Определение генотипа пробанда
7. Определение генотипа пробанда.
При определении генотипа пробанда необходимо знать основные закономерности наследования генов и хромосом и помнить, что ребенок может иметь в своем генотипе только те гены, которые были у его родителей и которые он в ходе оплодотворения получил от них в составе половых клеток.
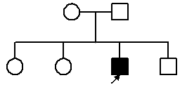
Определяя генотип пробанда, мы фактически решаем простейшую генетическую задачу на моногибридное скрещивание, где информация о признаках у тех или иных членов семьи представлена не в виде текста, а в виде графического изображения. Например, для фрагмента родословной, изображенного на рис. 4 и содержащего графические изображения членов семьи пробанда, такой текст будет иметь следующий вид: “Для изучаемого признака характерен рецессивный сцепленный с Х-хромосомой тип наследования. Мальчик имеет изучаемый признак, а у его родителей, двух старших сестер и младшего брата изучаемый признак отсутствует. Каков генотип мальчика?” Поэтому при определении генотипа пробанда необходимо придерживаться той последовательности действий, которую рекомендуют при решении типовых генетических задач.
Во избежание ошибки в определении генотипа пробанда мы рекомендуем определять не только генотип пробанда, но и генотипы всех членов родословной. В этом случае рекомендуется придерживаться следующей последовательности действий.
1. Рядом с графическим изображением родословной напишите название альтернативных признаков и обусловливающие их аллели, то есть изобразите видоизмененную таблицу “Признак - ген”.
2. Учитывая парность хромосом, парность аллелей изучаемого аутосомного гена и особенности расположения генов в половых хромосомах, запишите будущий генотип, используя точки для обозначения аллелей. Предварительная запись генотипа будет иметь следующий вид:
- для аутосомного наследования: . . ;
- для сцепленного с Х-хромосомой наследования: Х.Х. и Х.Y;
- для сцепленного с Y-хромосомой наследования: Х Х и Х Y..
Рекомендуемые материалы
2. Тем членам родословной, которые имеют изучаемый признак, поставьте вместо точки соответствующее обозначение аллеля гена – строчную или заглавную букву:
- для аутосомного и сцепленного с Х-хромосомой доминантного наследования: один аллель А;
- для аутосомно-рецессивного наследования: два аллеля а;
- для рецессивного сцепленного с Х-хромосомой наследования: ХаХа и ХаY;
- для сцепленного с Y-хромосомой наследования можно использовать любое изображение буквы.
3. Соответствующее обозначение аллеля гена поставьте вместо точки тем членам родословной, у которых изучаемый признак отсутствует:
- для аутосомно-доминантного наследования: два аллеля а;
- для аутосомного и сцепленного с Х-хромосомой рецессивного наследования: один аллель А;
- для доминантного сцепленного с Х-хромосомой наследования: ХаХа и ХаY;
- для сцепленного с Y-хромосомой наследования следует использовать изображение буквы, отличное от используемого для обозначения генотипа особи с изучаемым признаком.
4. Определите аллели в тех генотипах, которые нельзя определить по личному фенотипу особи, но можно определить по генотипу ее родителей или детей. При этом необходимо учитывать, что в генотипе особи могут быть только те аллели, которые были в генотипе его родителей. Например, если при аутосомно-рецессивном типе наследования женщина не имеет изучаемого признака, но этот признак был у ее отца, то генотип этой женщины будет содержать рецессивный аллель а и будет иметь вид Аа. Аллель А мы нашли по фенотипу женщины, а аллель а – по генотипу ее отца. Укажите стрелкой направление передачи найденного аллеля от родителя к ребенку.
В качестве примера рассмотрим последовательность рассуждений при определении генотипа пробанда в родословной, фрагмент которой имеет следующий вид:

Тип наследования признака – рецессивный сцепленный с Х-хромосомой.
Для обозначения гена, обусловливающего развитие изучаемого и альтернативного ему признака, возьмем одну букву алфавита, например, букву “А”. Если символ “А” будет обозначать название гена, то символ А будет обозначать доминантный аллель этого гена, а символ а – рецессивный аллель гена “А”. Поскольку по условию задачи изучаемый ген находится в Х-хромосоме, то аллели этого гена необходимо записывать с Х-хромосомой.
Учитывая вышесказанное, рядом с фрагментом родословной напишем названия альтернативных признаков с указанием обусловливающих их аллелей гена “А”.

Рядом с графическим изображением каждого члена родословной напишем его половые хромосомы, учитывая пол человека и ставя точку (.) на том месте, где в последующем будет написано обозначение аллеля гена. После этого фрагмент родословной приобретает следующий вид.

Поместим рецессивный аллель а в обозначение генотипа члена родословной, имеющего изучаемый признак. После этого фрагмент родословной приобретает следующий вид.
Информация в лекции "5.1 Преобразование координат в двумерной системе" поможет Вам.

Поместим доминантный аллель А в обозначение генотипов членов родословной, не имеющих изучаемый признак, после чего фрагмент родословной приобретает следующий вид.

Мать пробанда имеет в своем генотипе рецессивный аллель а, поскольку только она могла передать пробанду имеющийся в его Х-хромосоме рецессивный аллель а (от отца пробанд получил Y-хромосому). Нарисуем стрелку от генотипа матери пробанда к генотипу пробанда, обозначая таким образом направление передачи рецессивного аллеля а. Сестры пробанда могут иметь генотип ХАХА или ХАХа, так как аллель А они получили от отца вместе с его Х-хромосомой, а от матери могут получить или аллель А, или аллель а с той или иной ее Х-хромосомой. Напишем под генотипами сестер пробанда их возможные генотипы, после чего фрагмент родословной приобретает следующий вид.

Таким образом, мы нашли, что генотип пробанда – ХаY, и убедились, что действительно имеем дело с родословной, для которой характерен рецессивный сцепленный с Х-хромосомой тип наследования признака.





















