Схема и описание ремоделирования кости
СХЕМА И ОПИСАНИЕ РЕМОДЕЛИРОВАНИЯ КОСТИ!
Внимание стоматолога в первую очередь обращено на состояние челюстной кости, особенно её альвеолярного отростка. Здесь происходят динамические изменения

Рис. 23. Процессы костного ремоделирования (по Bartl)
БИОХИМИЧЕСКИЕ МАРКЁРЫ МЕТАБОЛИЗМА КОСТНОЙ ТКАНИ
Биохимические маркеры дают информацию о патогенезе заболеваний скелета и о скорости ремоделирования. Они могут использоваться для контроля эффективности лечения в короткие сроки и идентифицировать больных с быстрой потерей костной массы. Биохимические маркеры измеряют усредненную скорость ремоделирования всего скелета, а не отдельных его областей. Различают биохимические маркеры формирования и резорбции кости, характеризующие функции остеобластов и остеокластов.
| Образование | Резорбция |
Рекомендуемые материалыВариант 6 - Сельское хозяйство Историческая ономастика FREE Бонистика FREE Фалеристика FREE Ономастика FREE Геральдика и хронология сыворотка: остеокальцин, общая и специфическая костная щелочная фосфатаза, проколлагеновые С- и N-пептиды | плазма: тартрат-резистентная кислая фосфатаза, пиридинолин и дезоксипиридинолин, продукты деградации коллагена I типа (N- и С-телопептиды); моча: пиридинолин и дезоксипиридинолин, продукты деградации коллагена I типа – N- и С-телопептиды, кальций и гидроксипролин натощак и гликозиды гидроксилизина |
В процессе разрушения костного матрикса коллаген I типа расщепляется, и его небольшие фрагменты поступают в кровяное русло. Пиридиновые сшивки, а также С- и N-телопептиды с поперечными сшивками выводятся с мочой. Скорость костной резорбции оценивается количественным анализом таких продуктов деградации коллагена I типа, как гидроксипролин, пиридинолиновые и дезоксипиридинолиновые поперечные сшивки и специфические пептидные фрагменты. Высокоспецифичными маркерами костной резорбции оказались телопептидные фрагменты коллагена I типа.
Факторы, влияющие на метаболизм костей (витамины и гормоны)
Доставка веществ в кость происходит по гаверсовым каналам и лакунам. Рост скелета задерживается в условиях любой недостаточности, в том числе и при недостаточной калорийности пищи. Однако, только при недостатке Са2+, фосфатов и витаминов (А, D, С) наблюдаются характерные поражения костей.
Аскорбиновая кислота. При её недостатке мезенхимальные клетки не вырабатывают нормальный коллаген, что приводит и к нарушению обызвествления.


(повторить синтез активных форм витамина D!!!!!!)
Витамин D оказывает на кость многоплановое влияние.
1) Повышает проницаемость эпителия кишечника для кальция и фосфора, стимулирует всасывание Са2+, повышает реабсорбцию кальция, фосфора, натрия, цитратов, аминокислот в проксимальных канальцах почек, поэтому недостаток витамина D проявляется в снижении поступления Са2+ в кровь. Отсюда недостаточное обызвествление кости и развитие рахита при дефиците витамина D.
2) Снижает синтез паратгормона, усиливает синтез щелочной фосфатазы (минерализация в эпифизах), коллагена, регулирует образование белковой стромы, рассасывание костной ткани в диафизах – нормализация минерализации;
3) кальцидиол, кальцитриол снижают пролиферацию, усиливают дифференцировку клеток.
Напротив, при избытке витамина D наблюдается усиленное рассасывание костей и увеличение концентрации Са2+ в сыворотке крови. Повышение Са2+ и Р в крови приводит к значительному их увеличению в моче и образованию камней в почках.
При отравлении витамином D активность гидроксилазы в почках ингибируется избытком субстрата, что препятствует синтезу активных форм витамина. Далее начинается рассасывание костной ткани. Усиление резорбции кости сопровождается подавлением процессов ее образования и торможением дифференцировки костных клеток в активные формы. Вследствие деминерализации костей повышается уровень кальция в крови и его выделение с мочой. Параллельно интенсивно всасывается кальций из кишечника → общая гиперкальциемия, повреждение клеточных мембран → нарушение функционирования разных органов. В результате деминерализации костей даже незначительные травмы вызывают множественные переломы.
Витамин А.
Биологически активные формы (ретиноевые кислоты) способны регулировать рост и дифференцировку клеток различных тканей организма. Действие ретиноевых кислот направлено и на остеобласты, и на остеокласты. Витамин А снижает продукцию остеобластами коллагена и увеличивает секрецию коллагеназы. Одновременно он стимулирует образование остеокластов и активирует остеокластическую резорбцию.
При недостатке витамина А нарушается рост скелета (остеосклероз), поскольку витамин участвует в синтезе гепарина, кислых мукополисахаридов хрящевой и костной тканей (связывание Са).


При избытке витамина А – у детей наблюдается деформация костей. Это объясняется деполимеризацией и гидролизом хондроитинсульфата, входящего в состав хряща. У взрослых – остеопения, переломы и потеря компонентов костного матрикса.
Паратгормон
Паратгормон – гормон паращитовидных желёз. Он повышает концентрацию Са2+ в крови благодаря действию на кишечник, кости и почки. Паратгормон ингибирует реабсорбцию Р в почечных канальцах, что приводит к понижению его концентрации в плазме и, как следствие, к дополнительной стимуляции рассасывания костей для пополнения недостаточных количеств этого иона в циркулирующей крови.
Метаболический эффект паратгормона опосредуется его действием на остеоциты, которые в свою очередь оказывают регуляторное влияние на структуру матрикса кости. Паратгормон активирует связанную с мембраной костных клеток аденилатциклазу и увеличивает поступление Са2+ в эти клетки. Увеличение внутриклеточной концентрации Са2+ в остеоцитах приводит к следующим основным эффектам:
1) Активации клеточных систем, участвующих в рассасывании кости;
2) Ускорению превращения клеток-предшественников в остеобласты и остеокласты;
3) Ингибированию синтеза коллагена остеобластами.
При повышении выработки ПТГ снижается Са-связывающая способность кости и может происходить эрозия даже хорошо кальцинированной кости (выход Са, обеднение матрикса кости коллагеном и протеогликаном).
Кальцитонин
Кальцитонин синтезируется в паращитовидных железах и частично в щитовидной железе.
Его влияние на концентрацию Са2+ в крови прямо противоположно действию паратгормона. Он стимулирует перенос Са и Р из крови в кости, ускоряет отложение кальция и ингибирует его выход из костей. Механизм антирезорбтивного действия кальцитонина заключается в прямом действии гормона на остеокласты, имеющие к нему большое количество рецепторов. Рецепторы кальцитонина связаны с G-белками, один тип которых активирует аденилатциклазу, другой – фосфолипазу С. Последующее увеличение концентрации внутриклеточного кальция вызывает открепление остеокластов и прекращение резорбции.
Первоначальный эффект кальцитонина заключается в активации кальциевого насоса и стимуляции выхода Са из кости, но одновременно гормон стимулирует и поглощение кальция митохондриями. В результате конечный эффект будет в снижении концентрации кальция в крови.
Половые гормоны (эстрогены и андрогены)
Половые гормоны имеют важное значение в обмене костной ткани. Основной эффект эстрогена (17b2-эстрадиола) на кость заключается в снижении скорости её резорбции. Это результат прямого влияния гормона на предшественники остеокластов и подавления остеокластогенеза. Зрелые остеокласты в отличие от предостеокластов не имеют рецепторов к эстрогенам, поэтому их действие опосредовано остеобластами, которые в ответ на половые гормоны снижают секрецию проостеолитических факторов. 17b2-эстрадиол, тестостерон, дигидрокситестостерон и андрогены ограничивают остеопороз, так как ингибируют синтез интерлейкина-6 остеобластами и стромальными клетками костного мозга.
Глюкокортикоиды
Глюкокортикоиды – жирорастворимые гормоны, поэтому легко проникают через клеточную мембрану, связываются с рецепторными белками (специфическими в разных тканях) и далее действуют по ядерно-цитоплазматическому механизму. Влияние глюкокортикоидов на метаболизм в разных тканях происходит по-разному, поскольку используются различные варианты воздействия на геном клетки.
В костях, соединительной ткани, скелетных мышцах, лимфоидной ткани Гормон-Рецепторный комплекс блокирует образование м-РНК для синтеза белков, и освобождающиеся аминокислоты поступают в печень для глюконеогенеза. Одновременно в этих тканях глюкокортикоиды активируют липолиз, продукты которого тоже используются для глюконеогенеза. Нарушения метаболизма костной ткани возникают вследствие ингибирования процессов синтеза коллагена и неколлагеновых белков кости, а также нарушения регуляторной роли фосфолипидов при минерализации кости.

Рис. Комплексное влияние глюкокортикоидов на метаболизм в разных тканях.
Тиреоидные гормоны
Тиреоидные гормоны – одни из основных системных регуляторов развития и перестройки кости. Действие обусловлено их влиянием на остеобласты, которые имеют к ним рецепторы. Показано существование другого механизма действия тиреоидных гормонов на остеобласты: Т3 повышает секрецию гипофизом гормона роста, который, в свою очередь, стимулирует продукцию печенью и другими органами инсулиноподобного фактора роста-1 (ИФР-1).
ИФР-1 модулирует функцию остеобластов, в том числе регуляцию ими остеокластогенеза. Последнее связано с увеличением (под влиянием тиреоидных гормонов) секреции остеобластами простагландинов, стимулирующих функции остеокластов.
Регуляция остеогенеза кости и плотных тканей зуба белками
В костной ткани, разновидностью которой являются дентин и цемент зуба, содержится до 1 % белков, регулирующих остеогенез. К ним относятся морфогены, митогены, факторы хемотаксиса и хемоаттракции.
Морфогены – это гликопротеины, выделяющиеся из разрушающейся костной ткани и действующие на полипотентные клетки, вызывая их дифференцировку в нужном направлении.
Важнейший из них – морфогенетический белок кости, состоящий из четырёх субъединиц с общей молекулярной массой 75,5 кDа. Остеогенез под влиянием этого белка протекает по энхондральному типу, т.е. сначала образуется хрящ, а затем из него кость. Этот протеин получен в чистом виде и применяется при плохой регенерации кости.
Выделен, но мало изучен фактор Тильманна с молекулярной массой 500-1000 кDа, который быстро вызывает интрамембранозный остеогенез (без образования хряща), но в малом объёме. По такому механизму развивается кость нижней челюсти. Из дентина получен морфогенетический фактор – белок, стимулирующий рост дентина. В эмали морфогены не обнаружены.
Митогены (чаще всего гликофосфопротеины) действуют на преддифференцированные клетки, сохранившие способность к делению, увеличивают их митотическую активность. В основе биохимического механизма действия лежит инициация репликации ДНК. Из кости выделено несколько таких факторов: костно-экстрагируемый фактор роста, фактор роста скелета. В дентине и эмали митогенов пока не обнаружено.
Факторы хемотаксиса и хемоаттракции – это гликопротеины, определяющие движение и прикрепление новообразованных структур под действием морфо- и митогенов. Наиболее известны из них: фибронектин, остеонектин и остеокальцин. За счёт фибронектина осуществляется взаимодействие между клетками и субстратами, этот белок способствует прикреплению ткани десны к челюсти. Остеонектин, являясь продуктом остеобластов, определяет миграцию преостеобластов и фиксацию апатитов на коллагене, то есть при его помощи происходит связывание минерального компонента с коллагеном. Остеокальцин – белок, маркирующий участки кости, которые должны подвергаться распаду (резорбции). Его присутствие в старом участке кости (к которому должен прикрепляться остеокласт для разрушения данного участка) способствует хемотаксису остеокластов в это место. Протеин содержит γ-карбоксиглутаминовую кислоту и является витамин-К-зависимым. Следовательно, остеокальцин принадлежит к группе так называемых glа-белков, являющихся инициаторами минерализации и создающих ядра кристаллизации. В эмали аналогичные функции выполняют амелогенины.
Морфогены, митогены, факторы хемотаксиса и хемоаттракции выполняют важную биологическую функцию, объединяя процесс деструкции и новообразования ткани. Разрушаясь, клетки выделяют их в среду, где эти факторы вызывают образование новых участков тканей, воздействуя на разные стадии дифференцировки клеток-предшественников.
Возможности регуляции белковых факторов.
Обнаружены соединения, называющиеся кейлонами, действие которых противоположно влиянию морфо- и митогенов. Они прочно связываются с морфо-, митогенами и препятствуют регенерации кости. В связи с этим возникает важная проблема разработки приёмов регуляции синтеза морфо-, митогенов, факторов хемотаксиса.
Известно, что синтез морфогенов кости стимулируется активными формами витамина D (кальцитриолами) и тирокальцитонином, а подавляется глюкокортикостероидами и половыми гормонами. Следовательно, снижение продукции половых гормонов в период климакса, а также применение глюкокортикостероидов уменьшают регенерационные возможности кости и способствуют развитию остеопороза. Осложнения хода процессов сращения (консолидации) переломов возможно в тех случаях, когда больному уже проводили курс лечения глюкокортикостероидами или анаболическими стероидами. Кроме того, длительное использование анаболических стероидов может спровоцировать перелом, так как активный рост массы мышц будет сопровождаться уменьшением прочности скелета. Также необходимо отметить, что скорость и полнота замещения дефекта кости при костной пластике определяется количеством морфогенов в подсаженной ткани. Поэтому, чем старше возраст донора, тем меньше вероятность успешного замещения дефекта. Кость, взятая у молодых доноров, будет замещаться плохо, если у них в ближайшем анамнезе было лечение глюкокортикостероидами или анаболическими гормонами. Эти моменты биохимической регуляции остеогенеза необходимо учитывать в практике дентальной имплантологии.
Влияние пирофосфата и бифосфонатов на резорбцию кости
Пирофосфат (пирофосфорная кислота) – метаболит, образующийся в ходе ферментативных реакций путём отщепления от АТФ. Далее его гидролизует пирофосфатаза, поэтому в крови и моче очень мало пирофосфата. Однако в костях пирофосфат (как представитель полифосфатов) связывается с кристаллами гидроксиапатита, ограничивая их излишне активный рост по типу эктопической кальцификации.
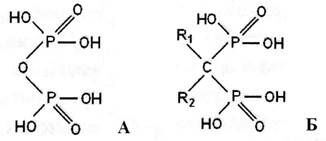
Бисфосфонаты имеют высокое структурное сходство с пирофосфатом (рис. 28), но их связь Р-С-Р очень стабильна и устойчива к расщеплению, в отличие от связи Р-О-Р в молекуле пирофосфата. Подобно пирофосфату, бифосфонаты имеют отрицательные заряды (переход -ОН → -О–) и легко связываются с ионами Са2+ на поверхности кристаллов гидроксиапатита.

Строение пирофосфата(А) и бифосфонатов(Б), используемых в лечении остеопороза
Сродство к кальцию усиливается присутствием групп -ОН на месте -R1. В результате останавливается не только рост кристаллов, но и их растворение, поэтому резорбция кости прекращается. Антирезорбтивные свойства бифосфонатов усиливаются за счёт влияния на остеокласты, особенно если на месте -R2 расположен ароматический гетероцикл, включающий 1-2 атома азота. Накапливаясь в кислой среде зоны резорбции кости, бифосфонаты проникают в остеокласт (основной механизм – эндоцитоз), встраиваются наподобие пирофосфата в ферменты, АТФ и препятствуют их нормальному функционированию, что приводит к нарушению метаболизма, энергетического обмена клетки, а затем к её гибели. Снижение количества остеокластов способствует уменьшению их резорбтивного влияния в отношении костной ткани. Разные заместители R1 и R2 инициируют появление ряда дополнительных побочных эффектов у бифосфонатов.
Характерные нарушения костей
На эти заболевания влияет длительная неподвижность, плохое питание, недостаточность витаминов С, Д и др., нарушение метаболизма витамина Д, дефект кишечных или других рецепторов к кальцитриолу, кальцитонину.
Частичное рассасывание кости может возникать вследствие нарушений в процессе минерализации костного матрикса (остеомаляция) или неправильного образования матрикса и снижения его обызвествления (остеопороз). Остеопороз часто возникает при недостатке витамина С, плохом питании, длительной неподвижности.
Остеопороз – дистрофия костной ткани. Это системное заболевание костей, включает потерю костной массы и нарушение костной микроархитектоники, приводит к увеличению хрупкости костей и повышенному риску переломов. Для него характерно уменьшение костных перекладин в единице объёма кости, истончение и полное рассасывание части этих элементов. При остеопорозе не происходит уменьшения размеров кости.
Вместе с этой лекцией читают "6. Компьютерные технологии статистической обработки".
Остеопороз может быть диффузным, равномерным. В этих случаях кость становится равномерно более проницаемой для рентгеновских лучей. Другая форма – пятнистый остеопороз. Для него характерно наличие очагов снижения плотности костной структуры, которые имеют различную форму, величину.
Сенильный остеопороз – начинается ≈ после 70 лет, характеризуется поражением губчатой и кортикальной костной ткани.
Вторичный остеопороз возникает при гиперкортицизме, гипертиреозе и других подобных заболеваниях, под влиянием проводимой глюкокортикоидной терапии, при длительной иммобилизации.
Остеомаляция – размягчение костей из-за нарушения органического костного матрикса:
1) снижение минерализации (вымывание минеральной фазы из кости)
2) синтез избыточных количеств остеоида при ремоделировании кости























