние оказывает переживание расставания.
Общий показатель и показатель по положительным качествам нравственной сущности отношений не связаны с психологическими характеристиками. Показатель по отрицательным качествам положительно связан с психопатией, шизоидностью и гипоманией, отрицательно — с количеством детей, отраженным самоотношением и открытостью. Это отчасти указывает на этическую природу градации «нормы и патологии».
Таким образом, основные психометрические характеристики проективного теста ОД удовлетворяют требованиям, предъявляемым к психологическим тестам. Проективная методика ОД является адекватным диагностическим средством для определения психологической структуры и нравственной сущности отношения к Другому, потому что ее концепция базируется на опыте, накопленном многими авторами в течение 60 лет исследований в области изучения отношений; показатели обладают валид-ностью, надежностью и дискриминативностью, они в высокой степени независимы друг от друга; материал теста информативен, валиден и достоверен.
Приложение 8
Оценочный бланк теста «Отношение к Другому»
Ф.И.О._________________________________________
Возраст________________ Пол_____________________
| № | Оценка фразы | Характе- ристика | Близость | Последо- вательность | НС | Стратегия | ||||||||
| Потребность | Инте-рес | Эмо-ции | Оцен-ка | Экспертиза | ||||||||||
| По | Пд | Ил | Ии | Эп | Эо | Оп | Ок | |||||||
| 1 | Д | |||||||||||||
| 17 | У | |||||||||||||
| 2 | У | |||||||||||||
| 3 | О | |||||||||||||
| 4 | Д | |||||||||||||
| 13 | Д | |||||||||||||
| 7 | Д | |||||||||||||
| 14 | У | |||||||||||||
| 9 | О | |||||||||||||
| 21 | О | |||||||||||||
| 10 | Д | |||||||||||||
| 20 | У | |||||||||||||
| 12 | О | |||||||||||||
| 6 | О | |||||||||||||
| 15 | О | |||||||||||||
| 11 | У | |||||||||||||
| .16 | Д | |||||||||||||
| 5 | У | |||||||||||||
| 18 | О | |||||||||||||
| а | У | |||||||||||||
| 22 | - | |||||||||||||
| 19 | Д | |||||||||||||
| общ | ||||||||||||||
| 1-ые | ||||||||||||||
| 2-ые | ||||||||||||||
| стен |
Бланки для определения:
а) Профиля нравственной сущности отношений
1
| 0.8 | |||||||||||
| 0,6 | |||||||||||
| 0,4 | |||||||||||
| 0,2 | |||||||||||
| 0 | |||||||||||
| 17 | 3 | 13 | 14 | 21 | 20 | 6 | 11 | 5 | 8 | 19 |
б) Профиля психологической структуры отношения к другому 1
1
| 0.8 | |||||||||||
| 0,6 | |||||||||||
| 0,4 | |||||||||||
| 0,2 | |||||||||||
| 0 | |||||||||||
| 1 | 2 | 4 | 7 | 9 | 10 | 12 | 15 | 16 | 18 | 22 |
в) Тенденций стратегий нравственных изменений
| 9 | ||||||||
| 8 | ||||||||
| 7 | ||||||||
| 6 | ||||||||
| 5 | ||||||||
| 4 | ||||||||
| 3 | ||||||||
| 2 | ||||||||
| 1 | ||||||||
| 0 | ||||||||
| По | Пд | Йл | Ии | Эп | Эо | Оп | Ок |
| Стратегия ученичества | Стратегия деятельности | Стратегия одиночества | |
| НС =1-0.66 | |||
| НС=0.65-0.33 | |||
| НС=0.32-0 |
6) Методика шкальной оценки организации (частный семантический дифференциал)
Данный метод является разновидностью семантического дифференциала, построенного на базе оценок отдельных семантических классов. Метод семантического дифференциала принадлежит к методам экспериментальной психосемантики и является одним из методов построения семантических пространств. Данный метод получил широкое применение в исследованиях, связанных с изучением восприятия человека, с анализом установок и личностных смыслов. Построение частного семантического дифференциала позволяет проводить более тонкий семантический анализ, а сами факторные структуры отражают имплицитную семантическую теорию личности по поводу объекта, т. е. категоризацию.
Методика представляет собой опросный бланк, который содержит 30 биполярных семибалльных шкал. Содержание каждой шкалы задано двумя прилагательными-антонимами (подобранными на основе анализа литературы по психологии организаций), которые представляют характеристику организации.
Инструкция. Мы предлагаем Вам охарактеризовать понятие «наша организация» с помошью приведенных ниже полярных качеств. Для этого прочтите внимательно первую пару качеств и решите, какое из них лучше характеризует Вашу организацию. В том случае, если это качество в максимальной степени характеризует ее, обведите ближнюю к нему цифру «3», в средней — цифру «2», в меньшей — цифру «1». Если, по Вашему мнению, эта пара качеств вообще не характеризует Вашу организацию. обведите цифру «0». Аналогичную работу проведите по каждой из последующих пар. В каждой паре качеств должна быть отмечена только одна цифра.
| передовая | 3210 123 | отсталая |
| "Введение" - тут тоже много полезного для Вас. консервативная | 3210123 | прогрессивная |
| стабильная | 3210123 | меняющаяся |
























