Истечение жидкости через насадки
7.3. Истечение жидкости через насадки.
Насадками называются короткие трубки, монтируемые, как правило, с внешней стороны резервуара таким образом, чтобы внутренний канал насадка полностью соответствовал размеру отверстия в тонкой стенке. Наличие такой направляющей трубки приве
дет к увеличению расхода жидкости при прочих равных условиях. Причины увеличения следующие При
отрыве струи от острой кромки отверстия струя попадает в канал насадка, а поскольку струя испытывает сжатие, то стенок насадка она касается на расстоянии от 1,0 до 1,5 его диаметра. Воздух, который первоначально находится в передней части насадка, вследствие неполного заполнения его жидкостью постепенно выносится вместе с потоком жидкости. Таким образом, в этой области образуется «мёртвая зона», давление в которой ниже,
чем давление в окружающей среде (при истечении в атмосферу в «мёртвой зоне» образуется вакуум). За счёт этих факторов увеличивается перепад давления между резервуаром и областью за внешней его стенкой и в насадке генерируется так называемый эффект подсасывания жидкости из резервуара. Однако наличие самого насадка увеличивает гидравлическое сопротивление для струи жидкости, т.к. в самом насадке появляются потери напора по длине трубки. Если трубка имеет ограниченную длину, то влияние подсасывающего эффекта с лихвой компенсирует дополнительные потери напора по длине. Практически эти эффекты (подсасывание и дополнительные сопротивления по длине) компенсируются при соотношении: / = 55 d. По этой причине длина насадков ограничивается / = (3 -5)d . По месту расположения насадки принято делить на внешние и внутренние насадки. Когда насадок монтируется с внешней стороны резервуара (внешний насадок), то он оказывается более технологичным, что придаёт ему преимущество перед внутренними насадками. По форме исполнения насадки подразделяются на цилиндрические и конические, а по форме входа в насадок выделяют ещё коноидальные насадки, вход жидкости в которые выполнен по форме струи.
Внешний цилиндрический насадок. При истечении жидкости из цилиндрического насадка сечение выходящей струи и сечение отверстия одинаковы, а это значит, что коэффициент сжатия струи
= 1. Скорость истечения:

Приняв
, коэффициенты скорости и расхода:
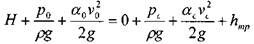
Для вычисления степени вакуума в «мёртвой зоне» запишем уравнение Бернулли для двух сечений относительно плоскости сравнения проходящей через ось насадка: А - А и С - С (ввиду малости поперечного размера насадка сечение С - С будем считать «горизонтальным»,^ плоским):

Рекомендуемые материалы
Величину
часто называют действующим напором, что соответствует
избыточному давлению. Приняв, а0 =ас =1 получим:

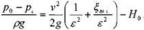
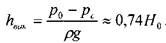
Учитывая, что для цилиндрического насадка
= 0,82, получим:

Для затопленного цилиндрического насадка все приведенные выше рассуждения остаются в силе, только за величину действующего напора принимается разность уровней свободных поверхностей жидкости между питающим резервуаром и приёмным резервуаром.
Если цилиндрический насадок расположен под некоторым углом к стенке резервуара
(под углом к вертикальной стенке резервуара или горизонтальный насадок к наклонной стенке резервуара), то коэффициент скорости и расхода можно вычис
лить, вводя соответствующую
поправку:
где:
Значения коэффициента расхода можно взять из следующей таблицы:
Если Вам понравилась эта лекция, то понравится и эта - 4 Структурные методы уменьшения времени.

Сходящиеся насадки. Если придать насадку форму конуса, сходящемуся по направлению к его выходному отверстию, то такой насадок будет относиться к группе сходящихся конических насадков. Такие насадки характеризуются углом конусности а. От величины этого угла зависят все характеристики насадков. Как коэффициент скорости, так и коэффициент расхода увеличиваются с увеличением угла конусности, при угле
»
конусности в 13° достигается максимальное значение ко-
эффициента расхода превышающее 0,94. При дальнейшем увеличении угла конусности насадок начинает работать как отверстие в тонкой стенке, при этом коэффициент скорости продолжает увеличиваться, а коэффициент расхода начинает убывать. Это объясняется тем, что уменьшаются потери на расширение струи после её сжатия. Область применения сходящихся насадков связана с теми случаями, когда необходимостью иметь большую выходную скорость струи жидкости при значительном напоре (сопла турбин, гидромониторы, брандспойты). - .-. . •
Расходящиеся насадки. Вакуум в сжатом сечении расходящихся насадков больше, чем у цилиндрических насадков и увеличивается с возрастанием угла конусности, что увеличивает расход жидкости. Но с увеличением угла конусности расходящихся насадков возрастает опасность отрыва струи от стенок насадков. Необходимо отметить, что потери энергии в расходящемся насадке больше, чем в насадках других типов. Область применения расходящихся насадков охватывает те случаи, где требуется большая пропускная способность при малых выходных скоростях жидкости (водоструйные насосы, эжекторы, гидроэлеваторы и др.)
Коноидальные насадки. В коноидальных насадках вход в насадки выполнен по профилю входящей струи. Это обеспечивает уменьшение
потерь напора до минимума. Так значение коэффициентов скорости и расхода в коноидальных цилиндрических насадков достигает 0,97 - 0,99.





















