Сила давления на криволинейную поверхность
2.7. Сила давления на криволинейную поверхность, погружённую в жидкость Выберем внутри покоящейся жидкости криволинейную поверхность ABCD, которая может быть частью поверхности некоторого тела погруженного в жидкость. Построим проекции этой поверхности на координатные плоскости. Тогда в координатной плоскости XOZ проекцией этой поверхности будет плоская поверхность
, в координатной
плоскости YOZ — плоская поверхность
и в плоскости свободной поверхности
жидкости (координатная плоскость ХОТ) - плоская поверхность
. На криволи-
нейной поверхности выделим малую площадку dS, проекции которой на координатные
плоскости будут соответственно
. Сила давления на криволинейную поверхность dP будет направлена по внутренней нормали к этой поверхности и может быть представлена в виде:
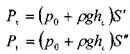
Горизонтальные составляющие могут быть определены, как силы давления
'
' - на проекции
малой площадки dS на соот-
ветствующие координатные плоскости:

Рекомендуемые материалы

Интегрируя эти уравнения, получим (как в случае с давлением на наклонную поверхность):

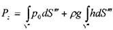
Вертикальная составляющая силы давления:
^
Второй интеграл в этом равенстве представляет собой объём образованный рассматриваемой криволинейной поверхностью ABCD и её проекцией на свободную поверхность жидкости
. Этот объём принято называть телом давления

Таким образом, горизонтальные составляющие силы давления на криволинейную поверхность равны давлениям на вертикальные проекции этой поверхности, а вертикальная составляющая равна весу тела давления, и силе внешнего давления на горизонтальную проекцию криволинейной поверхности.
Основные уравнения гидростатики широко используются на практике. Примероми могут служить простейшие гидравлические машины - гидравлический пресс, построенный по принципу сообщающихся сосудов и гидравлический аккумулятор.
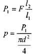
Гидравлический пресс состоит из двух цилиндров приводного (1) и рабочего (2) со-
единеных между собой трубопроводом и представляет систему сообщающихся сосудов. В приводном цилиндре перемещается плунжер малого диаметра d, в рабочем цилиндре находится поршень с большим диаметром D. Связь между плунжером и рабочим поршнем осуществ
ляется через рабочую жидкость, заполняющую гидравлическую систему (сообщающиеся сосуды). Усилие F через рычаг передаются рабочей жидкости.
Информация в лекции "Аппараты с открытой поверхностью испарения" поможет Вам.
Сила давления на жидкость под плунжером Р] передаёт жидкости давление р, которое, в свою очередь, передаётся во все точки рабочего поршня.

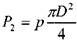
Тогда сила давления на поверхность рабочего поршеня будет равна'

Таким образом, с помощью гидравлического пресса, приложенная к концу рычага
^ сила, увеличивается в
раз.






















