Часть 1
4. НУКЛЕИНОВЫЕ КИСЛОТЫ И НУКЛЕОТИДЫ
1. Определение
Нуклеиновые кислоты – это высокомолекулярные соединения, состоящие из пуриновых и пиримидиновых азотистых оснований, сахара пентозы (рибозы или дезоксирибозы) и фосфорной кислоты. Представляют собой биополимеры, состоящие из спирально-закрученных полинуклеотидных цепей.
Нуклеиновые кислоты представляют собой макромолекулы кислотного характера, содержащиеся в основном в ядре клетки, а также в цитоплазме.
2. Биологическая роль нуклеотидов
Заключается в следующем:
2.1 Входят в состав нуклеиновых кислот.
2.2 Входят в состав ряда ферментов (О – В).
Рекомендуемые материалы
2.3 Участвуют в аккумулировании и переносе энергии.
3. Типы нуклеиновых кислот
В живых организмах присутствует два типа нуклеиновых кислот:
3.1 Рибонуклеиновая кислота (РНК).
3.2 Дезоксирибонуклеиновая кислота (ДНК).
Их биологическая функция заключается в хранении и передаче наследственной генетической информации живых организмов – наследственных признаков, определяя вид, форму, химический состав и функции живой клетки и всего организма в целом.

РНК (при гидролизе образуют) ДНК
аденин аденин
гуанин гуанин
цитозин цитозин

урацил (специфические азотистые основания) тимин
рибоза дезоксирибоза
Н3РО4 Н3РО4
РНК представляет собой однонитчатую полинуклеотидную цепь, заспирализованную в определенных участках и имеющую определенную структуру в пространстве, которая удерживается водородными связями.
ДНК представляет собой двойную завитую полинуклеотидную спираль, в которой полинуклеотидные цепочки соединены между собой с помощью водородных связей между азотистыми основаниями. Сахарофосфатные нити расположены снаружи спирали, азотистые основания – внутри.
Осуществляя контроль синтеза белков в клетке, нуклеиновые кислоты, как и белки, необходимы для жизни.
4. Первичная структура нуклеиновых кислот
По химической структуре нуклеиновые кислоты состоят из цепочек нуклеотидов – чередующихся остатков пентозы – рибозы или дезоксирибозы, и фосфорной кислоты (фосфата) с азотистыми основаниями, присоединенными к углеводным фрагментам N-гликозидной связью:

… - фосфат – пентоза – фосфат – пентоза …

основание основание
Нуклеотид Нуклеотид
Соседние нуклеотиды связаны друг с другом посредством сложноэфирной связи между пентозой одного и фосфатной группой другого нуклеотида. Азотистые основания не участвуют в образовании никаких других ковалентных связей, кроме тех, которые связывают их с остатками моносахаридов сахарфосфатной цепи.
Соединение азотистого основания и пентозы (без остатка фосфорной кислоты) называют нуклеозидом, а нуклеиновые кислоты – соответственно полимерами нуклеозидмонофосфатов.
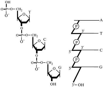
Мононуклеотиды связываются в полимеры – природные нуклеиновые кислоты – путем образования сложноэфирных связей между 3'-углеродным атомом пентозы одного мононуклеотида и 5'-углеродным атомом пентозы другого нуклеотида (рис. 1).
Различные нуклеиновые кислоты отличаются друг от друга числом мононуклеотидных остатков в молекуле (точнее, азотистых оснований, так как пептозофосфатные части у всех мономеров одинаковы).

Рис. 1. Схема фрагмента полимерной цепи нуклеиновой кислоты
Главные мононуклеотиды, входящие в состав ДНК и РНК, отличаются набором азотистых оснований (см. рис. 2).
Если Вам понравилась эта лекция, то понравится и эта - 1.4. Защита населения в районах.

Рис. 2. Структурные компоненты нуклеиновых кислот: азотистые
основания – пурины, пиримидины и сахара
Таким образом, в структуре РНК не встречается тимидин (Т), а в структуре ДНК – уридин (У).
Из четырех разных нуклеотидов может быть построено огромное количество вариантов нуклеиновых кислот.
Пуриновые основания образуют ряд продуктов. Среди них мочевая кислота (конечный продукт пуринового обмена у человека) и кофеин. Кофеин – метилированное производное пурина – содержится в кофе (до 1,5%) и в чайных листьях (до 5%). Пуриновые и пиримидиновые основания стимулируют рост растений и микроорганизмов.























