Виды доставок и технологические схемы перевозок
Тема 12. Виды доставок и технологические схемы перевозок
- Единый технологический процесс и методы решения транспортно-производственных задач
С позиций системного подхода транспорт представляет сложную адаптивную экономическую систему, состоящую из взаимосвязанных в едином процессе транспортного логистического обслуживания региональных материальных и людских потоков. Можно утверждать, что начиная с 1970-х годов происходит органическое срастание грузового транспорта с производством и процессом распределения, превращение его в звено единой системы "производство - транспорт-распределение - сбыт". Для обеспечения синхронизации работы транспорта и производства в хозяйственной деятельности компаний и фирм зачастую используется логистическая система "точно в срок".
Для доставки грузов точно в срок и с возможно меньшими затратами ресурсов должен быть разработан и осуществлен единый технологический процесс на основе интеграции производства, транспорта и потребления. Под единым технологическим процессом в данном случае понимается комплексная технология, в рамках которой на основе системного подхода осуществляется четкое взаимодействие всех элементов логистической системы. Создание качественно новой, устойчивой по отношению к возмущениям внешней среды производственно-транспортной системы связано с появлением целого ряда специфических проблем: изучение конъюнктуры рынка, прогнозирование спроса и производства, а следовательно, объема перевозок и мощности транспортной подсистемы, определение оптимальных величин заказов транспортных партий груза и уровней запасов сырья, топлива, материалов, комплектующих изделий, готовой продукции и транспортных средств. Естественно, свою специфику имеют проблемы транспортного обслуживания пассажиров.
Новый подход к транспорту как к составной части более крупной системы привел к целесообразности рассмотрения всего процесса перевозки: от грузоотправителя до грузополучателя, включая грузопереработку, упаковку, хранение, распаковку и информационные потоки, сопровождающие доставку. Это вызвало необходимость создания специальных логистических центров. Так, во Франции в 1980-е годы такие центры были созданы на железных дорогах, которые должны были осуществлять анализ грузопотоков и распределение их на сети. На основе данных анализа делались предложения: по оптимизации грузопотоков на сети железных дорог и взаимосвязи с другими видами транспорта, распределению перевозок по видам транспорта в соответствии с их специфическими особенностями, комплектации и формированию отправок, порядку заключения договоров и т.д. Цель - качественное и полное удовлетворение спроса клиентуры на перевозки.
Технологические процессы, протекающие в логистических цепях при доставке грузов потребителю, имеют свои особенности, зависящие от транспортной характеристики груза (физико-механические и физико-химические свойства груза, его объем и масса, вид тары и упаковки), количества груза (массовые грузы, мелкопартионные грузы, грузы в пакетах, контейнерах, на поддонах), вида транспорта и его провозной способности, характера производственных объектов и др.
Наиболее просто принципы логистики могут быть использованы при перевозке массовых грузов (каменного угля, железной руды, нефтепродуктов и т.д.) в условиях, когда сформировались стабильные и мощные грузопотоки (технологические маршруты) между отправителями и получателями. В Канаде и США для работы тяжеловесных поездов (отправительских маршрутов массой 10-25 тыс.т), доставляющих сырье и топливо потребителям, выделяются магистральные пути промышленного назначения. На таких линиях не строят дорогостоящие сигнализации и блокировки, загрузка и разгрузка составов поездов полностью автоматизированы. В России на ряде направлений составы с важнейшим железнодорожным сырьем - каменным углем - перевозятся по жесткому расписанию, что исключает создание у потребителей больших запасов сырья и топлива.
Примером применения технологических маршрутов является межотраслевая система "Ритм". Единая межотраслевая технология устойчивых перевозок рудно-угольного сырья объединяет график движения поездов, работу станций, предприятий отправителей и получателей грузов по организации движения на технологических маршрутах, включая подачу порожняка от станций выгрузки к станциям погрузки.
Основой организации работы по технологии "Ритм" является договор - соглашение о взаимных обязательствах между участвующими в ней организациями и железной дорогой. Единый хозяйственный договор определяет многосторонние взаимоотношения в организации перевозок, устанавливает строгую ответственность участников за выполнение условий перевозок. Внедрение единой межотраслевой технологии "Ритм" при условии строго соблюдения договоров позволило сократить размеры омертвленного капитала в запасах, снизить потребность в складских помещениях, высвободить материальные и трудовые ресурсы за счет ликвидации дополнительных перевалок грузов и повышения их сохранности. Например, только за одну выгрузку и погрузку кокса около 27% его становится непригодным для производства металла.
Значительно сложнее структура и функции логистической системы, когда распределяются товары широкой номенклатуры, предназначенные для удовлетворения потребностей десятков, а то и сотен потребителей. При доставке такой многономенклатурной продукции появляются дополнительные операции: контейнеризация, пакетизация, подгруппировка партий грузов, выбор видов транспорта и типа транспортных средств, сортировка грузов в пути следования и др. В отдельных случаях на направлениях значительных грузопотоков приходится создавать крупные распределительные складские базы и решать вопросы выбора рациональных зон обслуживания потребителей складскими распределительными центрами.
Рекомендуемые материалы
При решении таких задач весьма актуальны принципы распределения спроса и готовой продукции на основе оптимального управления материальными потоками, т.е. идет речь о решении стохастической производственно-транспортной задачи, так как среда, в которой функционирует логистическая система, характеризуется ярко выраженной турбулентностью и случайностью протекающих процессов. Для решения названной задачи эффективны не только классические методы математического программирования, но и эвристические. Классические - на основе использования алгоритма производственно-транспортной задачи в сетевой или аналитической формах, эвристические - с применением теории нечетких множеств (см. гл. 5).
Рассмотрим комплексное решение проблемы оптимизации процессов распределения транспорта и обслуживания потребителей и приведем математическую формулировку классической однопродуктовой (для простоты) производственно-транспортной задачи. Речь пойдет о создании сети складских систем на полигонах обслуживания, о рациональном распределении функций между распределительными складскими центрами и складами потребителей, а также об идентификации торговых зон на основе группировки потребителей и рационального прикрепления их к пунктам производства.
Рассмотрим общие принципы решения задачи распределения грузов на полигоне (рис. 2.2).
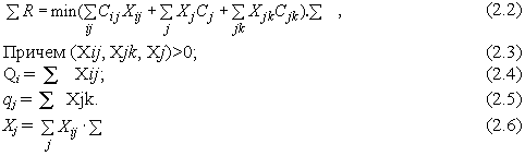
Математическая формулировка однопродуктовой производственно-транспортной задачи прикрепления производителей продукции к ее потребителям по торговым зонам с участием региональных распределительных складских центров (РСЦ) может быть представлена следующим образом. Пусть даны:
i = 1,…, n - пункты производства продукции;
j = 1,…, r - складские распределительные центры;
k = 1,…, m - потребители;
хij - грузопоток от i-го предприятия до j-го РСЦ;
хjk - грузопоток от j-го РСЦ до k-го потребителя;
хj - количество хранимого и перерабатываемого груза в РСЦ;
Сj - стоимость хранения и переработки единицы груза в региональном РСЦ;
Qi - количество продукции, поступающей на магистральный транспорт от i-го потребителя;
qj - потребность k-го получателя продукции;
Cij и Cjk - стоимости перемещения единицы продукции соответственно из пункта i в j-й РСЦ и из j-го РСЦ в k-й пункт потребления.

Рис. 2.2. Простейшая схема расположения пунктов производства (квадраты), складских распределительных центров (круги) и потребителей (треугольники).
Тогда задача распределения материальных потоков между производителями, РСЦ и потребителями формулируется следующим образом:

Задача состоит в том, чтобы найти такие Xij и Xjk, которые бы минимизировали целевую функцию (2.2) при соблюдении ограничений (2.3-2.6).
Целевая функция выражает суммарные затраты, связанные с транспортировкой и переработкой грузов в РСЦ. Ограничения (2.4) и (2.5) представляют собой условия баланса производства и потребления продукции. В эту модель при необходимости могут быть внесены ограничения по перерабатывающей способности технических средств Рj (в том числе по вместимости зоны хранения):

Кроме того, могут быть наложены ограничения по провозной способности магистрального транспорта на участках (i, j) и (j, k).
Если помимо распределения потоков необходимо оптимизировать число и размещение РСЦ на полигоне, то производственно-транспортная задача дополняется комбинаторной на основе применения метода направленного перебора вариантов.
В последние годы заметно выросли масштабы и сферы применения эвристических методов для решения различных задач в области проектирования, прогнозирования и управления. Эвристические методы в высшей степени полезны в условиях применения интерактивных систем, когда за человеком, принимающим решение, остается последнее слово по выработке. Особое место занимает теория нечетких (расплывчатых) множеств (ТНМ), которая является важным разделом современной теории принятия решений.
Элементы ТНМ могут успешно применяться для принятия решений в условиях неопределенности. Основатель ТНМ Л. Заде еще в 1965 г. предрекал широкое прикладное значение своей теории, написав по этому поводу следующее: "Фактически нечеткость может быть ключом к пониманию способности человека справляться с задачами, которые слишком сложны для решения на ЭВМ".
Рассмотрим основные элементы ТНМ. Пусть U - полное множество, охватывающее все объекты некоторого класса. Нечеткое подмножество F множества U, которое в дальнейшем будем называть нечетким множеством, определяется через функцию принадлежности mF(u)
ОU. Эта функция отображает элементы Ui множества U на множество вещественных чисел отрезка [0,1], которые указывают степень принадлежности каждого элемента нечеткому множеству F.
Если полное множество U состоит из конечного числа элементов ui, i = 1,..., n, то нечеткое множество F можно представить в следующем виде:

где символ "+" означает не сложение, а скорее объединение. Символ "/" показывает, что значение mF относится к элементу, следующему за ним (а не означает деление на mI).
В случае, если множество U является непрерывным, то F можно записать как интеграл:

Нечеткие множества широко применяются для формализации лингвистических знаний. Рассмотрим для примера множество процентных ставок, предоставляемых банками по вкладам. Каким образом можно выделить подмножество высоких процентных ставок? В условиях динамично изменяющейся среды не всегда возможно точно ответить на этот вопрос, однозначно выделив множество высоких ставок. При использовании аппарата ТНМ решить такую задачу можно даже при отсутствии полной количественной информации об окружении. Функция принадлежности для элементов нечеткого множества F1, соответствующих понятию "высокие процентные ставки" (рис. 2.3), будет иметь следующий вид:


Рис. 2.3. Функции принадлежности нечетких множеств, соответствующих понятиям высокие mF1 и низкие mF2 процентные ставки
Функция принадлежности к нечеткому множеству низких процентных ставок запишется следующим образом:

Операции над нечеткими множествами. Над нечеткими множествами, как и над обычными, можно выполнять математические операции. Рассмотрим важнейшие из них: отношение вложения, дополнение множества, объединение и пересечение множеств.
Отношение вложения записывается в следующем виде:

Операция дополнения может быть представлена следующим образом:

Операция объединения будет иметь следующий вид:

Операция пересечения вычисляется следующим образом:

Графически эти понятия изображены на рис. 2.4

Рис.2.4 Основные операции над нечеткими множествами: а - отношение вложения A М B; б - дополнительное нечеткое множество Ас; в - пересечение нечетких множеств A З B; г - объединение нечетких множеств A И B
Методы нечетких множеств применяют, как правило, в условиях ярко выраженной неопределенности, когда не представляется возможным использовать классические, в том числе вероятностные, модели для описания процессов и явлений. Имеется класс неопределенностей, которые характеризуются нечеткостью целей и ограничений. Такого рода неопределенности называются лингвистическими. В задачах управления или проектирования с помощью ТНМ, которые характеризуются лингвистическими переменными, такими, как "высокий", "низкий", "не очень высокий", "хорошо", "неудовлетворительно" и т.д., принимаемые решения во многом зависят от субъективных оценок. Поэтому принимающий решение должен иметь сведения о переменных (их свойствах, характеристиках), объективно оценивать стоимостную (в широком смысле) структуру этих переменных и уметь пользоваться решающими правилами. Тогда с помощью набора лингвистических переменных можно получить ответы с достаточной степенью достоверности. Решение при нечетких целях и ограничениях также представляет расплывчатое множество и может рассматриваться как нечетко сформулированная инструкция.
Итак, пусть Х - множество свойств, характеристик или альтернатив, характеризующих конкретный объект, тогда каждому такому объекту может быть поставлено в соответствие нечеткое множество А, которое, в свою очередь, является подмножеством множества Х. При этом для любого свойства х:
Х. Для количественной оценки вхождения х в А введем величину mА(Х), которую назовем степенью принадлежности. Она характеризует степень включения свойств х в А. Причем mА(Х) (0,1), т.е. mА(Х) изменяется в интервале 0-1, а поэтому верхний уровень mА(Х) = SupMA(X) = 1 или 0 <=mА(Х)<= 1.
Степень принадлежности позволяет при оценке альтернативных вариантов перейти от лингвистических переменных к числовым скалярным показателям и, следовательно, перевести эту, на первый взгляд, довольно абстрактную теорию на язык инженера.
В качестве примера применения ТНМ в сфере материально-технического снабжения рассмотрим вариант, когда на некотором полигоне распределения товаров размещаются два распределительных складских центра. Задача состоит в том, чтобы приблизительно установить географические тяготения к их обслуживанию. Критерием при выборе предпочтения отправителями или получателями того или иного складского центра является доступность, обусловленная "пространственным фактором" (расстояние, время, стоимость). Необходимо установить границы нечетких подмножеств А1 и А2 (при двух РСЦ), которые выражают потребительские пространственные или временные предпочтения отправителей и получателей. Предпочтения выражаются функциями, вид которых экспертами выбирается на основании здравого смысла.
Пусть в итоге изучения физической природы процесса распределения товаров по торговым зонам экспертами получена некоторая функция, удовлетворительно описывающая процесс принятия решения. В рассматриваемом случае будет естественным утверждение, что с удалением получателей от складских центров, которые выражаются координатами Х1 и Х2, степень принадлежности уменьшается и предпочтения получателей по отношению к этим центрам падают. На рис. 2.5 представлены зависимости mА1(х) и mА2(х). Как видно из этих графиков, предпочтение, равное максимальной степени принадлежности, достигает SupmA(X=1) в непосредственной близости от РСЦ, когда х = Х1 и х = Х2. Из рис. 2.4 также следует, что наивысшая степень разделения зон обслуживания грузовыми станциями в рассматриваемом случае Imax = 1 - SupmA1 A2(х), а порог разделения I0 должен удовлетворять условию:

Знак обозначает пересечение множеств А1 и А2, а запись SupmA1 A2(х) соответствует максимуму ординаты их пересечения в точке Х0. Как видно на рис 2.5, максимальная степень разделения и порог разделения достигается в точке Х0, которая и определяет границы торговых зон тяготения к региональным центрам.

Рис. 2.5. Зависимость функции принадлежности от предпочтения
Наиболее распространены две формы снабжения потребителей: транзитная и с участием перегрузочных складов и региональных баз посредника. В настоящее время точка зрения зарубежных специалистов в области логистики по вопросу участия складских систем в процессе распределения продукции сводится к тому, что доставка грузов точно в срок в отдельных случаях может свести до минимума необходимость создания запасов на направлениях материальных потоков. Хотя для потребителей с небольшими размерами поступления грузов складская форма снабжения остается наиболее предпочтительной.
В случае, когда сервис осуществляется специальными посредническими центрами (крупными транспортно-экспедицион-ными организациями и РСЦ), то появляется проблема идентификации торговых клиентов - зон обслуживания. Для решения такой задачи необходимо провести группировку потребителей по характеру и объему услуг с учетом географического фактора. Опираясь на критерий минимума радиуса обслуживания и величины затрат, а также на требование доставки грузов точно в срок, можно успешно решить задачу оптимизации размеров торговых зон.
2. Виды доставок и технологические схемы перевозки
Транспортная логистика базируется на концепции интеграции транспорта, снабжения, производства и сбыта, на отыскании оптимальных решений в целом по всему процессу движения материального потока в сфере обращения и производства с помощью критерия минимума затрат на транспортировку, снабжение, сбыт, производство.
В современных условиях предприятия транспорта должны пересмотреть характер своей коммерческой и производственной деятельности, направив ее на анализ, изучение и удовлетворение запросов потребителей. Транспорт представляет собой вид деятельности, производный от двух составляющих: поставщика (совокупности продавцов) и получателя (совокупности покупателей). Очевидно, что сбыт товара может считаться свершимся фактом лишь тогда, когда конечный потребитель получит товар. Стабильное положение любого предприятия в условиях рынка определяется не только низкими производственными издержками, но и возможностью обеспечить сбыт произведенного товара. Предприятию, фирме, компании, концерну при реализации распределения готовой продукции приходится решать вопросы, связанные с доставкой, т.е. выбирать вид транспорта, методы организации перевозок, тип транспортных средств и т.д. Новые экономические условия, формирование рынка транспортных услуг, появление и усиление конкуренции между предприятиями транспорта предполагают активное изучение опыта функционирования транспорта с определением его роли и места в системе "снабжение - производство - сбыт".
Одной из причин низкой конкурентоспособности продукции, произведенной в России, являются затраты на транспортно-экспеди-ционное обеспечение распределения, величина которых в 2-3 раза превышает уровень развитых стран. Объяснение лежит в наличии недостатков как в работе транспорта, так и в управлении запасами; повышению эффективности доставки и в настоящее время уделяется недостаточное внимание. Под доставкой следует понимать помимо собственно перевозки выполнение целого ряда работ и услуг, которые в комплексе обеспечивают эффективное распределение товаров. По данным проведенных в США исследований стоимость транспортной доли процесса производства и распределения продукции составляет одну треть конечного продукта. Поэтому надлежащее транспортное обеспечение распределения товаров является одним из важных резервов экономии ресурсов.
Доставка продукции распадается на ряд последовательных отдельных этапов, не связанных между собой, и может выполняться разными перевозчиками. Поэтому оптимизация такой пространственно-временной цепи представляет собой весьма сложную задачу. Функции транспорта в системе распределения товаров заключаются в ее транспортном и экспедиционном обеспечении.
Транспортно-экспедиционное обеспечение распределения товаров включает:
- деятельность по планированию, организации и выполнению доставки продукции от мест ее производства до мест потребления и дополнительных услуг по подготовке партий отправок к перевозке;
- оформление необходимых перевозочных документов;
- заключение договора на перевозку с транспортными предприятиями;
- расчет за перевозку грузов;
- организацию и проведение погрузочно-разрузочных работ;
- хранение (расфасовку, упаковку, складирование);
- укрупнение мелких и разукрупнение крупных отправок;
- информационное обеспечение;
- страхование, финансовые и таможенные услуги и т.д. с использованием оптимальных способов и методов при условии полного удовлетворения потребностей производственных и торговых предприятий в эффективном распределении товаров.
Транспортное обеспечение определяется как деятельность, связанная с процессом перемещения грузов и пассажиров в пространстве и во времени с предоставлением перевозочных, погрузочно-разгрузочных услуг и услуг хранения.
Экспедиционное обеспечение является составной частью процесса движения товара от производителя к потребителю и включает выполнение дополнительных работ и операций, без которых перевозочный процесс не может быть начат в пункте отправления, продолжен и завершен в пункте назначения (экспедиционные, коммерческо-правовые и информационно-консультационные услуги).
По числу видов транспорта, участвующих в доставке товаров и пассажиров, системы доставки делятся на одновидовую (юнимодальную) и многовидовую (мультимодальную и интермодальную). На рис. 2.6 представлена иерархическая пирамида (структура) технологии и организации перевозок. В вершине этой пирамиды находятся интермодальные перевозки, ниже - мультимодальные и юнимодальные межрегиональные перевозки, далее - внутриобластные и городские перевозки специализированными транспортными предприятиями и, наконец, местные перевозки отдельными предпринимателями и собственным транспортом производственных и коммерческих структур.
2. Транспорт как вид деятельности.
Факторы размещения.
Факторы, определяющие развитие и размещение транспортной системы.
1. Капитальные вложения, направляемые на развитие транспорта.
2. Размещение отраслей промышленности и сельского хозяйства.
3. Плотность размещения отдельных видов транспорта по территории страны.
4. Развитие межотраслевых и межтерриториальных связей.
5. Базовое состояние отрасли.
6. Развитие внешней торговли.
7. Обеспеченность высококвалифицированными кадрами.
8. Подвижность населения.
9. Размещение городов, курортов и административных центров.
10. Экологический
11. Уровень развития производительных сил и в том числе по регионам.
12. Природно-географическая среда.
13. Научно-технический прогресс.
Вот те основные факторы, способствующие развитию и размещению транспорта в целом, а так как автомобильный транспорт является неотъемлемой частью единой транспортной системы России, то эти факторы справедливы и к автотранспорту. Я считаю нужным обосновать их и применить к ним различные примеры. Начнем с первого фактора: капитальные вложения, направленные на развитие транспорта. Безусловно, капитальные вложения играют первостепенную роль в развитии транспорта, и не только транспорта, но и в развитии других отраслей экономики. Ведь сегодня Российский автопарк находится в таком положении, что не может в полной мере обеспечить себя средствами производства, поэтому для него особенно важны капитальные вложения.
Размещение отраслей промышленности и сельского хозяйства. По карте автомобильного транспорта[1] можно заметить, что автотранспорт развит в основном в европейской части страны. Я думаю, это связанно с тем, что большинство промышленных, перерабатывающих предприятий находится именно в европейской части страны, а восточная часть это что-то в роде «сырьевого придатка» и поэтому там преобладает такой транспорт, которым удобнее и дешевле перевозить сырье: железнодорожный и речной. А как нам известно, автомобильным менее всего удобно и дешевле перевозить сырье, на такой огромной части как Восточная Сибирь, поэтому там так мало автодорог. Из этого следует вывод, что размещение промышленности играет огромную роль на расположение автотранспорта и транспорта в целом.
Развитие межотраслевых и межтерриториальных отношений.
Россия это территориально большое государство с развитой промышленностью и сельским хозяйством, которые расположены в разных частях страны. С помощь транспорта эти отрасли превращаются в единый промышленный комплекс России. И транспорт важная составляющая. При развитии промышленности и сельского увеличиваются грузопотоки, следовательно развивается транспорт: увеличивается транспортный парк, так как для увеличения перевозок требуется увеличение транспортных средств, если увеличивают количество транспортных средств, модернизируют дороги, делая их более грузопроводными.
Обеспеченность высококвалифицированными трудовыми кадрами. Этот фактор влияет и на размещение так и на развитие. О нем я расскажу далее.
Подвижность населения влияет на размещение и развитие пассажирского транспорта. С учетом этого фактора пассажирский транспорт размещается около источников спроса ( в городах, селах, районных центрах и т.д. ). Чем выше подвижность населения тем быстрее развивается пассажирский транспорт.
Значительное положение в развитии автотранспорта играет научно технический прогресс. С его помощью создается более совершенный подвижной состав, с его помощью можно уменьшить влияние автотранспорта на окружающую среду, увеличить скорость передвижения грузов, пассажиров и вообще все то, что мы сегодня имеем это результат научно-технического прогресса.
Развитие автотранспорта будет определять стиль и содержание жизни людей, подобно тому, как быт современного человека немыслим, например, без электронной аппаратуры.
Автотранспорт и автодороги имеют свою нишу деятельности – местные перевозки. Это как бы стартовая позиция, но, как показывает мировой опыт, автотранспорт и автодороги имеют совершенно исключительные потенции для расширения этой ниши и выхода в магистральную сферу. Для этого нужны более совершенные дороги и соответствующий подвижной состав. При скорости 100-120 кмч современные грузовики и магистральные автобусы способны эффективно выполнять функции железной дороги по перевозке грузов и пассажиров на расстояния, по крайней мере, до 2-3 тыс.км( хотя сейчас имеются прецеденты провоза товаров на автомобилях по стране на расстояния до 5 тыс.км) . Существенная экономия времени компенсирует большие денежные затраты. Ясно, что предстоит конкурентная борьба с железной дорогой за перевозки на средние и дальние расстояния, в которой автотранспорт может выиграть, если существенно не повысится скорость движения поездов.
3. Интермодальные, мультимодальные, юнимодальные перевозки.

Рис. 2.6. Иерархическая структура перевозок
Интермодальные перевозки - это система доставки грузов в международном сообщении несколькими видами транспорта по единому перевозочному документу и передачи грузов в пунктах перевалки с одного вида транспорта на другой без участия грузовладельца в единой грузовой единице (или транспортном средстве).
Системообразующим элементом выступает интермодальная грузовая единица, которая допускает таможенное пломбирование в ней груза согласно международным требованиям, исключающее доступ к грузу без срыва пломбы. Основой современных интермодальных перевозок грузов являются контейнеры международного стандарта ISO. Однако могут использоваться и другие грузовые единицы, но отвечающие следующим требованиям: позволяют применять комплексную механизацию перегрузочных работ в портах и пунктах перевалки; отвечают международным или региональным стандартам. К ним можно отнести контрейлеры, трейлеры, сменные кузова, пакеты и блок-пакеты груза.
Мультимодальные перевозки - это прямые смешанные перевозки по меньшей мере двумя различными видами транспорта и, как правило, внутри страны.
Юнимодальные перевозки - прямые перевозки только каким-либо одним видом транспорта.
При интермодальных и мультимодальных перевозках договор на перевозку с грузоотправителем от имени перевозчиков, принимающих участие в их осуществлении, заключает первый перевозчик (оператор). Сроки доставки груза исчисляются по совокупности срока доставки его каждым перевозчиком. Каждый перевозчик несет ответственность за груз (пассажира) с момента принятия его к перевозке (посадку пассажира) до момента сдачи (высадки пассажира).
Каждые из приведенных видов перевозок обладают специфическими особенностями в технологии, организации и управлении, но они имеют общую технологическую основу в виде конкретных технологических схем доставки (будь то грузы или пассажиры) (рис. 2.7 и 2.8).
По количеству видов транспорта, участвующих в доставке товаров, транспортные системы делятся на одновидовые (юнимодальные) и многовидовые (мультимодальные или интермодальные).
Одновидовая система, несмотря на внешнюю простоту и широкое распространение, усложняется за счет эксплуатации автомобилей и автопоездов различной грузоподъемности на этапах подсбора грузов, формирования укрупненных отправок, особенно в условиях терминальной системы. Это требует применения таких современных транспортных технологий, как система тяговых плеч, мини-терминальные системы и т.д.
Примером юнимодальной системы является, например, доставка дизельного топлива в рамках одного города или области или офисный переезд.
Интермодальная система является более сложным - особенно в международном сообщении - вариантом с точки зрения решения коммерческо-правовых, финансово-экономических, организационно-технических аспектов доставки и вопросов развития транспортной инфраструктуры.
Под интермодальной понимается система доставки грузов несколькими видами транспорта по единому перевозочному документу с их перегрузкой в пунктах перевалки с одного вида транспорта на другой без участия грузовладельца.
Договор грузовой перевозки с грузоотправителем от имени перевозчиков, принимающих участие в ее осуществлении, заключает первый перевозчик (оператор). Договор считается заключенным с момента приемки груза к грузовой перевозке, удостоверенной подписями отправителя и транспортной организации и календарным штемпелем последней. Сроки доставки груза исчисляются по совокупности срока его доставки каждым перевозчиком в соответствии с правилами, действующими на каждом виде транспорта. Каждый перевозчик несет ответственность за груз с момента принятия его от отправителя или другого перевозчика до момента передачи его смежному виду транспорта или выдачи грузополучателю.
Примером интермодальной системы являются транзитные грузовые перевозки товаров международной торговли в крупнотоннажных контейнерах по Транссибирской магистрали. Сущность этой логистической интермодальной транспортной системы заключается в единстве всех звеньев логистической транспортно-технологической цепи, обеспечивающей доставку грузов во все концы земного шара с использова-нием сквозного тарифа по единому перевозочному документу под управлением единого оператора.
Основные принципы функционирования интермодальной систе-мы заключаются в следующем:
• единообразный коммерческо-правовой режим;
• комплексное решение финансово-экономических аспектов функционирования системы;
• использование систем электронного обмена данными, обеспечивающих слежение за передвижением груза, передачу информации и связь;
• единство всех звеньев транспортной цепи в организационно-технологическом аспекте, единая форма взаимодействия и координация всех звеньев транспортной цепи, обеспечивающих это единство;
• кооперация всех участников транспортной системы;
• комплексное развитие транспортной инфраструктуры различных видов транспорта.
Принцип единообразия коммерческо-правового режима предусматривает:
• совершенствование правил перевозок грузов (в частности, контейнеров) в международном сообщении на всех видах транспорта с целью их взаимной увязки в соответствии с выбранными критериями эффективности логистической транспортной системы;
• упрощение таможенных процедур;
• разработку и внедрение новых унифицированных перевозочных документов для внутреннего транспорта (транспорта общей интермодальной цепи, но функционирующего только на территории своей страны), учитывающих рбщий критерий логистической транспортной системы;
• использование стандартных коммерческих и перевозочных документов международного образца для работы на внешнем транспортном рынке.
Принцип комплексного решения финансово-экономических аспектов функционирования интермодальной системы предусматривает:
• установление унифицированных тарифных правил грузовой перевозки транзитных грузов и грузов внешней торговли в международном сообщении;
• разработку метода обоснованного распределения сквозного фрахта в СКВ между всеми звеньями логистической транспортной цепи;
• разработку механизма финансовой ответственности за нарушение качества услуг для каждого звена логистической транспортной цепи.
Необходимым условием функционирования интермодальной системы является наличие информационной системы, с помощью которой осуществляется исполнение заказа (договора грузоперевозки), т.е. планирование, управление и контроль всего процесса доставки груза благодаря опережающей, сопровождающей и заканчивающей процесс доставки информации.
В настоящее время в мировой практике широко применяются различные системы электронного обмена данными, степень использования которых определяет уровень конкурентоспособности различных логистических транспортных систем на мировом рынке транспортных услуг. Принцип внедрения новых форм взаимодействия всех звеньев транспортной цепи особенно важен для функционирования интермодальной транспортной системы, поскольку эффективность такой системы существенно зависит от ее организации. Гарантом и организатором взаимодействия всех звеньев транспортной цепи в системе является оператор международной интермодальной доставки грузов.
Наличие оператора определяет схему взаимодействия всех звеньев транспортной цепи в коммерческо-правовом, организационно-технологическом и финансово-экономическом аспектах, а также ряд отличительных признаков, относящихся к коммерческо-правовому аспекту функционирования интермодальной транспортной системы, в числе которых:
• единый транспортный документ международного образца;
• доставка "от двери до двери" либо в других границах, предусмотренных единым транспортным документом;
• единая ответственность за исполнение договора и сохранность груза;
• единая сквозная ставка фрахта.
Схему взаимодействия всех звеньев транспортной цепи интермодальной транспортной системы можно назвать последовательно централизованной, а при смешанных раздельных грузоперевозках - последовательной.
В интермодальной системе благодаря эмерджентному эффекту результат деятельности системы оказывается выше, чем сумма отдельных частных результатов.
Одним из принципов эффективного взаимодействия всех звеньев транспортной цепи является готовность партнеров к кооперации на основе понимания своей роли в логистической транспортной системе. Возможность применения передовой технологии грузоперевозочного процесса обусловлена уровнем развития транспортной инфраструктуры, которую можно разделить на два основных элемента - терминалы и транспортные пути.
При смешанных раздельных грузоперевозках, как правило, наибольшее внимание уделяется развитию инфраструктуры перевозчиков. В логистической транспортной системе первостепенное внимание отводится терминалам, поскольку эффективность такой системы и сама возможность ее функционирования (из-за различной мощности грузопотоков и скорости доставки) зависит от наличия места в транспортной системе и функций терминалов, обеспечивающих обработку материальных потоков. Комплексное развитие транспортной инфраструктуры базируется на стандартизации комплектов грузов (таре), транспортных средств, погрузочно-разгрузочных машин и механизмов.
Интермодальные технологии организации смешанных перевозок грузов по международным транспортным коридорам
В условиях глобализации экономики, создания крупных транснациональных корпораций и интеграции транспорта ряда государств в мировую транспортную систему идет интенсивный процесс формирования международных транспортных коридоров (МТК), обеспечивающих ускоренное продвижение крупных товароматериальных потоков между различными странами и континентами на основе внедрения современных логистических технологий доставки грузов, таких как организация интермодальных перевозок грузов, основанных на реализации интегральной концепции логистики и создании интегрированных транспортно-технологических систем.
В соответствии с определением группы экспертов комитета по транспорту ЕЭК ООН, под МТК понимается часть национальной или международной транспортной системы, которая обеспечивает значительные международные грузовые и пассажирские перевозки между отдельными географическими районами, включает в себя подвижной состав и стационарные устройства всех видов транспорта, работающих на данном направлении, а также совокупность технологических, организационных и правовых условий осуществления этих перевозок.
Организация МТК ставит своей целью унификацию национальных законодательств, гармонизацию транспортных систем Востока и Запада, создание международной транспортной инфраструктуры, имеющей единые технические параметры и обеспечивающей применение единой технологии перевозок как основы создания глобальных логистических систем и интеграции национальных транспортных систем в мировую транспортную систему.
Целью формирования и развития международных транспортных коридоров на территории России является обеспечение условий для повышения надежности и эффективности российских внешнеторговых перевозок, вовлечения дополнительных транзитных грузопотоков на транспортные коммуникации страны, привлечения отечественных и иностранных инвестиций на развитие транспортной инфраструктуры, создания условий для ускорения развития отдельных регионов страны, расположенных в зоне тяготения к трассам международных транспортных коридоров, интеграции российского транспорта в европейскую и мировую транспортные системы.
В соответствии с решением Критской конференции по вопросам развития Трансъевропейской сети определена система приоритетных МТК, которая включает в себя девять европейских транспортных коридоров, три из которых N 1, N 2 и N 9 проходят по территории России и используют российские транспортные коммуникации.
Несмотря на значительное отставание от большинства европейских стран в области интермодальных перевозок, Россия в настоящее время вплотную подошла к созданию интермодальных систем. От уровня развития в России системы интермодальных перевозок грузов по проходящим через ее территорию трансъевропейским и транснациональным транспортным коридорам в решающей степени зависит увеличение внешнеторгового и внутрироссийского грузооборота, рост экспортно-импортных перевозок грузов, повышение конкурентоспособности федеральной и региональной транспортных систем, вхождение транспортного комплекса России в мировую транспортную систему в качестве равноправного партнера.
Развитие интермодальных перевозок грузов по международным транспортным коридорам требует координации работы различных видов транспорта и интеграции их в единую организационную систему, функционирующую на основе формирования сквозных логистических транспортно-технологических систем.
Транспортный процесс по своей природе объективно является непрерывным. Соответственно и основной задачей координации и взаимодействия видов транспорта является обеспечение непрерывности транспортно-распределительного процесса, начиная от загрузки подвижного состава у грузоотправителей, подвоза грузов по подъездным путям на железнодорожную станцию, в порт, в транспортный узел, осуществление перевозки грузов одним или несколькими видами магистрального транспорта и кончая доставкой подвижного состава с грузом с транспортных узлов на подъездные пути и к складам грузополучателей при соблюдении сроков доставки груза и его сохранности.
Одним из наиболее распространенных видов взаимодействия разных видов транспорта, требующим соответствующей координации на всех стадиях перевозочного процесса, является организация перевозок грузов в смешанном сообщении.
Перевозками грузов в смешанном сообщении называют перевозки, выполняемые двумя и более видами транспорта, работающими последовательно.
При перевозке грузов в смешанном сообщении появляются дополнительные грузовые операции по перевалке или перегрузке грузов с одного вида транспорта на другой и связанные с этим дополнительные транспортные расходы, которые при соответствующей координации перевозочного процесса компенсируются за счет применения более рациональных схем и маршрутов перевозок, уменьшения задержек грузов в пути и сокращения простоев подвижного состава на основе внедрения единого технологического процесса и синхронизации работы видов транспорта.
При перевозке грузов в обычном смешанном сообщении транспортировка осуществляется каждым видом транспорта по отдельному перевозочному документу - от грузоотправителя до пункта перевалки и от пункта перевалки до потребителя.
При такой организации перевозки грузополучатель или по его поручению экспедиторская компания должны иметь в пункте перевалки складские емкости, погрузоразгрузочные механизмы, перевозочные средства для доставки груза из пункта перевалки на склад временного хранения и последующей перевозке в пункт перевалки для отправления непосредственному получателю груза, а также содержать в местах перевалки производственный и административно-управленческий персонал.
На рис. 1 показана логистическая схема организации перевозок грузов в смешанном сообщении без участия логистических посредников, когда все договорные обязательства по доставке грузов, включая передачу с одного вида транспорта на другой, берет на себя грузоотправитель.
Наиболее эффективной разновидностью смешанных перевозок грузов с участием нескольких видов транспорта являются прямые смешанные перевозки, при которых транспортировка на всем пути следования грузов осуществляется по единому перевозочному документу, при этом передача груза с одного вида транспорта на Другой осуществляется в перевалочных пунктах без участия грузоотправителя или грузополучателя.
Логистическая схема организации перевозок грузов в смешанном автомобильно-железнодорожно-водном сообщении с участием экспедиторов, функционирующих каждый на своем участке продвижения грузов, а также действующей при данной схеме системе договорных отношений участников логистической цепи представлена на рис. 2.
Различают следующие основные виды прямого смешанного сообщения: железнодорожно-водное; железнодорожно-автомобильное; железнодорожно-водно-автомобильное; водно-автомобильное; железнодорожно-воздушное и воздушно-автомобильное, а также прямое смешанное сообщение "река-море".
Особый интерес представляют прямые смешанные перевозки грузов в контейнерах, предусматривающие отправление грузов в контейнерах с любой грузовой станции, порта или аэропорта, открытых для их приема, оформление единого документа на весь путь следования и составление грузоотправителем отдельной накладной на каждый контейнер.
В прямом смешанном сообщении каждый вид транспорта осуществляет перевозку груза на своем участке маршрута, продолжая процесс транспортировки, начатый первоначальным предприятием транспорта. Это способствует рационализации транспортно-экономических связей, позволяет использовать преимущества каждого вида транспорта в соответствии с наиболее целесообразными сферами его применения, создает дополнительные удобства клиентуре, освобождая ее от необходимости составления сопроводительных документов на каждый вид транспорта и также от непосредственного участия в операциях по передаче груза с одного вида транспорта на другой.
К основным формам координации и взаимодействия различных видов транспорта при осуществлении перевозок грузов в смешанном сообщении, направленным на повышение общего синергетического эффекта, следует отнести:
* скоординированную работ/ видов транспорта в транспортных узлах и других стыковых пунктах на основе единого технологического процесса;
* организацию сквозной маршрутизации грузопотоков на всем пути следования грузов с участием нескольких видов транспорта по взаимосогласованным расписаниям;
* синхронизацию подачи подвижного состава в пунктах перевалки по периодам суток;
* организацию централизованного завоза и вывоза грузов с транспортных узлов автомобильным транспортом общего пользования и коммерческих структур;
* концентрацию грузовой работы на меньшем числе опорных стыковых пунктов и в крупных транспортных узлах, а также на крупных мультимодальных терминалах и транспортно-распределительных центрах;
* оптимизацию работы погрузо-разгрузочной техники при перевалке грузов, включая кооперированное использование технических средств разными видами транспорта;
* оперативное планирование контейнерных и других перевозок, подачи и сортировки подвижного состава в узле;
* автоматизацию оформления коммерческой документации, расчетов за выполнение перевозок грузов и осуществление транспортно-экспедиционных операций, внедрение электронного документооборота:
* информационное обеспечение перевозок грузов в смешанном сообщении;
* внедрение комплексного транспортно-экспедиционного обслуживания клиентуры на основе передовых методов логистики и логистического сервиса;
* согласование экономических интересов участников смешанных перевозок грузов и создание основ единого транспортного законодательства.
В соответствии с действующим законодательством работа предприятий и организаций различных видов транспорта по передаче грузов с одного вида транспорта на другой регламентируется узловыми соглашениями.
Условия работы перевалочных пунктов и переработки грузов устанавливаются в узловых соглашениях, заключаемых железной дорогой и пароходством или автотранспортным предприятием сроком на 3 года. Порядок разработки и заключения узловых соглашений устанавливается правилами перевозок грузов в прямых смешанных сообщениях.
В узловом соглашении определяются условия работы пунктов перевалки, порядок совместного планирования их работы, места передачи грузов и оформления документов, установление сроков погрузки и выгрузки, подачи транспортных средств на грузовую станцию или в порт, порядок приема, сдачи, взвешивания грузов, порядок и сроки предоставления взаимной информации о подходе грузов, а также оговариваются все организационные и другие вопросы, которые могут возникнуть при совместной работе смежных видов транспорта. При перевозках грузов в контейнерах дополнительно к узловому соглашению заключаются специальные ежегодные соглашения, в которых регулируются взаимоотношения транспортных организаций по осуществлению работ, связанных с завозом и вывозом контейнеров, а также с передачей порожних контейнеров.
При наличии единых технологических процессов работы перевалочных пунктов и транспортных узлов в основу заключаемых узловых соглашений закладываются прогрессивные нормы, обеспечивающие рациональную организацию перевалки грузов и обработки транспортных средств (вагонов, судов, автомобилей и др.).
В соответствии с Гражданским кодексом Российской Федерации (гл. 40 ст. 788. Прямое смешанное сообщение) "Взаимоотношения транспортных организаций при перевозке грузов, пассажиров и багажа разными видами транспорта по единому транспортному документу (прямое смешанное сообщение), а также порядок организации этих перевозок определяются соглашениями между организациями соответствующих видов транспорта, заключаемыми в соответствии с законом о прямых смешанных (комбинированных) перевозках".
В настоящее время проект Федерального Закона "О смешанных (комбинированных) перевозках пассажиров, багажа и грузов", так же как и проект закона Российской Федерации "О транспортно-экспедиторской деятельности" находятся в стадии согласования.
Становление в России многоукладной рыночной экономики, интенсивное развитие в Московском регионе рынка транспортных услуг, создание конкурентной среды в сфере товародвижения и международных перевозок грузов, существенные изменения в системе организационно-экономических отношений между участниками транспортного процесса, включая и грузовладельцев, требуют адекватного совершенствования нормативно-правовой базы, регламентирующей работу различных видов транспорта и других участников системы грузе- и товародвижения.
Особенно остро отставание в России транспортного законодательства от изменяющихся социально-экономических условий сказывается на функционировании транспортных узлов и развитии смешанных перевозок грузов с участием нескольких видов транспорта, а также на уровне конкурентоспособности российских предприятий и организаций транспорта при осуществлении международных перевозок грузов.
В этой связи актуальность и своевременность разработки и принятия новых Федеральных Законов "О транспортно-экспедиторской деятельности" и "О смешанных (комбинированных) перевозках пассажиров, багажа и грузов" трудно переоценить.
Представляется, что в подготавливаемых к принятию Законах должны найти отражение вопросы: координации и регулирования работы разных видов транспорта в транспортных узлах и при осуществлении международных смешанных перевозок грузов, включая интермодальные перевозки по проходящим через территорию России трансъевропейским коридорам; определения статуса оператора смешанной перевозки грузов: создания адекватной системы ответственности за несохранные перевозки и нарушение сроков доставки; регулирования Российского рынка перевозок грузов в международном сообщении и обеспечения конкурентоспособности российских транспортных предприятий; конкретизации ряда терминов и определений, включая понятия "интермодальная перевозка", "транспортный коридор", "грузовой терминал", "мультимодальный терминальный комплекс", "логистическая система", "логистический сервис", "транспортная логистика" и ряд других.
Особое место среди прямых смешанных международных перевозок грузов занимают "интермодальные перевозки", осуществляемые по международным транспортным коридорам с участием нескольких видов транспорта на основе единого технологического процесса, по единому транспортному документу на весь перевозочный процесс с полной ответственностью одного оператора за всю логистическую цепочку от грузоотправителя до грузополучателя, с использованием при перевозке грузов укрупненных унифицированных грузовых мест, в частности, унифицированных контейнеров.
Логистическая схема организации доставки грузов в интермодальном сообщении с участием оператора смешанной перевозки представлена на рис. 3.
Интермодальная перевозка грузов, осуществляемая по международным транспортным коридорам, предполагает наиболее тесную интеграцию, основанную на единстве всех звеньев транспортно-распределительной цепи в организационно-технологическом аспекте, на единой форме взаимодействия, координации и кооперации всех участников транспортного процесса, комплексном развитии инфраструктуры различных видов транспорта, создании в узлах транспортной сети мультимодальных терминальных комплексов, других объектов транспортной инфраструктуры, информатизации всего процесса грузо- и товародвижения.
Основополагающими элементами логистической инфраструктуры международных транспортных коридоров являются мультимодальные терминальные комплексы, сооружаемые в узлах транспортной сети, гарантированно обеспечивающие клиентуру транспортно-экспедиционным обслуживанием с полным набором сервисных и коммерчески-деловых услуг, выполняющие функции логистических транспортно-распределительных центров.
Для принятия и переработки грузов, следующих в интермодальном сообщении по российской части международных транспортных коридоров, и обеспечения соответствующего уровня сервисного обслуживания первостепенное значение наряду с развитием транспортных коммуникаций с соответствующим обустройством имеет создание в крупных транспортных узлах вдоль трассы МТК мультимодальных терминальных комплексов и логистических транспортно-распределительных центров, функционирующих на основе передовых логистических технологий и обеспечивающих интеграцию товароматериальных, информационных, сервисных и финансовых потоков.
4. Технологические схемы перевозки грузов автомобильным транспортом (одним видом или несколькими).
В свою очередь, составляющие элементы доставки грузов или пассажиров характеризуются определенными, присущими только им закономерностями. Пользователи транспортных услуг в настоящее время отдают предпочтение таким показателям, как соблюдение временных графиков доставки грузов и пассажиров, ответственность за удовлетворение оговоренных потребностей, надежность доставки. Выполнение этих требований связано с достаточно точной временной оценкой звеньев доставки грузов и пассажиров, т.е. со знанием закономерностей изменения всех их элементов и установлением конкретных величин. Выявление закономерностей звеньев и элементов доставки является основой в системном построении всех возможных видов организации перевозок грузов и пассажиров.

Рис. 2.7. Технологические схемы перевозки грузов автомобильным транспортом: а - одним видом транспорт; б - несколькими видами транспорта
Простейшей организацией для перевозки грузов или пассажиров является транспортное звено. Организационная структура транспортного звена предполагает оптимизацию как состава элементов, так и структуры звеньев и взаимосвязей между ними.
5. Укрупненная операционная (технологическая) схема доставки.
Операционную систему доставки можно укрупненно представить в виде схемы (рис. 2.9), на входе которой имеем наличие определенного числа и вида подвижного состава, а также заказы (спрос) на перевозку грузов (потребность населения в перемещении), а на выходе - своевременную перевозку грузов (пассажиров) в пункты назначения. Процессы трансформации представляют собой процессы преобразования входа в выход, т.е. своевременной, с надлежащим качеством и малыми затратами перевозки грузов (пассажиров). Трансформация добавляет к затратам на входе определенную стоимость, соответствующую цене или себестоимости перевозки.


Рис. 2.8. Технологические схемы передвижения пассажиров: а - одним видом транспорта; б - несколькими видами транспорта
Для обеспечения операционного контроля и управления процессами трансформации необходима достоверная информация с линии, получаемая по цепям обратной связи.
Главным объектом управления в этой схеме являются материальные и сопутствующие им потоки информации и денежных средств, обеспечивающие реализуемую технологию перевозки, а основой построения эффективной системы операционного менеджмента - производственное расписание, сформированное исходя из задач удовлетворения потребительского спроса на транспортные услуги.

Рис. 2.9. Укрупненная операционная (технологическая) схема доставки
Производственное расписание, составленное на основе объемно-календарного планирования, позволяет установить дифференцированные по каждому элементу доставки объемные и временные характеристики материальных потоков. Классическим методом объемно-календарного планирования и составления производственного расписания является предложенная еще в 1912 г. Г. Ганттом ленточная диаграмма, в которой соотносятся время и виды выполняемых работ. Есть и более сложные методы - сетевое планирование, когда предлагается последовательное или последовательно-параллельное выполнение определенных работ и операций с целью сокращения длительности общего технологического цикла.
Целесообразно рассматривать доставку как процесс непрерывного обеспечения последующих подразделений (производственных или сбытовых) при синхронизации работы всех звеньев системы и согласовании ее со спросом. Это требует очень жесткой дисциплины поставок, которая невозможна без четких характеристик составляющих систему элементов.
Для повышения эффективности и системной устойчивости на рынке транспортных услуг при доставке грузов должна быть обеспечена максимальная координация и интеграция всех звеньев транспортного процесса, участвующих в формировании и управлении основными и вспомогательными материальными и связанными с ними потоками. Элементами (звеньями) транспортного процесса при перевозке грузов являются подача подвижного состава под погрузку, погрузка, транспортирование и разгрузка (см. рис. 2.10).
Необходимо отметить, что звенья и составляющие их элементы доставки, равно как и характеристики спроса на перевозки, отличаются высокой степенью неопределенности, т.е. стохастичностью. Построение же систем, учитывающих стохастичность транспортного процесса и синхронизацию с производственным расписанием, целесообразно проводить на основе сети Пети. Суть ее заключается в разложении систем на ряд подсистем, связанных с определенными звеньями и элементами транспортного процесса, для нахождения параметров каждой выделенной подсистемы с использованием стохастической аппроксимации.

Рис. 2.10. Схемы соединений и возможных состояний элементов этапа погрузки (разгрузки) грузов: 1 - ожидание погрузки (разгрузки), 2 - маневрирование, 3 - погрузка (разгрузка) груза, 4 - оформление документов.
Транспортный процесс на каждой стадии (позвенно) можно представить в виде определенной подсети. Политика контроля и управления в такой системе моделируется синхронизацией позиций на каждой стадии (в каждом звене).
В целом перевозочный процесс можно рассматривать как систему многофазового массового обслуживания дискретного типа с конечным множеством состояний, в которой переход из одного состояния в другое происходит скачками в момент, когда осуществляется какое-то событие.
Проиллюстрируем описанный подход на примере работы автомобильного транспорта. Перевозочный процесс начинается с подачи подвижного состава в пункт погрузки. Закономерность распределения выхода автомобилей из транспортных предприятий подчиняется закону Пуассона. Поскольку в пункт погрузки могут прибывать автомобили из разных предприятий, то входящий поток в пункт погрузки может иметь и иные характеристики.
Характер распределения входящих потоков зависит главным образом от организации работы подвижного состава. Чем больше длина ездки с грузом и больше число работающих автомобилей, тем меньше последействие, и поток описывается распределением Пуассона. Уменьшение длины ездки с грузом приводит к саморегулированию движения автомобилей, и входящий поток распределяется по закону Эрланга.
Элементы погрузки и разгрузки связаны со всеми работами по загрузке и разгрузке подвижного состава автомобильного транспорта и со всеми задержками подвижного состава в пунктах погрузки и разгрузки, по каким бы причинам они ни происходили.
Идентичные элементы включают в себя звено разгрузки. На рис. 2.10 приведены схемы соединений и возможных состояний элементов звена погрузки (разгрузки). Анализ приведенных схем показывает, что оформление товарно-транспортных документов можно выполнять не только последовательно, но и параллельно, одновременно с выполнением погрузочных (разгрузочных) работ. А остальные элементы этого звена выполняются последовательно. Время погрузки является технологически необходимым элементом, а остальные элементы оказывают отрицательно действие на пропускную возможность погрузочного пункта, увеличивая продолжительность цикла транспортного процесса.
Общее время пребывания автомобиля в пункте погрузки (разгрузки) tn равно длительности ожидания tn1 плюс длительность обслуживания tn0, маневрирование tn2плюс погрузка или разгрузка tn3 плюс оформление документов tn4).

Если пост погрузки свободен, то прибывший автомобиль будет обслуживаться немедленно. За время его обслуживания могут прибыть автомобили, которые поступят на обслуживание в порядке очереди, если она будет существовать. Для этих ситуаций политика контроля и обслуживания традиционно реализуется в соответствии с двумя принципами: FCFS (First Come - First Served) - "первый пришел - первый обслужен"; LIFO (Last In - First Out) - "последний вошел - первый обслужен" (политика приоритета).
Например, при организации централизованных перевозок грузов подвижной состав, непосредственно занятый этими перевозками, загружается вне очереди по отношению к подвижному составу, прибываемому в пункт погрузки и не участвующему в централизованных перевозках. Следует учитывать, что распределение числа единиц подвижного состава в очереди не зависит от дисциплины очереди.
Насколько уменьшается ожидание автомобилей, пользующихся приоритетом, настолько же возрастает длительность простоя остальных автомобилей.
Продолжительность и закономерность распределения продолжительности пребывания подвижного состава в пункте погрузки (разгрузки) обусловлены продолжительностью и закономерностью распределения входящего потока подвижного состава, ожидания подвижным составом погрузки (разгрузки), времени маневрирования, времени погрузки (разгрузки), времени оформления документов.
Продолжительность элемента "маневрирование" зависит главным образом от организации работы погрузочного пункта, а закономерность распределения продолжительности этого элемента хорошо описывается показательным законом.
Продолжительность простоя под погрузкой зависит от рода перевозимого груза, а также от типа подвижного состава и погрузочных средств. Так, при перевозке массовых сыпучих грузов автомобилями-самосвалами и экскаваторной погрузке закономерность распределения продолжительности элемента "погрузка" описывается нормальным законом, при погрузке штучных грузов - показательным законом, при погрузке вязких грузов (растворы, бетонная смесь и т.д.) - распределением Эрланга.
Продолжительность элемента "оформление документов" зависит от организации и технологического процесса выполнения погрузочных работ, а закономерность распределения элемента хорошо описывается распределением Эрланга. При совмещении выполнения элементов "оформление документов" и "погрузка" продолжительность оформления документов бывает незначительной и распределяется по экспоненциальному закону.
При любом распределении входящего потока автомобилей в пункты погрузки или разгрузки и любой закономерности времени обслуживания продолжительность элемента "ожидание погрузки (разгрузки)" описывается экспоненциальным распределением.
Эффективность звеньев транспортирования груза и подачи автомобилей под погрузку связана с дальностью транспортирования и скоростью движения автомобиля. На мгновенную скорость свободно движущегося автомобиля оказывают влияние водитель, сам автомобиль, дорога, интенсивность движения, погода и другие факторы. Техническая скорость движения автомобиля зависит от технико-эксплуатационных качеств автомобиля, квалификации водителя, времени суток, продолжительности работы и т.д. Водители самостоятельно управляют своими автомобилями, и изменение скорости движения является для них важным показателем как в выполнении задания, так и в обеспечении безопасности движения.
В силу всех этих факторов даже при работе одномарочного подвижного состава в однотипных условиях технические скорости автомобилей не будут одинаковы, а распределяются по нормальному закону. Звено транспортирования груза, так же как и этап подачи подвижного состава под погрузку, можно представить как систему "самообслуживания", в которой продолжительность пребывания каждого автомобиля распределяется по нормальному закону.
Итак, каждый из элементов и звеньев цикла транспортного процесса имеет количественные характеристики и описывается определенным распределением. Сочетаясь друг с другом, они оказывают влияние на закономерность и характеристику распределения общей продолжительности цикла транспортного процесса, среднее время которого будет складываться из суммы времени пребывания каждой единицы подвижного состава в отдельных звеньях:

где tw, tnn, tn, tт, tp - соответственно средняя продолжительность циклов транспортного процесса; подачи подвижного состава под погрузку, погрузки, транспортирования, разгрузки.
Как отмечалось ранее, в вершине иерархической пирамиды организации перевозок (см. рис. 2.6) находятся наиболее сложные виды доставки - интермодальные и мультимодальные. Эти виды доставки осуществляются несколькими видами транспорта. Основные принципы функционирования таких систем заключаются в следующем:
- единообразный коммерческо-правовой режим;
- комплексное решение финансово-экономических аспектов;
- использование систем слежения за передвижением груза;
- информационное обеспечение и связь;
- единство всех звеньев транспортной цепи в организационно-технологическом аспекте;
- кооперация всех участников транспортной системы;
- комплексное развитие транспортной инфраструктуры различных видов транспорта. Для реализации этих принципов необходимо знать особенности использования отдельных видов транспорта, их характеристики и основы взаимодействия.
6. Схемы соединений и возможных состояний элементов этапа погрузки (разгрузки) грузов.
Классификация погрузоразгрузочных машин и устройств.
Погрузоразгрузочные машины по техническим признакам можно разделить на две группы: машины с рабочим органом периодического действия и машинами с рабочим непрерывного действия.
К машинам с рабочим органом периодического действия относятся: автомобильные краны, автопогрузчики, одноковшовые погрузчики, лебедки, механические лопаты.
К машинам с рабочим органом непрерывного действия относятся ленточные, пластичные и скребковые конвейеры, многоковшовые погрузчики и др.
В зависимости от группы или категории перегрузочных грузов все машины разделяют на следующие виды:
- для штучных грузов (автокраны, автопогрузчики);
- для навалючных грузов (эскалаторы, одноковшовые и многоковшовые);
- для порошкообразных грузов (пневмоперегрузной).
Некоторые машины являются универсальными и применяются для различных видов груза их эксплуатируют по назначению применяя сменные грузозахватные приспособления(стрелу, ковш).
По направлению перемещения груза машинные устройства разделяют на 4 группы: механические лопаты.
- для горизонтального перемещения груза;
- для вертикального перемещения (бункеры);
- для наклонного перемещения (зерногр,);
- для вертикального и горизонтального перемещения (краны, автопар).
Все машины ходового механизма могут быть классифицированы на две группы: стационарные и передвижные.
К стационарным относятся машины не имеющие устройств для передвижения.
Передвижные имеют устройства для передвижения или ходовой оборудование.
Так же есть машины с ограниченной зоной перемещения (козловые, портальные) определяемой длиной подкрановых рельсовых путей. Стационарные и передвижные погрузоразгрузочные машины могут разделяться на универсальные:
- для различных групп грузов и специальные предназначенные только для определенной категории груза.
Классификация грузоватных устройств.
Грузоватные устройства классифицируют по виду перемещаемого груза, степени механизации труда, сложности установки на грузоподъемной машине.
Краны.
Мостовые краны. Состоят из моста, пролетная часть имеет две главные продольные несущие балки, жестко соединенные концевыми поперечными балками с колесами для передвижения по рельсам. Вдоль моста по направляющим рельсам передвигается крановая тележка. Грузоподъемность мостовых кранов от 5 до 50 т. Преимуществом мостовых кранов является то, что они не занимают большой площади для собственного перемещения.
Козловые краны. Устанавливают на открытых площадках для перегрузки контейнеров, металла и лесных грузов в пакетированном виде, оборудования и др. Тежеловестных грузов по характеру работы и по принципу устройства козловые краны сходны с мостовым.
Тема 13. Экономические показатели оценки работы транспорта.
1. Группы показателей, характеризующие технико-экономические особенности транспорта (натуральные, эксплуатационно-технические, экономические).
Для оценки функционирования транспорта в логистике применяется обширный технико-экономический инструментарий, который включает способы, методы и показатели управления деятельностью транспортных предприятий как на обобщенном, так и на локальном уровне. Прежде чем осуществить краткий обзор искомого инструментария, необходимо более подробно рассмотреть понятие "продукция транспорта".
Известно, что продукцией транспорта являются перевозки грузов (пассажиров), величина которых выражается в денежном и условно-натуральном измерении. Различают валовую и чистую продукцию транспорта.
Валовая продукция транспорта в денежном выражении представляет собой доходы от перевозок грузов (пассажиров), Чистая продукция транспорта представляет собой те же доходы, но за вычетом эксплуатационных затрат (на топливо, электроэнергию, материалы, амортизационные отчисления и т. д.). Подчеркнем, что чистая продукция транспорта рассчитывается только по грузовым перевозкам. Она равна разности между валовой продукцией и эксплуатационными затратами, которые определяются по грузовым показателям.
В транспортной логистике используется также понятие приведенной продукции транспорта. Например, на железнодорожном транспорте для отдельных железных дорог данный показатель определяется суммированием тарифных тонно-километров и пассажиро-километров, а для отделения железных дорог — суммированием эксплуатационного грузооборота нетто и пассажирооборота.
Качество продукции транспорта представляет собой комплексный показатель, который рассчитывается по совокупности:
♦ соблюдения перевозчиком сроков доставки;
♦ отсутствия случаев утраты, засылки, повреждения грузов;
♦ предоставления грузоотправителям и грузополучателям дополнительных услуг.
В условно-натуральном выражении показателем продукции транспорта является грузооборот (в тонно-километрах, а на морском транспорте — в тонно-милях). Грузооборот определяется суммированием произведений массы отдельных грузовых отправок в тоннах на расстояние их перевозок в километрах (милях).
Грузооборот автомобильного транспорта рассчитывается по каждой ездке автомобиля как произведение массы перевезенного груза на установленное расстояние перевозки.
Грузооборот воздушного транспорта определяется как сумма произведений количества перевезенных тонн груза (включая почту и платный багаж) на дальность их перевозок. Грузооборот коммерческой загрузки воздушного транспорта представляет собой грузооборот при полном использованиинормативной грузоподъемности самолетов. Он определяется как сумма произведений нормативной коммерческой загруз- : ки самолета, утверждаемой ведомствами воздушного транс-порта, на налет километров по воздушным линиям.
Грузооборот железнодорожного транспорта — это по- I казатель объема перевозок, связанный с перемещением мае-сы грузов на соответствующее расстояние их перевозок, которое определяется по перевозочным или проездным до-кументам. Различают железнодорожный грузооборот трех типов:
1. Грузооборот нетто эксплуатационный.
Это показатель работы транспорта по перевозкам гру- I зов с учетом фактического расстояния. Он определяется на основании данных маршрута как произведение массы поез- | да нетто на эксплуатационную длину участка. Как правило, [ грузооборот нетто эксплуатационный превышает тарифный грузооборот.
2. Тарифный грузооборот.
Данный показатель измеряется в тонно-километрах (тонно-милях) и рассчитывается как сумма произведений массы отдельных отправок в тоннах на кратчайшее расстояние их перевозки (в километрах, милях).
3. Грузооборот брутто.
Рассчитывается как произведение массы поезда брутто (без массы локомотива) на пройденное расстояние.
Грузооборот морского транспорта — это объем работы по перевозке грузов в тонно-милях. Из общего грузооборота морского транспорта в логистике выделяются тонно-мили, выполненные в международном сообщении.
Грузооборот морского порта представляет собой сумму I прибывших и отправленных грузов с дифференциацией по | малому каботажу, большому каботажу и заграничному пла-ванию.
Грузооборот речного транспорта как показатель объема [ работы по перевозке (в т-км) определяется как сумма произведений массы каждой отправки на тарифное расстояние. Грузооборот пароходства исчисляется как сумма произведений массы грузов чистого отправления и входных грузов на расстояние перевозки в границах пароходства.
Грузооборот речного порта рассчитывается как сумма отправленных и прибывших грузов.
Грузооборот трубопроводного транспорта выражает объем работы по перемещению грузов по трубопроводам на определенное расстояние. Данный объем исчисляется как сумма произведенной перекачки продукции в тоннах на протяженность ее транспортировки по трубопроводу по моменту ее доставки на пункты назначения. В случае перекачки по параллельно уложенным путям трубопроводов или участков грузооборот определяется суммированием каждого из видов продукции. Таким же образом рассчитывается грузооборот газопроводов.
С грузооборотом тесно связан показатель — перевезено грузов. Он отражает количество грузов в тоннах, перевезенных в отчетном периоде предприятием транспорта общего пользования. Расчет данного показателя для различных видов транспорта имеет свои особенности. Например, для пароходства показатель "перевезено грузов" определяется как сумма грузов чистого отправления и входных грузов, принятых им для продолжения перевозки.
На железных дорогах показатель "перевезено грузов" определяется по-разному. Так, для некоторых дорог объем перевозок нельзя определить только показателями "отправлено грузов" или "прибыло грузов" (не учитываются транзитные перевозки). В связи с этим искомый показатель рассчитывается как сумма грузов, отправленных дорогой и принятых ею от соседних дорог (назначением на данную или другую дорогу).
Показатель "перевезено грузов" может быть также определен и по конечному моменту учета перевозок. В этом случае он равен сумме грузов, прибывших на данную дорогу и сданных ею на соседние дороги такой же ширины колеи под разгрузку или для дальнейшей перевозки. Попутно отметим, что момент учета перевозок представляет собой время, которое является отправным в перевозках грузов как по моменту начала их совершения (отправления), так и по моменту окончания (прибытия).
В связи с этим отметим, что момент отправления — это время, начиная с которого железнодорожный транспорт принимает на себя ответственность за сохранность груза и обязательство перевезти его до станции назначения в установленный срок.
Момент прибытия — это время, начиная с которого железнодорожный транспорт снимает с себя ответственность за доставляемый грузополучателю на станцию назначения груз, По этому моменту перевозка характеризуется в завершенном виде.
Очень важным показателем является срок доставки. Вообще срок доставки — это период времени, в течение которого груз должен быть перемещен из места отправления в место назначения. В сроки доставки включается также время, необходимое для выполнения погрузочно-разгрузочных работ, вспомогательных операций и т. д.
На различных видах транспорта общего пользования сроки доставки регулируются уставами, кодексами и другими нормативными актами.
В международных морских перевозках сроки доставки, как правило, не устанавливаются, однако в чартерах может быть оговорена обязанность следовать в порт назначения со всей возможной скоростью. Нарушение этого условия влечет ответственность перевозчика.
Груз считается доставленным морским транспортом в место назначения с момента извещения грузополучателя о готовности груза к выдаче.
На железных дорогах сроки доставки устанавливаются с учетом:
♦ времени на операции по отправлению и прибытию грузов;
♦ расстояния между станциями отправления и назначения; ♦ скорости продвижения грузовых потоков, которая зависит от категории отправки (повагонная, маршрутная, мелкая отправка);
♦ времени на дополнительные работы и операции (переадресовка, перевалка и т. д.).
В случае задержки груза для выполнения таможенных формальностей, ветеринарного досмотра и т. п. сроки доставки удлиняются на все время задержки.
Сроки доставки негабаритных грузов определяются исходя из условий перевозки, а на железных дорогах при перевозках в местном сообщении определяются начальником дороги.
При смешанных перевозках сроки доставки определяются по совокупности сроков доставки, предусмотренных нормативными актами для соответствующих видов транспорта.
Груз, не выданный грузополучателю по истечении определенного срока, начиная с даты его приема к перевозке или с окончания срока доставки, считается утраченным.
За нарушение сроков доставки, происшедшее по вине перевозчика, он уплачивает грузовладельцу штраф, исчисляемый, как правило, в процентах от провозной платы.
Одним из обобщенных показателей логистической деятельности перевозчиков являются их доходы и расходы.
Доходы транспортного предприятия от перевозок складываются из сумм средств, полученных за:
♦ перевозки грузов (пассажиров, багажа, почты);
♦ сдачу в аренду подвижного состава;
♦ оказание грузоотправителям (или пассажирам) дополнительных транспортно-экспедиционных услуг и т. д.
Например, на железнодорожном транспорте используется ряд показателей, характеризующих выгодность грузовых (багажных, пассажирских) перевозок. Это в первую очередь доходность перевозок. Данный показатель рассчитывается как размер дохода, получаемого с единицы перемещения грузов или пассажиров (10 тонно-километров или 10 пасса-жиро-километров). В этой связи отметим, что планирование и выбор в деятельности транспорта нередко ведется на основе средней доходной ставки, которая определяется на приведенные 10 тонно-километров.
Помимо доходности перевозок и средней доходной ставки определяются также показатели доходности выполнения начальных и конечных операций с грузами (погрузка или разгрузка 1 т груза).
В процессе логистической деятельности любое транспортное предприятие несет определенные эксплуатационные расходы. Они представляют собой совокупность издержек перевозчика, непосредственно связанных с продвижением грузопотоков. Эксплуатационные расходы исчисляются суммированием:
♦ материальных затрат;
♦ заработной платы;
♦ амортизации основных фондов;
♦ различного рода отчислений (например, на социальное страхование);
♦ прочих расходов.
При распределении эксплуатационных расходов по видам перевозок в зависимости от характера расходов одни из них полностью относят на определенный вид перевозок, другие распределяют пропорционально по величинам показателей, определяющих размер издержек или ранее распределенным расходам.
Таким образом, мы подошли к характеристике важнейшего показателя в транспортной логистике — себестоимости перевозок.
Себестоимость перевозок выражается в денежной форме и представляет собой величину эксплуатационных расходов транспортного предприятия, приходящихся в среднем на; единицу продукции транспорта. На железнодорожном, речном, морском и воздушном транспорте она определяется как отношение величины эксплуатационных расходов перевозчика к величине приведенной продукции. Конкретизируя, отметим, что показатель себестоимости перевозок рассчитывается как отношение величины эксплуатационных расходов по перевозкам грузов, приходящихся в среднем на 10 тонно-километров грузооборота.
По пассажиропотокам себестоимость пассажирских перевозок определяют аналогично — как величину эксплуатационных расходов по перевозкам пассажиров, приходящихся в среднем на 10 пассажиро-километров пассажирооборота.
Себестоимость перекачки единицы продукции определяется: на нефтепроводном транспорте— исходя из 10 т перекачанного нефтегруза на 10 км; на газопроводном — 10 тыс. м3 газа на 10 км.
Себестоимость перевозок может быть снижена за счет:
♦ Устранения нерациональных перевозок грузов.
♦ Уменьшения коэффициента порожнего пробега подвижного состава.
♦ Увеличения коэффициента использования грузоподъемности подвижного состава.
♦ Внедрения прогрессивных норм погрузки-выгрузки.
♦ Механизации погрузочно-разгрузочных работ.
♦ Повышения эффективности материальных ресурсов.
♦ Внедрения прогрессивных норм расхода горюче-смазочных материалов и т. д.
На автомобильном транспорте по грузопотокам себестоимость перевозок определяется для отдельных видов транспортной работы, за единицу которой принимаются:
♦ по перевозкам на грузовых автомобилях, работающих по тарифу за перевезенную тонну — 10 тонно-километров;
♦ по перевозкам на автомобилях, работающих по часовому тарифу, — 10 автомобиле-часов.
На автомобильном транспорте различают также полную себестоимость. Она определяется по формуле
К переменным относятся те расходы, которые зависят s от пробега транспортного средства. Это затраты на:
♦ топливо;
♦ смазочные материалы;
♦ техническое обслуживание;
♦ ремонт;
♦ амортизацию подвижного состава (в части, предназна-1 ченной на капитальный ремонт).
Обычно переменные расходы рассчитываются на 1 км про-1 бега.
К постоянным расходам относят:
♦ накладные расходы;
♦ заработную плату водителей (условно);
♦ амортизационные отчисления (в части, предназначенной на полное восстановление подвижного состава).
Эту категорию расходов, как правило, определяют на 1 ч пребывания автомобилей на предприятии независимо от того, где они находились — на линии, в ремонте, простое и т. п.
Расходы на погрузочно-разгрузочные работы вклю- I чают все затраты на их выполнение: стоимость электроэнергии, материалов, оплату труда грузчиков, экспедиторов, one- | раторов и механизаторов, обслуживающих оборудование и механизмы и т. д. Данные расходы рассчитывают на 1 т перевезенного груза или 1 ч погрузочно-разгрузочных работ.
К дорожным относят те расходы, которые связаны со строительством, ремонтом и содержанием дорог. Данные расходы относятся на 1 т-км или на 1 км пробега.
В логистическом процессе кроме транспортных предприятий большую роль в снижении себестоимости могут сыграть различного рода иные участники и факторы. Стоит отметить главные из них:
1. Грузоотправители и посредники, являющиеся участниками организации и управления потоковыми процессами. Онив значительной степени могут повлиять на себестоимость перевозок, так как умение их работников правильно определить взаимозависимость эксплуатационных показателей и себестоимости позволяет более эффективно использовать транспортные средства.
2. Исследования, проведенные на автомобильном транспорте, выявили, что изменение дальности перевозки оказывает сравнительно небольшое влияние на себестоимость при перевозках на длинные расстояния и, напротив, очень большое влияние при перевозках на короткие расстояния.
3. Сокращение времени простоя автомобилей под погрузкой и разгрузкой, а также увеличение технической скорости положительно отражаются на пробеге и производительности транспортного средства при неизменной сумме постоянных расходов, что ведет к снижению себестоимости перевозок, приходящихся на 1 т-км.
4. Особенно ощутимо влияет на снижение себестоимости перевозок повышение коэффициента использования грузоподъемности и пробега подвижного состава в связи с тем, что в этом случае одновременно уменьшается сумма и переменных, и постоянных затрат, приходящихся на 1 т-км.
5. Исходя из того, что себестоимость перевозок зависит от объема выполненной работы и затраченных на нее средств, важнейшим условием ее снижения является повышение производительности труда персонала транспортных предприятий и в первую очередь водителей.
6. Прямая зависимость в снижении себестоимости соблюдается в результате экономии материальных ресурсов (топлива, материалов, запасных частей...), а также при уменьшении административно-управленческих расходов путем оптимизации управленческих процессов на транспортном предприятии.
7. Рассматривая вопрос снижения себестоимости перевозок, нельзя не отметить роль эффективной организации перевозок и комплексной механизации погрузочно-разгрузоч-ных работ. Принятие правильных решений по вопросам этихкатегорий дает возможность максимально использовать гру- I зоподъемность транспортных средств и минимизировать их I простой при погрузке и разгрузке.
8. Очень эффективным приемом снижения себестоимости перевозок на автомобильном транспорте является использование прицепов, которые резко увеличивают производительность автомобиля по всем показателям, а также способствуют повышению коэффициента использования пробега.
Для эффективного управления грузопотоками в транспортной логистике рассматривают баланс ввоза и вывоза грузов. Это система показателей, определяющая по отдельным пунктам и районам отправление, прибытие и внутрирайрнные перевозки грузов. Она характеризует экономику райо- [ нов, позволяет определить их производственную базу и потребность в перевозках (районы вывоза или ввоза, производства или потребления).
Баланс оценивается как положительный, если объем отправления (вывоза) превышает объем прибытия (ввоза), и обозначается знаком "+" или как отрицательный, если объем отправления (вывоза) меньше объема прибытия (ввоза), и обозначается знаком "-". Рассмотрим пример на железнодо- I рожном транспорте.
Ввоз железной дороги представляет собой перевозки грузов (пассажиров), станции отправления которых находятся I за пределами одной железной дороги (или на одной дороге, но перевозки следуют через участки смежных дорог), а станции назначения — на данной дороге. Ввоз грузов учитывается по моменту их прибытия и измеряется в тоннах и тонно-километрах.
Ввоз пассажиров определяется по моменту продажи билетов и выражается числом пассажиров и пассажиро-километров.
Вывоз железной дороги — это перевозки грузов и пассажиров, при которых станции отправления находятся на одной железной дороге, а станции назначения — на другой. Вывоз грузов учитывается по моменту прибытия их в пункты назначения (т, т-км), а вывоз пассажиров — по моменту отправления (пасс; пасс.-км).
Анализ деятельности любого транспортного предприятия начинается с изучения парка подвижного состава. Парк подвижного состава — это количество тех или иных видов транспортных средств в физических единицах, находящихся на балансе транспортных предприятий (на определенную дату или в среднем за период).
Среднесуточное наличие за период определяется делением величины парка подвижного состава, используемого на предприятии за определенный период, на число календарных дней в периоде.
В качестве примера можно рассмотреть структуризацию парка подвижного состава предприятия, использующего автомобильный транспорт.
На таком транспортном предприятии парк автомобилей может даваться в группировке по их типам:
♦ грузовые;
♦ легковые;
♦ автобусы;
♦ автосредства специального назначения.
Помимо этого парк подвижного состава может подразделяться по видам используемого топлива:
♦ бензиновые автосредства;
♦ дизельные автосредства;
♦ автосредства на сжиженном газе.
Кроме указанных критериев парк подвижного состава автомобильного транспорта может подразделяться по маркам, а также по техническому состоянию, например на:
♦ исправные;
♦ неисправные.
В дополнение к перечисленным признакам структуризации автомобильный парк характеризуется по грузоподъемности и грузовместимости.
В транспортной логистике рассчитывают коэффициент использования парка автомобилей. Это показатель, харак-теризующий степень использования парка автомобилей за календарный период. Он определяется как отношение величины автомобиле-дней в работе к величине автомобиле-дней в хозяйстве.
Попутно поясним, что автомобиле-день — это единица измерения состояния работы автомобильного транспорта за некоторый период времени.
Как упомянуто выше, различают:
♦ автомобиле-день в хозяйстве (на предприятии) — это календарный день пребывания автомобиля на предприятии, независимо от его технического состояния и места нахождения, исключая время нахождения в аренде. Однако для проведения соответствующего анализа на основании табелей учета работы автомобилей исчисляют и другие показатели этого рода. В том числе:
♦ автомобиле-день в работе — день, на который выписывается путевой лист для выхода автомобиля на линию, независимо от продолжительности его пребывания вне хозяйства (предприятия).
♦ автомобиле-день в ремонте — день нахождения автомобиля в ремонте и ожидания ремонта как в собственных мастерских, так и в мастерских других предприятий, а также день ожидания списания с баланса хозяйства;
♦ автомобиле-день простоя в исправном состоянии — день пребывания в хозяйстве технически исправного автомобиля, но не использованного по какой-либо причине.
Мощность и особенности предприятий железнодорожного транспорта характеризуется структурой парка локомотивов и парка вагонов.
В отношении первого объекта различают:
♦ инвентарный парк локомотивов;
♦ эксплуатируемый парк локомотивов. Инвентарный парк локомотивов — это количество локомотивов, принадлежащих транспортной организации.
По назначению они подразделяются на:
♦ поездные (грузовые и пассажирские); ♦ маневровые.
По конструктивному устройству и типу двигателя парк локомотивов делится на:
♦ электровозы, которые по роду питания делятся на:
• электровозы постоянного тока;
• электровозы переменного тока;
• электровозы двойного питания;
♦ тепловозы;
♦ паровозы.
Инвентарный парк локомотивов определяется по состоянию на требуемый момент и выражается числом локомотивов по их типам.
Данный показатель используется при характеристике технической вооруженности железных дорог, а также для определения фактического наличия локомотивов на дороге.
Эксплуатируемый парк локомотивов — это количество локомотивов, непосредственно занятых перевозками, а также на других работах продолжительностью до 24 ч.
Парк вагонов по назначению подразделяется на:
♦ парк пассажирских вагонов и
♦ парк грузовых вагонов.
В свою очередь парк грузовых вагонов подразделяется на:
♦ инвентарный парк вагонов;
♦ наличный парк вагонов.
Инвентарный парк грузовых вагонов образует определенное количество вагонов, приписанных и находящихся на балансе железной дороги. Он устанавливается на первое число каждого года с распределением по: роду, осности, году постройки, техническим характеристикам.
Наличный парк грузовых вагонов — это ежесуточное по состоянию на конец отчетных суток наличие вагонов в каждом подразделении (станции, отделении, железной дороге, сети). За декаду, месяц и другие периоды парк определяется как среднесуточная величина. Учет ведется двумя способами параллельно: балансовым и постанционным; с разделением на парк в распоряжении дороги и вне еераспоряжения (в аренде, на новостройках, рабочий парк, нерабочий парк).
Баланс парка грузовых вагонов составляется следующим образом: к наличию на начало отчетного периода прибавляется число поступивших и вычитается число выбывших вагонов за отчетный период. Таким образом определяется общее наличие вагонов, груженых и порожних, а также наличие по роду вагонов (крытые, платформы, полувагоны, цистерны и т. д.).
По подвижному составу автомобильного и железнодорожного транспорта в логистике рассчитываются:
♦ Коэффициент использования парка транспортных средств по времени.
Он определяется как отношение отработанных машино-часов к числу машино-часов (вагоно-часов) пребывания в парке,
♦ Коэффициент использования времени подвижного состава.
Он рассчитывается как отношение времени нахождения подвижного состава в движении и на промежуточных остановочных пунктах ко времени нахождения его в эксплуатации. Данный показатель характеризует степень использования подвижного состава во времени.
♦ Коэффициент использования парка транспортных средств по выпуску.
Он определяется отношением количества машин (вагонов) в движении (на линии, в рейсе) к числу машин (вагонов) в наличии.
Парк судов. В отношении парка судов различают:
♦ парк морских судов;
♦ парк речных судов.
Парк морских судов классифицируют по:
♦ характеру перевозок;
♦ назначению;
♦ виду двигателя и т. д.
Подробнее структура подвижного состава парка судов будет рассмотрена ниже. Для совместимости анализа деятельности различных видов транспорта в логистике используется ряд показателей, имеющих единое назначение и сущность. В тоже время определение этих показателей для различных средств подвижного состава имеет свои особенности.
Одним из важнейших таких показателей в транспортной логистике является пробег. Он характеризует объем работы транспортных средств в километрах. Данный показатель может быть выражен двумя типами пробегов:
♦ общие пробеги;
♦ пробеги по видам.
В качестве показательного примера анализа пробегов можно рассмотреть сущность и структуризацию данных показателей на железнодорожном транспорте. Здесь принято выделять две большое группы:
♦ пробег локомотива и
♦ пробег вагонов.
Основным показателем, характеризующим объем работы локомотива, является общий пробег, измеряемый в локомо-тиво-километрах. Общий пробег локомотива — это суммарное расстояние, фактически пройденное локомотивом по перегонам.
Он подразделяется на:
♦ основной (пробег в голове поезда) и
♦ вспомогательный (пробег в двойной тяге, в одиночном следовании и т. д.).
В отношении грузовых вагонов определяются: условный пробег и общий пробег.
В условный пробег вагонов включается маневровая работа, простой вагонов в рабочем состоянии и прочая работа (опробование автотормозов, дезинфекция и т. д.).
Общий пробег грузовых вагонов представляет собой суммарное расстояние, пройденное вагонами рабочего парка, бездействующими локомотивами и вагонами-механизмами. Он подразделяется по их роду, эксплуатационному состоянию (груженый, порожний), по каждому типу тяги и роду движения. Пробег грузовых автомобилей выражается суммарным расстоянием, пройденным автомобилем за определенный период с грузом (полезная работа автомобилей) и в порожнем состоянии.
Для характеристики величины порожнего пробега рассчитывают коэффициент порожнего пробега подвижного состава. Он зависит от особенностей работы и использования транспортных средств, их специализации, а также размещения источников генерации потоков и пунктов назначения.
На железнодорожном транспорте этот показатель исчисляется только для грузовых вагонов как в целом, так и по родам вагонов — отношением порожнего пробега к общему пробегу и отдельно к груженому пробегу.
На автомобильном транспорте данный коэффициент определяется как отношение величины пробега автомобиля без груза к величине общего пробега автомобилей.
На морском транспорте порожнему пробегу соответствуют балластные пробеги (переходы), которые морские транспортные суда проходят без груза.
Для флота (группы судов) коэффициент балластного пробега определяется делением тоннаже-миль балластного пробега на тоннаже-мили общего пробега. Для отдельного судна этот коэффициент рассчитывается делением балластного пробега на общий пробег судна.
Не менее важным для проведения логистического анализа является определение производительности средства транспорта. Это сводный обобщающий показатель, который отражает объем работы, выполняемый транспортным средством в единицу времени (ч, сутки, месяц...).
Производительность грузовых автомобилей измеряется количеством тонно-километров (тонн) в среднем на 1 тонну грузоподъемности.
Производительность грузового вагона измеряется в эксплуатационных тонно-километрах нетто за одни вагоно-сутки. Данный показатель рассчитывается как отношение величи-ны эксплуатационного грузооборота нетто к величине рабочего парка в вагоно-сутках.
Следует обратить внимание, что производительность грузового вагона помимо вышеперечисленных факторов во многом зависит от нагрузки вагона, коэффициента порожнего пробега грузовых вагонов, скорости движения поезда, рейса груженых вагонов, простоев на станциях под грузовыми и транспортными операциями.
Производительность локомотива — это объем работы, приходящейся в среднем на один локомотив эксплуатируемого парка в сутки. Она определяется делением величины грузооборота брутто на величину эксплуатируемого парка в локомотиво-сутках за отчетный период. Показатель зависит от массы поезда брутто, средней скорости движения локомотива, средней продолжительности простоев на станциях оборота, приписки и смены локомотивных бригад, а также длины участка обращения локомотива.
Производительность морского судна выражает объем работы морского грузового судна в единицу времени. Она измеряется количеством тонно-миль, приходящихся на одну тонну грузоподъемности в среднем в сутки. Производительность морского судна определяется как отношение грузооборота в тонно-милях к величине времени нахождения в эксплуатации в тоннаже-сутках. Величина показателя зависит от грузоподъемности, времени и характера пробега судна.
Производительность речного судна представляет собой объем работы, приходящийся на одно судно в единицу времени. Показатель производительности определяет, сколько тонно-километров за сутки эксплуатации или хода с грузом приходится на единицу грузоподъемности или 1 кВт мощности. Он рассчитывается как отношение общего количества выполненных тонно-километров к общему количеству тонно-суток на перевозках.
Производительность транспортного самолета (вертолета) измеряется количеством тонно-километров коммерческой загрузки самолета в среднем на 1 самолет (вертолет). Она определяется как отношение выполненного грузооборота коммерческой загрузки в тонно-километрах к среднему списочному числу транспортных самолетов (вертолетов). Величина показателя зависит от степени использования вместимости (грузоподъемности) самолетов (вертолетов), расстояния и времени их полетов.
Еще одним показателем, характеризующим работу транспорта и процесс продвижения материальных потоков, является средняя скорость движения транспортных средств Она показывает среднее число км (миль), пройденное подвижным составом в единицу времени (час, сутки). Средняя скорость зависит от конструктивных характеристик транспортных средств, профиля пути, сопротивления движению и некоторых других факторов.
Среднюю скорость движения автомобиля различают: техническую и эксплуатационную.
Техническая средняя скорость — это расстояние, пройденное в среднем за 1 ч времени в движении. Она определяется как отношение величины общего пробега автомобиля к величине времени автомобиля в движении.
Эксплуатационная средняя скорость выражает расстояние, пройденное в среднем за один час в наряде. Она определяется как отношение величины общего пробега автомобиля к величине пробега автомобиля в наряде.
На железнодорожном транспорте также различают два вида средней скорости: техническую и участковую.
Техническая средняя скорость рассчитывается как отношение величины линейного пробега ко времени нахождения локомотивов на перегонах в локомотиво-часах.
Участковая средняя скорость определяется как отношение величины линейного пробега к затратам времени локомотивов в работе (т. е. времени нахождения локомотивов на перегонах и промежуточных станциях).
Средняя скорость движения морских судов. Для совокупности судов скорость определяется на единицу грузоподъемности судов и рассчитывается как отношение величины пройденного судами расстояния в тоннаже-милях к величине затрат времени судов в тоннаже-сутках.
Различают эксплуатационную и валовую скорости. Эксплуатационная средняя скорость определяется за единицу времени судов в ходу, а валовая — за единицу времени в ходу, на маневрах и швартовке.
Средняя скорость движения речных судов также определяется по совокупности и исчисляется на единицу грузоподъемности грузовых или мощности грузопассажирских и буксирных судов как отношение времени пробега судов в тонна-же-километрах (сило-километрах) к величине затрат времени судов в тоннаже-сутках (сило-сутках).
Принято выделять:
♦ техническую среднюю скорость;
♦ путевую среднюю скорость.
Техническая средняя скорость рассчитывается на единицу времени чистого хода судна.
Путевая средняя скорость определяется на единицу времени нахождения несамоходного судна с грузом (время хода плюс время стоянок с судном).
Для организации управления транспортными средствами и потоковыми процессами, интегрирующими транспортную и складскую сферы логистики, необходимо остановиться на таких понятиях-показателях, как "погрузка" и "разгрузка", которые в зависимости от применения имеют двойное смысловое значение. В общем значении "погрузка" и "разгрузка" представляют собой важнейшие логистические операции по организации движения материальных потоков.
Погрузка как логистическая операция заключается в подаче, ориентировании и укладке груза в транспортном средстве.
Разгрузка как логистическая операция заключается в освобождении транспортного средства или тары от груза. Данной операции, как правило, предшествуют другие логистические операции (погрузка, транспортировка, хранение). В отличие от операции погрузки грузовой поток приразгрузке направлен не к транспортному средству или таре, а от них.
На локальном уровне понятия "погрузка", "разгрузка",! "выгрузка", как правило, выступают в виде конкретных по-1 казателей.
Погрузка как показатель характеризует объем грузов, загруженных в транспортные средства, например на железнодорожном транспорте — в вагоны рабочего парка. Попутно заметим, что "погрузка" является одним из основных показателей грузовой работы железных дорог. Он измеряется числом погруженных физических вагонов и тонн. Учет погрузки ведется ежесуточно. За период, превышающий суточный, погрузка в отчетности и при анализе, как правило, при-1 водится в среднесуточном выражении. Особенность погрузки на железнодорожном транспорте в том, что в нее не I включаются:
♦ Вагоны, занятые при сортировке мелких отправок иI контейнеров, если масса транзитных отправок, загруженных! в вагон, вместе с отправками собственного приема станции превышает 50%.
♦ Вагоны, занятые при перегрузке из-за неисправностей и в других случаях, когда занятие вагона не связано с появлением нового груза на эксплуатируемой сети железной дороги.
В связи с указанной особенностью наряду с показателем! "погрузка" рассчитывается показатель "занято вагонов".
Разгрузка как показатель характеризует освобождение транспортных средств от перевезенных в них грузов. Мето-| дика определения данного показателя аналогична методике! расчета показателя "погрузка" с той лишь разницей, что учет! ведется по конечному моменту перевозочного процесса. Про-1 цесс учета разгрузки осуществляется на основе непрерывно-! го наблюдения, а сам показатель определяется ежесуточно! по состоянию на отчетный момент.
Еще одно важнейшее общелогистическое понятие —нор-1 ма простоя транспортных средств. Норма простоя — это в время, в течение которого с подвижным составом, прибыв-1шим к месту погрузки-выгрузки, должны быть выполнены необходимые грузовые и технические операции.
Нормы простоя регламентируются правилами перевозок и другими нормативными актами на соответствующих видах транспорта общего пользования.
Отметим лишь, что на водном транспорте нормы простоя имеют особенности. Они устанавливаются в виде сталийного времени — за досрочное освобождение судна из-под грузовых операций фрахтователь получает от судовладельца диспач (вознаграждение, премию).
При всех обстоятельствах грузоотправители (грузополучатели) за задержку транспортных средств под погрузко-выгрузкой несут имущественную ответственность перед перевозчиками, если не докажут, что эти задержки произошли не по их вине.
С вышеназванными понятиями и показателями тесно связано понятие рейс подвижного состава. Это расстояние, которое в среднем проходит вагон, судно и т. д. за один цикл перевозки.
Полный рейс, например, вагона означает среднее расстояние, которое грузовой вагон проходит в груженом и порожнем состоянии за время оборота.
Полный рейс подразделяется на груженый и порожний. Стоит добавить, что если вагон после разгрузки подается на этой же станции под погрузку, то полный рейс равен груженому.
Рейс речного судна учитывается по пройденному расстоянию и затраченному времени. Рейс с использованием менее 10% грузоподъемности судна относится к порожнему. Рейс с использованием более 50% грузовместимости судна, но менее 10% грузоподъемности относится к груженому.
Для анализа работы речного флота пользуются также показателями тоннаже-рейса и тоннаже-суток.
Тоннаже-рейс — это единица измерения перевозок груза судном от источника генерации (пункта отправления) до пункта назначения с учетом грузоподъемности судна в тоннах. Определяется как произведение грузоподъемности судна на I количество совершенных им рейсов.
Тоннаже-су тки также является единицей измерения,! но — времени пребывания судна в том или ином состоянии (в | пути, под погрузкой, в простое), с учетом его грузоподъем-1 ности. Данный показатель определяется как произведение! грузоподъемности судна в тоннах на время пребывания его в I том или ином состоянии в сутках.
Рейс самолета (вертолета) представляет собой транспортный полет по воздушной линии в одном направлении от начального до конечного пункта, предусмотренного расписанием. На воздушном транспорте рейс учитывается по объему перевозок, расстоянию и времени полета.
Важное место в инструментарии управления логистикой | занимает бюджет времени. Это система показателей, характеризующих использование грузовых вагонов, локомотивов, судов и других транспортных средств в разрезе различных элементов оборота.
Учет бюджета времени на транспорте ведется, как npaвило, по двум основным разделам:
♦ Бюджет времени в отношении эксплуатационного периода.
♦ Бюджет времени в отношении внеэксплуатационного периода.
Например, бюджет времени эксплуатируемого парка: локомотивов (среднесуточный) определяется делением локомотиво-часов на локомотиво-сутки и учитывается по типам тяги (электровозы, тепловозы и т. д.) в границах участков обращения локомотивов.
Бюджет времени вагонов рабочего парка определяется в вагоно-часах и учитывается как в целом по вагонному парку,; так и по элементам оборота.
Элементы оборота включают затраты времени: на участках (в движении на перегонах, на промежуточных станциях); на станциях (под грузовыми и техническими операция-: ми и др.). В связи с массой особенностей элементов, образующих каждый вид транспорта, в логистике при анализе обусловленной функциональной деятельности применяется большое множество специфических категорий, понятий, показателей и методов. Полностью их осветить в данном разделе не представляется возможным. В то же время на некоторые особенно важные аспекты необходимо обратить внимание хотя бы с целью обзорной иллюстрации комплексности технико-экономического инструментария процессов управления как в транспортной логистике в целом, так и по отдельным ее направлениям в частности.
Обратимся к железнодорожному транспорту. Часть методических, методологических и функциональных аспектов была освещена выше через обобщенные критерии. Далее, на наш взгляд, следует остановиться на некоторых других формальных и неформальных составляющих, без которых элементарное управление логистическими процессами было бы невозможным.
Вначале, исходя из вышесказанного, определим, что представляет собой работа железной дороги (отделения, сети). Это объем грузовых перевозок, который выражается количеством вагонов, погруженных на станциях данной железной дороги и принятых от других дорог в груженом состоянии. Работа железной дороги учитывается за сутки и более длительные периоды и измеряется в вагонах абсолютным числом или в среднесуточном выражении. Погрузка в работе железной дороги определяется по отчетам станций, а прием груженых вагонов по сведениям стыковых станций между дорогами (отделениями). Для железнодорожной сети показатель работы соответствует числу погруженных вагонов. Добавим, что прием груженых вагонов от других государств включается в погрузку пограничных станций.
Одним из показателей эффективности железнодорожного транспорта является вагонооборот. Вагонооборот выражается суммой прибывших на станцию и отправленных со станции вагонов за отчетный период: местных, с которыми наданной станции производились грузовые операции, и транзитных, как проходящих, так и не проходящих переработку на станции.
Единицей измерения данного показателя является физический вагон.
Вагонооборот определяется по данным натурных листов, I в которых дается пономерной перечень вагонов в поезде.
Вагонооборот характеризует перерабатывающую способ- I ность станции. На основе этого показателя устанавливается { классность железнодорожных станций, нормируются расходы, связанные с производством технологических операций с вагонами, определяется способ учета простоя вагонов, который бывает:
♦ номерной и
♦ безномерной.
Номерной способ учета простоя вагонов ведется, если вагонооборот отмечается в рамках — до 50 вагонов в сутки. Безномерной способ — свыше 50 вагонов в сутки.
Простой вагонов — это затраты времени вагонами на I станциях под грузовыми и технологическими операциями. Они | (затраты) определяются на основе непосредственного учета по вагонам рабочего парка в целом и отдельно по цистернам и вагонам рефрижераторных поездов и секций, а также по I категориям простоя: транзитный (без переработки и с пере- I работкой) и под грузовыми операциями.
К транзитному простою вагонов без переработки относится время нахождения на станции вагонов, с которыми на г участках или сортировочных станциях не проводится маневровая работа.
К грузовому простою вагонов относится время нахождения на станции вагонов, с которыми производится погрузка, разгрузка, сортировка мелких отправок и др.
Попутно отметим, что транзит железной дороги представляет собой осуществляемые железной дорогой перевозки грузов (пассажиров), станции отправления и назначения которых находятся за пределами этой дороги. Транзит учитывается в тоннах и тонно-километрах в целом и по видам грузов по моменту их прибытия.
Для характеристики степени использования под погрузку освобожденных из-под выгрузки вагонов рассчитывают коэффициент сдвоенных операций на транспорте. Данный показатель определяется отношением количества погруженных и выгруженных вагонов к количеству местных, т. е. фактически участвовавших в грузовых операциях вагонов на станциях. Уровень данного показателя может изменяться от 1 до 2. Чем он ближе к 2, тем более полно используются под погрузку освобожденные из-под выгрузки порожние вагоны и тем меньше порожний пробег вагонов и среднее время оборота вагона.
Оборотом грузового вагона называется время полного цикла работы вагона, измеряемое в сутках и часах от одной его погрузки до следующей.
В полный цикл работы вагона входит:
♦ Время, затраченное на погрузку.
♦ Время, затраченное на формирование поезда.
♦ Время следования вагона в составе к месту выгрузки.
♦ Время простоев вагона на участках и сортировочных станциях, а также под выгрузкой на станции назначения и т. д.
Затраты времени простоя вагонов на станциях под грузовыми и технологическими операциями (формирование и расформирование составов поездов) определяются на основе номерного или безномерного учета (см. выше).
Время следования вагона в составе к месту выгрузки рассчитывается суммированием отдельных показателей, определяемых делением пробега вагонов на обусловленных участках пути на участковую скорость движения поездов.
Среднее время оборота вагона на железных дорогах определяется отношением затрат времени рабочего парка вагонов к числу погруженных вагонов.
Важно акцентировать внимание на том, что для разных категорий вагонов оборот вагонов имеет различную структуру. Так, например: ♦ для транзитных груженых вагонов оборот считается от лх приема до сдачи в груженом состоянии;
♦ для груженых вагонов, поступивших под разгрузку и затем используемых под погрузку, — от приема в груженом состоянии до погрузки.
На оборот вагона оказывает существенное влияние величина полного рейса.
Для анализа функциональной деятельности железнодорожного транспорта применяют также показатель "занято вагонов" и "нагрузка вагона".
Показатель занято вагонов отражает общее количество вагонов, которые в отчетном периоде сменили порожнее состояние на груженое. Он включает количество груженых вагонов и вагонов, занятых при прочих грузовых операциях, не учитываемых при погрузке (сортировка мелких отправок и контейнеров, перегрузка грузов, вызванная неисправностью вагонов и т. д.).
Нагрузка вагонов — это показатель степени использования грузоподъемности и вместимости вагона в зависимости от перевозимых грузов и дальности их транспортировки. Различают статическую и динамическую нагрузку вагона.
Статическая нагрузка вагона выражается количеством грузов (в тоннах), погруженных в вагон.
Средняя статическая нагрузка вагона определяется делением массы погруженных грузов на количество вагонов.
Динамическая нагрузка вагонов рабочего парка — это количество грузов в тоннах, приходящихся в среднем на грузовой вагон рабочего парка на всем пути следования. Динамическая нагрузка груженого вагона характеризует I среднюю загрузку груженого вагона на всем пути следования и рассчитывается путем деления эксплуатационного грузооборота нетто на пробег груженых вагонов рабочего парка.
Еще один показатель — вагоно-километр. Он характе- I ризует расстояния, пройденные вагонами в составе грузовых (пассажирских) поездов. Вагоно-километр рассчитывается раздельно для грузовых и пассажирских вагонов по маршрутам как произведение количества вагонов, включенных в состав поезда, на пройденное поездом расстояние.
Данный показатель характеризует объем работы вагонного парка. Он используется для определения ряда качественных показателей: динамической нагрузки вагона, среднесуточного пробега, коэффициента порожнего пробега и т. д. Кроме того, вагоно-километр отражает издержки железнодорожного транспорта, связанные с перевозкой грузов и пассажиров.
Единицей измерения общих затрат времени грузовых вагонов в рабочем и нерабочем парках является вагоно-час. Он определяется умножением среднесуточной величины парка вагонов на число суток в отчетном периоде и на 24 (число часов в сутках).
Для эффективного управления транспортными средствами в области железнодорожных перевозок периодически осуществляют перепись вагонов (контейнеров).
Подобные переписи регулярно проводятся в отношении: всей сети железных дорог, новостроек, подъездных путей предприятий и пр.
Переписи вагонов (контейнеров) проводятся, как правило, в мае, по определенным программам, предусматривающим следующие данные: станцию и дорогу переписи, номера вагонов (контейнеров); их род, типы, виды; грузоподъемность; время постройки, а также капитального ремонта и другую целевую информацию.
Относительно контейнеров следует добавить, что их перепись рекомендуется проводить одновременно на железнодорожном, морском и речном транспорте.
При составлении плана перевозок железнодорожным транспортом оптимальное распределение груженых и порожних вагонов разрабатывается с помощью критерия минимума общего пробега груженых и порожних вагонов или минимума издержек по пробегу вагонов.
В логистике для этих целей используется несколько моделей. Для примера приведем одну из них — модель комплексного регулирования парка вагонов.( СТР 126- 138 – транспортно-складская логистика)
Следует ввести обозначения:
г, j — районы транспортной сети;
п — число районов транспортной сети;
г — вид перевозимого груза (считается, что порожний вагон также перевозит груз нулевого веса);
R — число видов перевозимых грузов;
I — вид вагона для перевозки груза;
L — число видов вагонов;
QiT — прогноз (объем) перевозки r-го вида груза из района г в район j;
dlr — норма загрузки 1-го вида вагона r-м видом груза;
N, — число вагонов 1-го вида;
п.( — предельное число вагонов 1-го вида, которые можно использовать в г-м районе;
h., — расстояние между центрами г-ro и j-то районов;
t..r — время передвижения r-го вида груза из г-го района | в j-й;
Т — длительность периода, в течение которого произво- ! дятся перевозки;
х..г, — искомое число вагонов 1-го вида, предназначенных | для перевозки r-го вида груза из района г в район j.
Необходимо заметить, что модель комплексного регулирования парка вагонов можно использовать для решения задач перевозок любым видом транспорта, в том числе автомобильным.
Технико-экономический инструментарий управления автомобильным транспортом не менее обширен, чем железнодорожный. Ряд понятий и показателей уже были рассмотрены. Здесь отметим лишь специфические. В первую очередь следует остановиться на таких понятиях, как ездка и оборот. Навигационный период — это календарное время, в течение которого суда речного и/или морского флота находятся в непосредственной эксплуатации по прямому назначению. Он определяется с момента выхода судов с зимнего отстоя до постановки их на следующий зимний отстой.
Обобщенно длительность навигационного периода для пароходств исчисляется как средняя величина календарного времени работы судов в году в сутках.
Уточняя, добавим, что по самоходному флоту навигационный период определяется делением сило-суток в эксплуатации на мощность судна.
По несамоходному флоту навигационный период определяется делением тоннаже-суток в эксплуатации на тоннаж судна.
Относительно внеэксплуатационного периода можно сказать, что он представляет собой часть бюджета времени морских и речных транспортных судов, выраженная в судо-сутках или тоннаже-сутках. Раскрывая суть данного определения, детализируем его относительно различных видов водного транспорта.
Внеэксплуатационный период на речном транспорте — это время от момента появления на реках льда, обусловливающего закрытие навигации на осенне-зимний период, до очищения рек от льда, позволяющего открыть очередной сезон навигации. В течение указанного времени транспортные суда могут находиться:
♦ на доковании в резерве без команды;
♦ на капитальном ремонте;
♦ в ожидании зимнего ремонта при долгосрочной постановке на отстой.
Внеэксплуатационный период на морском транспорте — это время, в течение которого суда находятся:
♦ в подготовке к ремонту;
♦ в ремонте;
♦ на отстое и консервации в ожидании навигационного периода.
Для характеристики календарного времени, в течение которого судно находится в эксплуатации (на перевозках), определяют коэффициент использования календарного времени.
Применительно к отдельным судам данный показатель определяется как соотношение продолжительности эксплуатационного периода и продолжительности календарного периода.
Для нескольких судов или для всего флота этот коэффициент определяется как соотношение тоннаже-суток в эксплуатации и тоннаже-суток календарного периода.
Отметим еще несколько важных для водного транспорта показателей.
Судо-сутки — это показатель, характеризующий использование судна за определенный период времени не только по выполнению комплекса логистических функций, но и на нетранспортной работе (например, при пребывании судна в резерве с сокращением команды, в навигационном или капитальном ремонте, нахождении на приколе со снятием команды и т. д.).
Показатель ходовые сутки с грузом характеризует время пребывания судов в движении с грузом в цельносуточном исчислении без учета мощности судов.
Если же учитывать различие мощности и грузоподъемности судов, то время их пребывания в движении с грузом определяют: ♦ по буксирным судам — в сило-сутках с составом грузовых судов или плотов)
♦ по самоходным и несамоходным судам — в тоннаже-сутках с грузом.
Оборот судов. Показатель оборота судов включает время на выполнение различных логистических и нелогистических операций (ходовое время, стояночное время и т. д.).
Оборот судов на флоте рассчитывается в сутках путем деления тоннаже-суток (сило-суток) в эксплуатации на тон-наже-рейсы (сило-рейсы).
Ускорение оборота судов положительно влияет на сроки доставки грузов и себестоимость перемещения материальных потоков. Структура оборота тем лучше, чем выше коэффициент использования грузоподъемности и ниже коэффициент порожнего пробега, а также чем прогрессивнее нормы погрузки-выгрузки.
Применительно к водному транспорту в логистике для характеристики материальных потоков и функциональной деятельности логистических объектов широко используются понятия "входной груз" и "груз чистого отправления".
Под входными грузами понимаются:
♦ грузы, принятые данным пароходством от других па-роходств в пунктах передачи или на границе пароходства, В том числе грузы в самоходных или несамоходных судах при приемке их в краткосрочную аренду от смежных паро-ходств согласно узловому соглашению;
♦ грузы, принятые и отправленные пароходством после перевалки из судов смежного пароходства;
♦ грузы заграничного сообщения, отправленные пароходством после перевалки из судов другого пароходства независимо от места перевалки.
Грузы чистого отправления — это грузы, первично отправленные данным пароходством. К перевозкам грузов чистого отправления относятся:
♦ грузопотоки, отправленные на судах, находящихся в ведении пароходства; ♦ грузопотоки, не доставленные к месту назначения вследствие окончания навигационного периода, а затем отправленные по новому перевозочному документу;
♦ грузопотоки, доставленные к месту назначения, сданные грузополучателю и вновь предъявленные к перевозке из этого пункта по новому перевозочному документу.
Рассматривая различные аспекты логистической деятельности, уместно упомянуть об одном из наиболее гибких способов продвижения материальных потоков с помощью водного транспорта. Речь идет о трамповом судоходстве.
Трамповое судоходство представляет собой транспортировку грузов, перевозимых судовыми отправками, при которых работа грузовых судов не связана с постоянными районами плавания и портами погрузки и выгрузки.
При этом способе транспортировки цена перевозки устанавливается по соглашению сторон в зависимости от конъюнктуры фрахтового рынка.
В увязке с понятием "трамповое судоходство" на водном транспорте используется другое понятие — "трамповые грузы".
Трамповые грузы — это грузы, традиционно образующиеся в трамповом судоходстве. К ним относятся в основном массовые, насыпные и навалочные грузы (например, уголь, руда, зерно, удобрения, лес и другие материалы).
В то же время следует подчеркнуть, что, несмотря на широко используемый термин "трамповые грузы", трамповое судоходство не ограничивается перевозками лишь определенных видов грузов. Товарно-продуктовая номенклатура, в принципе, неограниченна.
В рамках раздела, освещающего технико-экономический инструментарий процессов управления в транспортной логистике, необходимо затронуть (или дополнить) еще несколько важных понятий.
В продвижении материальных потоков по логистическим цепям очень часто приходится использовать смешанные перевозки. Иначе их называют интермодальными перевоз-ками. По существу, это перевозки грузов несколькими видами транспорта по единому перевозочному документу с передачей груза в пунктах перевалки одним видом транспорта другому без участия грузовладельца. При этом договор перевозки с грузоотправителем от имени всех перевозчиков, принимающих участие в смешанных перевозках, заключает первый перевозчик.
Договор считается заключенным с момента приемки груза к перевозке. Он должен быть удостоверен подписями отправителя и транспортной организации, а также отмечен календарным штемпелем последней.
Сроки доставки грузов при интермодальных перевозках определяются по совокупности сроков их доставки каждым привлеченным перевозчиком в соответствии с правилами, действующими на различных видах транспорта.
Добавим, что каждый перевозчик несет ответственность за груз с момента принятия его от отправителя или другого перевозчика до момента передачи его смежному виду транспорта или выдачи грузополучателю.
Условия передачи грузов с одного вида транспорта на I другой в пунктах перевалки определяются так называемыми I узловыми соглашениями.
Конечный момент процесса перевозок характеризуется I показателем прибыло грузов. Данный показатель относится I к грузам, перевозка которых по эксплуатируемой сети пу- I тей сообщения в отчетном периоде завершена. В него вклю- I чают не только грузы, выданные грузополучателям после I завершения процесса перевозки, но и сданные другим пере- I возчикам. Основным источником для расчета показателя "при- I было грузов" являются перевозочные документы.
Еще одним важнейшим понятием, используемым в транс- I портной логистике, является — "запасы в пути" (транспорт- I ные запасы).
Грузоотправители и грузополучатели к запасам в пути I относят запасы продукции, находящиеся в момент учета, I непосредственно в процессе транспортировки, на складах Iтранспортных организаций или на перегрузочных станциях и пунктах трансформации грузовых потоков.
Факторами, определяющими размер запасов в пути, являются: время транспортировки; расстояния, на которые перевозятся грузы; рациональность установленных хозяйственных связей между поставщиками и получателями, коэффициент звенности товародвижения в процессе обращения, отраслевая и региональная специализации перевозчиков и пр.
Время пребывания запасов в пути исчисляется с момента погрузки на транспорт до прибытия грузов к месту назначения. Оно регламентируется утвержденными для различных видов транспорта нормативами сроков доставки грузов (в днях).
Резюмируя, отметим, что сокращение времени транспортировки является важнейшим резервом ускорения процессов товарного обращения и оптимизации продвижения материальных потоков по логистическим каналам и цепям.
2. Себестоимость перевозок, особенности ее определения.
Себестоимость по видам транспорта зависит от многих факторов:
- общего объема перевозок
- густоты перевозок
- дальности перевозок
- стоимости технических средств
- сопротивления движению
- расхода топлива
- процента порожнего пробега
- продолжительности использования по времени
- профиля пути
- климата и др.
Приведенные в таблице показатели себестоимости не полностью сопоставимы, так в методичках по речному и автомобильному транспорту не включены расходы на содержание путевого хозяйства. На железной дороги доля путевого хозяйства составляет 12-15%. На речном не отражены затраты на погрузо-разгрузочную операции. То же самое на железнодорожном транспорте, т.к. большинство погрузки осуществляется на подъездных путях промышленных предприятий. На речном транспорте не учтены расходы на создание плотов. На морском транспорте не отражены расходы на ледоколы и по перевозке грузов, зафрахтованных флотом. На воздушном и трубопроводном транспорте учитываются все затраты. Кроме того средняя себестоимость разных видов транспорта не сопоставимы также потому, что в них имеются разные величины грузонапряженности и дальности перевозок. Например, при изменении дальности себестоимость меняется.
Пример: Если принять себестоимость S грузовых перевозок на железной дороге при дальности на 800 км за единицу:
| дальность | 800 | 200 | 100 | 50 | 25 |
| Себестоимость в процентах | 100 | 163 | 350 | 630 | 1180 |
Себестоимость определяется: 

Эг – эксплуатационные расходы грузовых перевозок; Эп – эксплуатационные расходы пассажирских перевозок; 10 – тоннокм; åPl – грузооборот; åAl – пассажирооборот; k – коэффициент приведения.
Морской транспорт – k=1
Речной транспорт – k=10
Железнодорожный транспорт – k=2
Автомобильный транспорт – k=0,4
| 10 ткм коп | 10 пасскм коп | |
| 1) ж/д транспорт | 3,16 | 7,02 |
| 2) морской транспорт | 3,38 | 123,44 |
| 3) речной транспорт | 4,07 | 33,97 |
| 4) автомобиль | 59,02 | 13,78 |
| 5) воздушный транспорт | 168,97 | 15,49 |
| 6) трубопроводный транспорт | 2,08 | - |
| 7) метрополитен | - | 6,38 |
Различные методики и их несовершенство не позволяет делать точные оценки эффективности того или иного вида транспорта.
Себестоимость перевозок представляет собой сумму, выраженную в денежной форме, эксплуатационных расходов транспортной компании, приходящихся на единицу транспорта. На железнодорожном, речном, морском и воздушном транспорте она определяется как отношение величины эксплуатационных расходов транспортной компании к величине приведенной продукции. Показатель себестоимости перевозок определяют как отношение величины эксплуатационных расходов по перевозкам грузов, приходящихся в среднем на 1 тонна-км грузооборота, себестоимость пассажирских перевозок - как величину эксплуатационных расходов по перевозкам пассажиров, приходящихся в среднем на 1 пассажиро-километр пассажирооборота.
На рынке грузоперевозок себестоимость перевозок определяется для отдельных видов транспортной работы, за единицу которой принимаются:
По перевозкам на грузовых автомобилях, работающих по тарифу за перевезенную тонну - 1 тонна-км,
По перевозкам на автомобилях, работающих по часовому тарифу - 1 автомобиле-час,
По пассажирским автобусным перевозкам - 1 пассажиро-километр.
Себестоимость перекачки единицы продукции определяется:
На нефтепроводном транспорте - 1 км за 1 т перекачанного нефтегруза,
На газопроводном - 1 тыс. м3 газа.
Себестоимость перевозок может быть минимизирована посредством устранения неэффективных перевозок, сокращения порожнего пробега транспортного средства, увеличения коэффициента использования грузоподъемности подвижного состава, внедрения прогрессивных норм погрузки-выгрузки, механизации погрузочно-разгрузочных работ, внедрения рациональных методов расхода горюче-смазочных материалов и т.п.
Можно выделить основные статьи затрат при выполнении международных автоперевозок влияющие на себестоимость перевозки:
Затраты на приобритение горючесмазочных материалов.
Стоимость технического обслуживания и ремонта.
Затраты на восстановление износа шин.
Расходы на амортизацию по восстановлению подвижного состава.
Накладные расходы.
Заработная плата водителей.
«Суточные» и «квартирные» водителей.
Дорожные сборы.
Оплата платных магистралей, проезда через мосты и туннели, паромных переправ.
Оплата услуг фирм-экспедиторов.
Стоимость разрешения на проезд по иностранной территории.
Затраты на приобретение таможенных документов.
Затраты на приобретение накладной международного образца.
Стоимость страхования.
Ключевые способы снижения затрат перевозчика влияющие на себестоимость перевозки:
Сокращение затрат на топливо путем определения оптимальных мест заправки с учетом различной стоимости топлива в странах, а также разрешенного ввоза и вывоза топлива в страну или из страны.
Сокращение затрат на "суточные" и "квартирные" путем нормирования времени выполнения рейса и выплаты "суточных" и "квартирных" в соответствии с этим временем.
Сокращение расходов на дорожные сборы за счет выбора альтернативного маршрута во избежание пробега по данной территории, а также применение смешанных автомобильно-морских, автомобильно-железнодорожных сообщений.
Повышение производительности труда.
Методические рекомендации по определению себестоимости перевозки грузов автомобильным транспортом в международном сообщении (АСМАП) определяют, кто несет расходы, связанные с перевозкой грузов от продавца к потребителю. Данные расходы могут формировать до 40-50% себестоимости продукции.
Понятие «себестоимость перевозки» включает в себя следующие переменные:
Расходы по подготовке продукции к отгрузке (проверка качества и количества, отбор проб, упаковка).
Оплату погрузки груза на транспортные средства внутреннего перевозчика.
Оплату перевозки груза от пункта отправления до основных (магистральных) транспортных средств.
Оплату расходов по погрузке груза на основные (магистральные) транспортные средства в пункте экспорта.
Оплату стоимости транспортировки груза международным транспортом.
Оплату страхования груза в пути при морских перевозках.
Расходы по хранению груза в пути и перегрузке.
Расходы по выгрузке груза в пункте назначения.
Расходы по доставке груза от пункта назначения на склад покупателя.
Оплату таможенных пошлин, налогов и сборов при переходе таможенной границы.
Определение себестоимости перевозок АВИА
В основе учета перевозок лежит количество выполненных рейсов по каждой воздушной линии на конкретном типе ВС.
Себестоимость рейсов воздушных судов является основным показателем эффективности их эксплуатации на воздушных линиях. Себестоимость рейсов применяется для экономической оценки планируемых рейсов, для анализа эффективности эксплуатации ВС на существующей сети маршрутов, для обоснования тарифов за авиационные перевозки, при определении целесообразности приобретения или получения в лизинг новых воздушных судов и др.
Себестоимость рейсов представляет собой стоимостную оценку используемого авиационного топлива, материалов, энергии, основных фондов, трудовых ресурсов, затрат на пролеты и обеспечение взлет-посадок, а также других затрат, необходимых для выполнения регулярных и нерегулярных рейсов ВС по внутренним или международным воздушным линиям.
Себестоимость рейсов рассчитывается на основе "Методических рекомендаций по определению себестоимости внутренних и международных рейсов для российских авиакомпаний", одобренных ГС ГА Минтранса России в июле 1999г. В них предложены принципы определения расходов по статьям затрат по типам воздушных судов и их отнесения на себестоимость рейса и летного часа.
Расчет себестоимости рейсов производится по двум группам статей затрат, которые могут быть прямо включены в себестоимость рейсов, но при этом различаются способами расчета.
К первой группе прямых затрат отнесены статьи, непосредственно связанные с выполнением рейсов:
аэропортовые расходы;
затраты на оперативное техническое обслуживание ВС;
расходы на авиаГСМ;
аэронавигационные сборы;
сборы за метеообеспечение;
расходы на питание пассажиров и экипажей в рейсе;
расходы на содержание и питание экипажей в аэропортах;
расходы на страхование пассажиров (грузов);
отчисления агентствам.
Особенностью определения расходов по выше перечисленным статьям является использование в качестве расчетных условий сети маршрутов, по которым выполняются авиаперевозки. Такой подход позволяет в наибольшей степени учесть реальные условия эксплуатации: технико-экономические показатели ВС на авиалиниях, перевозки пассажиров и грузов, конкретные значения стоимости топлива, ставок сборов (тарифов) за аэропортовое и аэронавигационное обслуживание и другие затраты.
Ко второй группе прямых затрат отнесены статьи, зависящие от налета часов по типам ВС:
амортизация ВС и авиадвигателей;
затраты, связанные с лизингом ВС;
расходы на оплату труда летного состава и бортпроводников;
отчисления на социальные нужды;
расходы на периодическое техническое обслуживание;
расходы на капитальный ремонт ВС и АД;
расходы на страхование ВС, профессиональной ответственности и ответственности перед третьими лицами.
Расходы по перечисленным статьям определяются по типам ВС в целом за плановый или отчетный период.
Для дальнейших расчетов определяются число рейсов, налет часов и перевозки по типам ВС. Определяются удельные расходы по статьям, т.е. в расчете на летный час. Для учета в себестоимости рейсов удельные расходы умножаются на время парного рейса.
Расходы на оплату труда летного состава и бортпроводников могут зависеть не только от налета часов парком ВС авиапредприятия, но и от условий выполнения конкретных внутренних и международных рейсов. В таких случаях затраты на оплату труда рассчитываются с учетом различий в окладах, доплатах, надбавках, сдельных расценках за выполнение летной работы, в составе экипажей и в налете часов экипажами по рейсам.
К косвенным или накладным относятся затраты, связанные с выполнением нескольких рейсов, расходы на управление авиапредприятием, на содержание служб общехозяйственного назначения и прочие, которые прямо отнести на выполненные (или планируемые) рейсы не представляется возможным, а именно:
- расходы на оплату труда с отчислениями на социальные нужды наземного персонала;
- прочие производственные и общехозяйственные расходы, включаемые в себестоимость перевозки и не отраженные в указанных выше статьях.
Накладные расходы согласно методическим рекомендациям определяются по авиакомпании в целом, а затем распределяются на рейс или летный час по типам ВС согласно принятым в авиакомпании способам распределения затрат.
По типам ВС расходы по заработной плате наземного состава распределяются пропорционально объемам работ или расходам на заработную плату летного состава и бортпроводников.
Прочие производственные и общехозяйственные расходы распределяются по типам ВС следующим образом:
- на парк определенного типа ВС относятся затраты, непосредственно связанные с эксплуатацией данного ВС;
- остальные прочие расходы распределяются пропорционально планируемым или фактически выполняемым объемам работ.
Структура расходов по авиаперевозкам представлена в табл.3.2.
Такой подход к определению себестоимости рейса носит рекомендательный характер и позволяет более точно определять расходы на конкретный рейс. Но несмотря на это данные рекомендации имеют свои недостатки, которые связаны с тем, что в структуре себестоимости перевозок удельный вес косвенных расходов остается довольно высоким. Кроме того оценить эффективность выполнения рейса можно только по конечному результату (прибыль или убыток), так как промежуточные оценки отсутствуют.
Для российских авиакомпаний ввиду недостаточно высокой платежеспособности населения, высокого уровня конкуренции со стороны иностранных авиакомпаний, огромных затрат на содержание ВС и высокими ценами на авиаГСМ многие рейсы могут иметь отрицательный итоговый результат, что, в свою очередь скажется на принятии неправильного управленческого решения (например, закрытие рейса в связи с его убыточностью).
Для решения этой проблемы целесообразно использовать такую группировку расходов на рейс, которая позволила бы давать промежуточную оценку расходов на рейс на основе степеней покрытия расходов доходами.
Эксплуатационные расходы в своей общей массе нельзя рассматривать напрямую как функцию во времени, зависящую от объема выполненной за рейс транспортной работы. Лишь часть расходов меняется в результате изменений объемных показателей
1. прямые переменные расходы - включают в себя переменные статьи затрат, зависящие от конкретных условий полета, которые рассчитываются на основе оперативной информации о типе ВС, его загрузке, о расходе авиатоплива, времени и характеристиках трассы полета;
2. прямые постоянные расходы - включают в себя расходы, связанные с содержанием экипажа, авиатехники (ее техническим обслуживанием и ремонтом), с содержанием подразделений и служб по подготовке рейса;
3. косвенные расходы - включают в себя как прочие производственные затраты, связанные с продвижением услуг на рынок, с организацией собственной продажи, содержанием представительств авиакомпании, охраной труда экипажей и прочее, так и расходы на содержание аппарата управления авиакомпании.
При принятии управленческих решений о сокращении эксплуатационных расходов каждая из перечисленных выше групп разбивается на составляющие, что позволяет оценить все этапы организации и выполнения авиаперевозки и отнести их на конкретный рейс.
Экономическое содержание суммы покрытия (СП) таково: это часть доходов, которая остается в распоряжении авиапредприятия после покрытия некоторой группы затрат, т.е. это критерий окупаемости определенного этапа производства. Поэтому принцип распределения расходов и их соотнесение с той или иной группой расходов является наиболее важным моментом при оценке деятельности предприятия. От этого зависят не только промежуточные показатели анализа, но и общий результат работы авиапредприятия.
Принцип оценки эффективности рейса или авиалинии по степеням покрытия представлен в таблице 3.3.
Он сводится к следующему: СП 1 (сумма покрытия 1) - представляет собой величину, полученную путем вычитания из общей суммы доходов прямых переменных расходов. Данная величина показывает, какой объем доходов остается в авиакомпании для покрытия прямых и постоянных и косвенных затрат, которые характеризуют все подготовительные этапы перевозки, после оплаты расходов, связанных с выполнением непосредственно самой авиаперевозки (полетом ВС, перемещением коммерческой загрузки);
СП 2 (сумма покрытия 2) - представляет собой величину, полученную от вычитания из суммы доходов, оставшейся после оплаты прямых переменных расходов (СП1), прямых постоянных затрат, связанных с содержанием ВС, летного состава и бортпроводников. Данная величина показывает, какой объем доходов остается в авиакомпании для покрытия косвенных затрат после оплаты всех прямых эксплуатационных расходов;
СП 3 (сумма покрытия 3) - представляет собой величину, полученную от вычитания из суммы доходов, оставшейся после оплаты всех прямых расходов, прочих производственных затрат, связанных с пред- и послеполетным обслуживанием ВС и пассажиров, проведением коммерческих мероприятий по привлечению клиентов, осуществлением продажи перевозки и т.д. Данная величина показывает, какой объем доходов остается в авиакомпании после оплаты всех расходов, связанных с процессом подготовки и выполнения авиаперевозки.Расчеты за услуги, оказываемые транспортными организациями, осуществляются с помощью транспортных тарифов. Тарифы включают в себя:
• платы, взыскиваемые за перевозку грузов;
• сборы за дополнительные операции, связанные с перевозкой грузов;
• правила исчисления плат и сборов.
Как экономическая категория транспортные тарифы являются формой цены на продукцию транспорта. Их построение должно обеспечивать:
• транспортному предприятию — возмещение эксплуатационных расходов и возможность получения прибыли;
• покупателю транспортных услуг — возможность покрытия транспортных расходов.
Как показано в предыдущем параграфе, одним из существенных факторов, влияющих на выбор перевозчика, является стоимость перевозки. Борьба за клиентов, неизбежная в условиях конкуренции, также может вносить коррективы в транспортные тарифы. Например, железные дороги Российской Федерации испытывают сегодня серьезную конкуренцию автомобильного транспорта в области пере возок небольших партий грузов так называемых мелких малотоннажных отправок. Это оказывает сдерживающее влияние на рост соответствующих железнодорожных та рифов.
Умелым регулированием уровня тарифных ставок раз личных сборов можно стимулировать также спрос на дополнительные услуги, связанные с перевозкой грузов. На пример, относительное снижение в феврале 1994 г. уровня ставок сбора за охрану и сопровождение грузов подразделениями военизированной охраны Министерства путей со общения позволило увеличить спрос на эту услугу и повысить сохранность перевозимых грузов.
Системы тарифов на различных видах транспорта имеют свои особенности. Остановимся на их краткой характеристике. На железнодорожном транспорте для определения стоимости перевозки грузов используют общие, исключительные, льготные и местные тарифы.
Общие тарифы — это основной вид тарифов. С ее помощью определяется стоимость перевозки основной массы грузов.
Исключительными тарифами называются та рифы, которые устанавливаются с отклонением от общи тарифов в виде специальных надбавок или скидок. Эти та рифы могут быть повышенными или пониженными. Они распространяются, как правило, лишь на конкретные грузы
Исключительные тарифы позволяют влиять на размещение промышленности, так как с их помощью можно регулировать стоимость перевозки отдельных видов сырья, например, каменного угля, кварцитов, руды и т. п. Повышая или понижая с помощью исключительных тарифов стоимость перевозок в различные периоды года, добиваются снижения уровня неравномерности перевозок на железных дорогах. Этой же цели служат исключительные пониженные тарифы на перевозку грузов в устойчивых направлениях движения порожних вагонов и контейнеров.
Льготные тарифы применяются при перевозке грузов для определенных целей, а также грузов для самих железных дорог.
Местные тарифы устанавливают начальники отдельных железных дорог. Эти тарифы, включающие в себя размеры плат за перевозку грузов и ставки различных сборов, действуют в пределах данной железной дороги.
Кроме провозной платы железная дорога взимает с грузополучателей и грузоотправителей платы за дополнительные услуги, связанные с перевозкой грузов. Эти платы называются сборами и взыскиваются за выполнение силами железной дороги следующих операций: за хранение, взвешивание или проверку веса груза, за подачу или уборку вагонов, их дезинсекцию, за экспедирование грузов, погрузочно-разгрузочные работы, а также за ряд других операций.
Перечислим основные факторы, от которых зависит размер платы при перевозке грузов по железной дороге.
Вид отправки. По железной дороге груз может быть отправлен повагонной, контейнерной, малотоннажной — весом до 25 т и объемом до полувагона, и мелкой отправкой — весом до 10 т и объемом до 1/3 вместимости вагона.
Скорость перевозки. По железной дороге груз может перевозиться грузовой, большой или пассажирской скоростью. Вид скорости определяет, сколько километров в сутки должен проходить груз.
Расстояние перевозки. Провозная плата может взиматься за расстояние по кратчайшему направлению, так называемое тарифное расстояние при перевозках грузов грузовой или большой скоростью либо за действительно пройденное расстояние — в случае перевозки негабаритных грузов или перевозки грузов пассажирской скоростью.
Тип вагона, в котором осуществляется перевозка груза. По железной дороге груз может перевозиться в универсальных, специализированных или изотермических вагонах, в цистернах или на платформах. Размер провозной платы в каждом случае будет различным.
Принадлежность вагона или контейнера. Вагон, платформа или контейнер могут принадлежать железной дороге, быть собственностью грузополучателя или грузоотправителя.
Количество перевозимого груза — фактор, также оказывающий существенное влияние на стоимость перевозки.
На автомобильном транспорте для определения стоимости перевозки грузов используют следующие виды тарифов:
•сдельные тарифы на перевозку грузов;
• тарифы на перевозку грузов на условиях платных автотонно-часов;
• тарифы за повременное пользование грузовыми автомобилями;
• тарифы из покилометрового расчета;
• тарифы за перегон подвижного состава;
•договорные тарифы. На размер тарифной платы оказывают влияние следующие факторы:
• расстояние перевозки;
• масса груза;
объемный вес груза, характеризующий возможность автомобиля. По этому показателю все перевозимые автомобильным транспортом грузы подразделяют на четыре класса;
• грузоподъемность автомобиля;
• общий пробег;
• время использования автомобиля;
• тип автомобиля;
• район, в котором осуществляется перевозка, а также ряд других факторов.
Каждый из тарифов на перевозку грузов автомобильным транспортом учитывает не всю совокупность факторов, а лишь некоторые из них, наиболее существенные в условиях конкретной перевозки. Например, для расчета стоимости перевозки по сдельному тарифу необходимо принять во внимание расстояние перевозки, массу груза и его класс, характеризующий степень использования грузоподъемности автомобиля. При расчетах по тарифу за повременное пользование грузовыми автомобилями учитывают грузоподъемность автомобиля, время его использования и общий пробег.
Во всех случаях на размер платы за использование автомобиля оказывает влияние район, в котором осуществляется перевозка. Это объясняется устойчивыми различиями в уровне себестоимости перевозок грузов по районам. Коррективы в тарифную стоимость вносятся с помощью так называемых поясных поправочных коэффициентов.
На речном транспорте тарифы на перевозки грузов, сборы за перегрузочные работы и другие связанные с перевозками услуги определяются пароходствами самостоятельно с учетом конъюнктуры рынка. В основу расчета размера тарифа закладывается себестоимость услуг, прогнозируемая на период введения тарифов и сборов в действие, а также предельный уровень рентабельности, установленный действующим законодательством. Потребители транспортных услуг вправе запросить от пароходств и портов экономическое обоснование предлагаемых ими тарифов.
На морском транспорте оплата за перевозку грузов осуществляется либо по тарифу, либо по фрахтовой ставке, Если груз следует по направлению устойчивого грузового потока, то перевозка осуществляется системой линейного судоходства. При этом груз движется по расписанию и оплачивается по объявленному тарифу.
В том случае, когда при выполнении перевозки работа грузовых судов не связана с постоянными районами плавания, с постоянными портами погрузки и выгрузки, не ограничена определенным видом груза, то перевозка оплачивается по фрахтовой ставке. Фрахтовая ставка устанавливается в зависимости от конъюнктуры фрахтового рынка' и обычно зависит от вида и транспортных характеристик груза, условий рейса и связанных с ним расходов.|
3. Производительность труда на разных видах транспорта.
Экономическая сущность и значение производительности труда
Производительность труда является одним из важнейших показателей эффективности общественного производства. Применение этого показателя позволяет оценить эффективность труда, как отдельного работника, так и коллектива.
Производительность в широком понимании – это умственная склонность человека к постоянному поиску возможности усовершенствования того, что существует. Оно основано на уверенности в том, что человек может работать сегодня лучше, чем вчера, а завтра еще лучше. Оно требует постоянного совершенствования экономической деятельности.
При изучении вопроса об экономическом содержании производительности труда надо исходить из того, что труд, затрачиваемый на производство продукции, состоит из живого труда, расходуемого в данный момент в процессе производства продукции, и прошлого труда, овеществленного в ранее созданной продукции, используемый для производства новой.
Функцией живого труда является не только создание новой стоимости, но и перенесение рабочего времени, материализованного в вещественных элементах производства, на вновь создаваемый продукт. Поэтому производительная сила живого труда характеризуется его способностью создавать новые потребительные стоимости. Общая тенденция роста производительности труда проявляется в том, что доля живого труда в продукте уменьшается, а доля овеществленного труда (сырья, материалов) возрастает, но так, что общая сумма труда, заключающаяся в единице продукции, сокращается. В этом и состоит сущность повышения производительности труда.
Изменение соотношения между затратами живого и овеществленного труда может происходить по-разному в зависимости от уровня развития производительных сил. На высшем этапе научно-технического прогресса с ростом механизации и автоматизации производства снижаются одновременно затраты и живого и овеществленного труда на единицу продукции, но затраты живого труда снижаются в большей степени, чем затраты прошлого труда, поэтому доля живого труда в продукте уменьшается, а доля прошлого – увеличивается. Отсюда, чем выше уровень механизации и автоматизации труда, тем большую роль в его экономии будет играть сокращение затрат овеществленного труда.
Производительность труда является показателем экономического роста, то есть показателем, обеспечивающим рост реального продукта и дохода.
Увеличение общественного продукта на душу населения означает повышение уровня жизни.
Увеличение реального ВНП может осуществляться двумя способами:
1. Путем вовлечения в производство большего объема ресурсов;
1. Путем более производительного их использования.
ВНП = число отработ. чел.-час. х производит. труда
Отсюда производительность труда – общий объем продукции, деленный на количество затраченного, на его производство труда, или реальная часовая выработка на одного занятого.
В нашей стране в последние годы показатель производительности исчез из официальной статистики, прекратилась работа по планированию повышения производительности на всех уровнях управления, начиная с организаций, перестал пропагандироваться передовой опыт в этой области.
Предприятия различной формы собственности игнорируют основной принцип рынка: возможность их преуспевания определяется более низкими затратами на выпуск продукции по сравнению с ценой на нее. Следовательно, для увеличения реализации и прибыли необходимо снижение себестоимости и цены, а значит – жесткое внутрипроизводственное планирование на основе технико-экономических норм и нормативов (по видам работ, затратам труда, сырья, материалов и топливно-энергетических ресурсов, использованию производственных мощностей и удельным капитальным вложениям). Причем требуются планирование и координация масштабов и интенсивности деятельности по всем основным организационным элементам – занятость, структура кадров, технология и оборудование, продукция и рынок сбыта, которые являются важнейшими составляющими управления производительности труда.
Одной из основных проблем нынешнего кризисного состояния российской экономики является обвальное падение производительности труда. Как известно, динамика производительности труда, определяется взаимным изменением двух составляющих ее элементов – объемов производства и численности промышленно производственного персонала. В свою очередь, каждый из этих элементов определяется взаимодействием целой группы факторов, действующих, как правило, разнонаправлено.
Вопросам повышения производительности труда в условиях планово- централизованной экономики придавалось большое значение, хотя по ряду объективных и субъективных причин эти проблемы не могли решаться достаточно эффективно. Сейчас, к большому сожалению, вопрос эффективности, и в частности эффективности труда, практически никого не интересуют, ибо ошибочно считается, что для стабилизации экономики эта проблема не очень важна. Однако без остановки падения и последующего роста производительности труда не возможно добиться стабилизации общественного производства, не говоря уже о его росте. Главной причиной сокращения производительности труда стало падение объемов производства. Важным фактором спада является кризис неплатежей. Последние возникают вследствие как низкой платежной дисциплины, так и сокращающейся платежеспособности предприятий.
Наиболее просто объяснить обвальное падение производительности труда можно тем, что происходящий спад производства не сопровождается соответствующим сокращением численности занятых, а точнее – численности промышленно-производственного персонала. Происходит накопление скрытой, или латентной, безработицы. В связи с этим остановимся на факторе цены труда.
По большому счету, накопление скрытой безработицы было бы не возможным, если бы не уменьшалась реальная заработная плата. Поэтому содержание излишней численности возможно только за счет уменьшения реальной заработной платы всех работников.
В рыночной экономике заработная плата – цена рабочей силы, соответствующая стоимости предметов потребления и услуг, которые обеспечивают воспроизводство рабочей силы, удовлетворяя физические и духовные потребности работника.
Тенденция снижения цены труда – реальной заработной платы работников материального производства, особенно государственных предприятий, в значительной степени препятствует росту производительности труда.
В России заработная плата во много раз меньше, чем в Европе, а цены на многие товары достигли мирового уровня. Дешевый труд не может быть высокопроизводительным, обеспечивать экономию и рациональное использование материальных и других производственных ресурсов. Все это ведет к деградации производства, дальнейшему падению его объемов и ухудшению качества выпускаемой продукции. Повышение производительности труда в любой системе может происходить различными путями под воздействием различных факторов. Она может повышаться, если наблюдается одна из следующих ситуаций:
Объем продукции растет, а затраты снижаются;
Объем продукции растет быстрее, чем затраты;
Объем продукции остается без изменения, в то время как затраты снижаются (например, в результате реализации программ по сокращению издержек);
Объем продукции растет при неизменных затратах;
Объем продукции снижается более медленными темпами, чем затраты.
Рост производительности труда не может быть беспредельным.
Экономически разумные пределы роста производительности труда диктуются условием увеличения массы потребительных стоимостей и повышения качества продукции. Стремление к безмерному росту производительности труда за счет сокращения численности работающих может привести к снижению объема и качества выпускаемой продукции.
Основным источником удовлетворения потребностей трудящихся является оплата труда, будучи правильно организованной, она содействует вовлечению людей в производство, становиться важнейшим средством материального стимулирования непрерывного роста производства, повышения его эффективности.
Существует ряд принципов организации оплаты труда. К числу таких принципов следует отнести:
Принцип оплаты труда по его количеству и качеству. Это означает. Что при оплате труда должны учитываться не только его продолжительность во времени, выработка и другие количественные характеристики, но и его сложность, тяжесть, ответственность, т.е. качественные особенности.
Соблюдение этого принципа создает материальную заинтересованность трудящихся в повышении выработки, т.е. производительности своего труда, а также в улучшении качественных показателей работы, что важно в условиях перехода на интенсивный путь развития.
Принцип неуклонного повышения уровня оплаты труда. Непрерывный рост и совершенствование производства, и повышение производительности труда обеспечивают устойчивый рост национального дохода.
Принцип опережающего роста производительности труда по сравнению с ростом заработной платы. Повышение уровня оплаты труда должно осуществляться на основе роста его производительности. Неуклонный рост производительности труда – это экономическая база повышения заработной платы. При этом рост производительности труда должен опережать рост уровня оплаты труда. При соблюдении этого принципа обеспечивается материальное стимулирование роста производительности труда, сокращение затрат заработной платы на производство единицы продукции и снижение ее себестоимости, а следовательно, и повышение эффективности производства.
Принцип дифференциации уровня оплаты труда различных групп и категорий работающих. Он предполагает широкую дифференциацию уровня оплаты труда работающих в зависимости от его качественных особенностей и условий, в которых он протекает. Так, на тяжелых работах, на работах с вредными условиями труда и на работах в местностях с тяжелыми климатическими условиями устанавливается повышенная оплата труда.
В условиях рыночных отношений предприятиям предоставлены широкие права в хозяйственной деятельности. Предприятия сами устанавливают размеры средств, предназначенных на оплату труда, распределяют их, определяют формы и системы заработной платы. А также самостоятельно устанавливают разного рода доплаты, надбавки, премии с учетом деловых характеристик, условий, количества, качества и результатов труда, которые тоже не ограничены.
В связи с инфляцией важное значение приобретает индексация заработной платы.
Общий уровень заработной платы зависит от состояния экономики страны, от производительности труда, техники, технологии, организации производства.
На реальное содержание заработной платы оказывает влияние изменение цен на товары широкого потребления и услуги, ставки налогов. В связи с этим различают номинальную и реальную заработную плату.
Номинальная заработная плата – абсолютная сумма денежных средств, получаемая работником за определенный период или работу.
Реальная заработная плата – это количество материальных благ и услуг, которое может быть приобретено работником при данном уровне номинальной заработной платы.
Распределение материальных благ через заработную плату наиболее тесно увязывает интересы эффективного развития производства и потребления. Это проявляется в социальной и экономической функции заработной платы.
Социальное значение заработной платы состоит в том, что она выступает основным источником повышения благосостояния работников, стимулирует творческое отношение к труду.
Экономическое значение заработной платы сводится к тому, чтобы возместить затраты живого труда, создать условия для воспроизводства рабочей силы, материальной заинтересованности в индивидуальных и коллективных результатах труда, повышении эффективности производства, улучшении качественных показателей работы.
Планирование заработной платы включает определение фонда и средней заработной платы по категориям персонала.
Фонд заработной платы – это сумма денежных средств, предусмотренных в плановом периоде для выплаты работникам по тарифным ставкам, окладам и сдельным расценкам, а также премий из фонда заработной платы и всех видов доплат к основной заработной плате.
Планирование фонда заработной платы должно обеспечить повышение заинтересованности персонала в улучшении индивидуальных результатов труда и конечных результатов деятельности предприятия.
Повышение производительности труда связано с изменением всех затрат производства, поэтому необходимы управление этими процессами, их планирование и координирование (включая занятость, структуру кадров, технологию и оборудование, продукцию и рынки сбыта). В системе управления производительностью должны сочетаться также два направления: мотивационное и техническое, т.е. усиление заинтересованности в повышении производительности труда и обеспечение условий ее роста.
1.2.Показатели и методы измерения производительности труда
В новых условиях хозяйствования особенно остро стоит проблема значительного улучшения качества и совершенствования разработки плана по росту производительности труда. Это является важнейшим условием обеспечения экономически правильного соотношения между темпами прироста производительности труда и заработной платы.
В планах по росту производительности труда рассчитываются, как правило, два показателя: выработка - количество продукции, выработанной в единицу рабочего времени, и трудоемкость - количество рабочего времени, затраченного на изготовление единицы продукции. Выработка является наиболее распространенным показателем учета уровня производительности труда. В зависимости от того, в каких единицах измеряется объем выполненных работ и отработанное время, различают несколько методов расчета уровня выработки.
При натуральном методе исчисления выработки объем выполненных работ выражается в натуральных единицах (штуках, тоннах, метрах). Этот метод наиболее наглядно характеризует уровень производительности труда, однако он применим только для однородной продукции.
При условно-натуральном методе исчисления выработки объем выполненных работ выражается в условно-натуральных единицах (в тоннах условного топлива). Условно-натуральный метод применим для расчета показателя уровня производительности труда при выпуске неоднородной, но аналогичной продукции.
Трудовой метод измерения производительности труда предполагает, что объем выполненных работ, измеряется в отработанных нормо-часах. Трудовой метод применим ко всем видам продукции, независимо от степени ее готовности и широко используется при изучении относительного изменения производительности труда. Однако данный метод требует стабильности применяемых норм, в то время как последние по мере совершенствования организационно-технических условий труда постоянно изменяются.
На практике наиболее распространенным является стоимостной метод измерения производительности труда, основанный на использовании стоимостных показателей объема произведенной продукции. Преимущество этого метода состоит в возможности соизмерения разнородной продукции с затратами на ее изготовление как в рамках одного предприятия, отрасли, так и в масштабах всей страны.
При стоимостном методе производительность труда рассчитывается путем деления объема произведенной продукции (в рублях) на среднесписочную численность промышленно-производственного персонала.
Стоимостной метод измерения производительности труда имеет ряд разновидностей в зависимости от различных стоимостных выражений произведенной продукции (товарная, валовая, реализованная, чистая, нормативно-чистая продукция, нормативная стоимость обработки).
Показатели производительности труда, рассчитываемые по валовой, товарной, реализованной продукции, имеют сходные достоинства и недостатки.
Главный их недостаток состоит в том, что эти показатели не свободны оттого, что: при изменении ассортимента выпускаемой продукции, стоимости сырья и материалов, изменении удельного веса полуфабрикатов, комплектующих изделий, полученных от других предприятий, показатель выработки может возрастать или снижаться. Изменения уровня производительности труда могут в таких случаях оказаться не связанными с улучшением или ухудшением деятельности данного предприятия.
Сущность метода измерения производительности труда на основе нормативной стоимости обработки состоит в том, что для оценки объема выпускаемой продукции принимается не оптовая цена, а только та ее часть, которая условно характеризует лишь затраты живого труда. Показатель нормативной стоимости обработки не включает стоимость материалов, полуфабрикатов, общехозяйственные и общепроизводственные расходы, то есть ту часть материальных затрат, величина которых в основном зависит от деятельности данного предприятия.
Недостаток показателя нормативной стоимости обработки состоит в том.
Что он не учитывает прибавочного продукта.
В настоящее время большое значение придается измерению производительности труда по условно-чистой продукции, что обеспечивает более полное отражение работы данного предприятия, так как этот показатель исключает искажающее влияние ассортиментных сдвигов, кооперированных поставок, устраняет повторный счет.
Для расчета выработки этим способом определяется, прежде всего, объем условно-чистой продукции по формулам:
Му-ч = Цо – Мз + А; (1.1.)
Му-ч = З +П + А, (1.2.) где Му-ч – масса условно-чистой продукции (в руб.);
Цо – отпускная оптовая цена продукции (в руб.);
Мз – материальные затраты (в руб.);
А – сумма амортизации (в руб.);
З – заработная плата персонала с начислениями (в руб.);
П – прибыль предприятия (в руб.).
Измерение производительности труда может осуществляться также по нормативно- чистой продукции.
Нормативно-чистая продукция определяется как сумма заработной платы рабочих с начислениями плюс сумма заработной платы с начислениями других категорий промышленно-производственного персонала плюс нормативная прибыль, устанавливаемая по коэффициенту рентабельности. На основании этого расчет уровня производительности труда находится отношением объема производства нормативно-чистой продукции к численности промышленно-производственного персонала предприятия.
Величина затрат труда на производство определенного объема продукции может быть измерена количеством отработанных человеко-часов, человеко-дней, а также среднесписочной численностью работающих в месяц, квартал, год.
Рассчитывают часовую, дневную (месячную, квартальную, годовую) производительность труда.
Часовая выработка характеризует производительность труда в течение каждого часа работы.
Дневная выработка зависит от уровня часовой выработки и фактической продолжительности рабочего дня. Уровень месячной (годовой) выработки зависит не только от часовой выработки и продолжительности рабочего дня, но и от того, сколько рабочих дней приходится в среднем на одного работника в месяц (год).
В качестве второго показателя производительности труда используют трудоемкость, которую рассчитывают на единицу продукции и на весь товарный выпуск. Различают нормативную, плановую и фактическую трудоемкость.
Под нормативной трудоемкостью понимаются затраты труда на изготовление единицы продукции или выполнение определенного объема работ по действующим нормам.
Плановая трудоемкость отражает затраты труда на единицу продукции или на выполнение определенного объема работ, установленные с учетом изменения норм в планируемом периоде в результате внедрения организационно- технических мероприятий.
Фактическая трудоемкость определяется по фактически сложившимся затратам труда.
По видам затрат труда, включаемым в трудоемкость, различают: технологическую (Ттех), производственную (Тпроизв), полную (Тполн) трудоемкость, трудоемкость обслуживания (Тобсл), управления производством (Тупр).
Их соотношения и формулы расчета приведены в табл. 1.1.
Для обоснования плановых заданий по росту производительности труда, численности работающих определяется полная трудоемкость продукции - это затраты труда всех категорий промышленно-производственного персонала на изготовление единицы продукции.
Полная трудоемкость складывается из технологической трудоемкости, трудоемкости обслуживания и трудоемкости управления: tQ = tтех + tобс + tупр, (1.3.) где tтех - затраты труда основных рабочих по изготовлению единицы продукции; tобс - затраты труда вспомогательных рабочих основных цехов и всех рабочих вспомогательных цехов и служб; tупр - затраты труда всех других категорий ППП. tтех = tсд + tпов, (1.3.1.) где tсд, tпов - затраты труда соответственно сдельщиков и повременщиков. tобс = tтех ' Чвсп : Чосн, (1.3.2.) где Чвсп, Чосн - численность соответственно вспомогательных и основных рабочих.
Производственная трудоемкость определяется как сумма технологической трудоемкости и трудоемкости обслуживания - это затраты труда всех рабочих по изготовлению единицы продукции: tпр = tтех + tобс, (1.3.3.) tупр = tпр ' Чдр : (Чосн + Чвсп), (1.3.3а) где Чдр - численность других категорий ППП за исключением рабочих.
Показатели производительности труда (выработка и трудоемкость) связаны обратной зависимостью: если растет производительность труда, то сокращается трудоемкость. Но сокращается она не прямо пропорционально: выработка увеличивается в большей степени, чем уменьшается трудоемкость.
Их взаимосвязь можно выразить следующим образом:
ПВ = 100 х СТ / 100 - СТ и СТ = 100 х ПВ / 100 + ПВ, где ПВ - повышение выработки (в %);
СТ - снижение трудоемкости (в %).
Снижение трудоемкости обеспечивается внедрением новых технологий, модернизацией существующего оборудования, рационализацией производства и т.д.
Основным планируемым показателем на предприятии является годовая выработка, остальные показатели используются для анализа. При внутрипроизводственном планировании роста производительности труда широко применяется показатель трудоемкости продукции.
Транспортная работа, в отличие от промышленной деятельности, измеряется в натуральном выражении – объемом перевозок грузов и пассажиров
(количество и тонны, число перевезенных пассажиров), грузо- и пассажирооборотом (тонно-километры и пассажиро-километры). Поэтому производительность труда исчисляется в тонно-километрах за год, квартал и месяц на одного работника, занятого на перевозках грузов, и пассажиро- километрах – на одного работника, занятого на пассажирских перевозках.
Производительность труда работников, занятых на всех видах перевозок, определяется в приведенных тонно-километрах. На речном транспорте один пассажиро-километр приравнивается к одному тонно-километру (коэффициент приведения равен 1). Производительность труда в портах на перегрузочных работах также измеряется в натуральном выражении в тоннах перегруженного груза, приходящихся на одного работника за смену, месяц, квартал, год.
Производственная деятельность порта характеризуется объемами перегрузочных работ и перевозок грузов и пассажиров, обслуживанием пассажиро- грузооборота, различного рода платными, складскими подсобно- вспомогательными работами, объемом промышленной деятельности.
Производительность труда по порту исчисляется отдельно по перевозкам и по перегрузочным работам.
Производительность труда, исчисленная стоимостным методом на транспорте, не зависит от кооперированных поставок, сырья, полуфабрикатов и в меньшей степени зависит от материалоемкости продукции в отличие от промышленности. Определение сводного показателя производительности труда, рассчитанного ценностным методом, позволяет анализировать изменение его и средней заработной платы по предприятию в целом в динамике.
1.3. Методика планирование роста производительности труда с учетом влияния отдельных факторов
При планировании роста производительности труда используют методы: по технико-экономическим факторам, аналитический, моделирования и метод прямого счета.
При планировании производительности труда по технико-экономическим факторам в условиях развития рыночных отношений важно знать, какие факторы оказывают влияние на повышение производительности труда, какие из них тормозят его, какие имеются пути и ресурсы роста.
Факторы роста производительности труда - это те движущие силы, под влиянием которых изменяется ее уровень.
Темп роста производительности труда на планируемый год определяется отношением планового уровня производительности труда к базисному в процентах.
Расчет возможного роста производительности труда осуществляется на основе экономической оценки влияния отдельных факторов на уровень выработки продукции. В качестве меры влияния этих факторов на рост производительности труда принимается относительная экономия рабочей силы.
На внутреннем водном транспорте, как во всех отраслях народного хозяйства, применяется единая классификация факторов роста производительности труда, которая включает четыре укрупненные группы.
Каждая из них подразделяется на ряд конкретных факторов с учетом особенностей рассматриваемой отрасли. Применительно к внутреннему водному транспорту факторами, определяющими рост производительности труда, являются:
1. Повышение технического уровня производства: а) совершенствование характеристик водных путей и улучшение условий плавания (увеличение габаритов судового хода, снижение скоростей течения, продление навигации, качество судоходной обстановки); механизация и автоматизация шлюзования; увеличение пропускной способности шлюзов; б) совершенствование типов судов транспортного флота и улучшение их характеристик (грузоподъемности и мощности судов, типа силовой установки, материала корпуса, конструктивных особенностей, степени оснащенности судов средствами механизации и автоматизации всех судовых работ); в) совершенствование технической оснащенности и повышение эксплуатационно- технических характеристик портов (механизации и автоматизации перегрузочных работ, пропускной способности портов);
2. Совершенствование управления, организации производства и труда
– улучшение производственных и организационных структур управления во всех звеньях речного транспорта, методов управления – экономических, организационных и социально-психологических, научная организация труда плавсостава и береговых работников, улучшение использования рабочего времени, повышение квалификации кадров; совершенствование и дальнейшее внедрение технических средств управления – механизация учетных и вычислительных работ, создание автоматизированных систем управления и т.д.
Эта группа факторов в основном влияет на сокращение численности условно-постоянного контингента по абсолютной величине или на единицу продукции.
К условно-постоянному контингенту относятся работники береговых предприятий и организаций, относимые на перевозки, плавсостава служебно- вспомогательного флота и работники, занятые на зимнем и навигационном отстое флота.
Проектирование труда – от физического размещения индивидуального рабочего места до способа сообщения предприятия с внешней средой, в частности с поставщиками и клиентами, – важный ресурс повышения производительности. С другой стороны, на качество организации труда влияет ряд факторов, один из которых – повышение производительности. В последние годы по мере снижения темпов экономического роста, усиления конкуренции между предприятиями и ускорения темпов экономических структурных изменений роль качества организации труда как фактора повышения производительности возросла. В этих условиях все более важным становятся новые виды занятости, такие, как неполная занятость, работа в рамках проекта, являющиеся формами труда, при которых работники имеют больше свободной инициативы, приобретают высокую квалификацию и несут большую ответственность за коллективный результат труда (например, работа во временном творческом коллективе, выполнение проекта, сроки которого жестко ограничены, нетрадиционные формы организации рабочего времени).
Многие предприятия упрощают свои иерархические структуры, децентрализовывают («делегируют») ответственность и повышают гибкость своих организаций. Эти и другие перемены подталкиваются новыми управленческими подходами. Они включают программы улучшения связи между условиями труда и жизни, а также многочисленные управленческие концепции, такие, как «точно в срок», «реинжиниринг» и всеобщее управление качеством.
Возросли квалификационные требования к кадрам. Труд должен быть организован так, чтобы была возможность широко использовать теоретическое обучение с отрывом от производства. Таким образом, качество организации труда зависит как от структур (существующая форма организации), так и от процессов труда.
Экономический успех и конкурентоспособность фирмы имеют первостепенное значение, как для предприятия, так и для его рабочей силы. Для развития, ориентированного на перспективу, предприятиям все более необходимы квалифицированные, сознательные работники, которые могут и хотят активно содействовать техническим и организационным нововведениям.
Таким образом, здоровые работники и безопасные условия труда являются непременным условием продуктивной деятельности предприятия. Экономические цели предприятий не должны противоречить целям, которые они ставят в области условий и охраны труда, точнее, они дополняют друг друга. К сожалению, исследования показывают, что здоровье работников недостаточно ценится как фактор производства. Безопасность и охрана труда в широком смысле влияют также и на использование рабочего времени, повышение квалификации, организации труда и профессиональный рост.
Большое значение для роста производительности труда имеют инвестиции, используемые на образование, повышение квалификации, обучение новым профессиям, переподготовку кадров, то есть на улучшение качества рабочей силы. Применение современного технологического оборудования требует высококвалифицированной рабочей силы, для обучения, подготовки и переподготовки которой также необходимы немалые средства (то есть затраты на эти цели называются инвестициями в человеческий капитал).
Качество рабочей силы обусловливает 10-15% уровня производительности труда и занимает второе место после фактора научно-технического прогресса.
В нашей стране, к сожалению, сохраняется негативная тенденция ухудшения качественного состава рабочей силы. В значительной степени это связано с низким уровнем и несвоевременной выплатой заработной платы.
Происходит значительный отток квалифицированных кадров из отраслей промышленности из-за неудовлетворенности результатами труда и общей нестабильностью положения работников. Также немаловажным фактором качества рабочей силы является социально-психологический климат в коллективе и в стране в целом. Неуверенность в завтрашнем дне, боязнь потерять работу, усиливаемая отсутствием условий для передвижения рабочей силы, уменьшают стимулы к эффективному труду и снижают его производительность.
Существует четкая взаимосвязь между уровнем квалификации рабочей силы и повышением производительности. С одной стороны, производительный труд в реальных технологических, экономических и организационных условиях требует высококвалифицированных работников широкого профиля. С другой стороны, существующие профессиональные навыки и квалификация рабочей силы ограничивают возможности реакции предприятия на изменение рыночного спроса.
Таким образом, с экономической точки зрения «человеческие ресурсы» больше не могут оцениваться как технически заменяемый фактор, а должны рассматриваться как фактор, ограничивающий повышение производительности, внедрение нововведений и достижение экономического успеха.
При таких обстоятельствах важной задачей является убедить руководство предприятия, что профессиональная квалификация и мастерство являются важным фактором роста производительности и конкурентоспособности, повышение профессионального мастерства – это не только забота системы образования, но и главная составная часть политики производительности.
3. Изменение объема и структуры производства. Сюда включаются следующие факторы: изменение объема и среднего расстояния перевозок грузов, распределение их по направлениям движения, партионности, а также изменение структуры грузооборота по видам перевозок и родам грузов.
4. Отраслевые факторы – сезонность перевозок, продолжительность навигационного периода, показатели использования транспортного флота
(нагрузка, скорость хода, коэффициент задержек в пути, порожнего пробега, ходового с грузом времени, стояночного времени) и др.
Совершенствование внутренних водных путей оказывает большое влияние на показатели использования флота (коэффициент задержек в пути, нагрузку, скорость хода) и в первую очередь на валовую производительность работы флота. Увеличение мощности и грузоподъемности до оптимальных размеров позволяет повысить техническую оснащенность труда плавсостава, так как в этом случае снижаются штатные измерители на сила- или тоннаже-сутки.
Повышение мощности толкачей позволяет водить большегрузные составы, что увеличивает нагрузку на 1кВт/ч. Кроме того, с увеличением мощности возрастает скорость движения судов, что повышает валовую производительность работы флота. Все это непосредственно оказывает влияние на уровень производительности труда на перевозках.
Двусторонняя загрузка флота сокращает порожние пробеги судов и почти вдвое увеличивает производительность труда плавсостава. Изменение структуры грузооборота влияет на уровень средней производительности из-за колебания ее по видам перевозок. Наиболее высока производительность труда при буксировке плотов, самая низкая – на перевозках сухогрузов. Увеличение средней дальности перевозок сокращает удельный вес стоянок флота в портах в общем, эксплуатационном времени использования флота. Высокая производительность труда на перегрузочных работах и хорошая организация берегового и технического обслуживания флота сокращают время стоянок флота в портах, что повышает валовую производительность работы флота, а, следовательно, и труда на перевозках.
Производительность труда на перегрузочных работах зависит от многих факторов, которые, как и на перевозках, можно свести в укрупненные группы: повышение технического уровня производства; совершенствование управления, организации производства и труда; изменение объема и структуры производства; отраслевые факторы.
Повышение технического уровня производства сказывается, прежде всего, на производительности машин, технической оснащенности труда и, следовательно, на повышении интенсивности работ и сокращении стоянок флота под грузовой обработкой. На уровень производительности труда большое влияние оказывают типы перегрузочных машин, которые различаются по грузоподъемности, рабочим скоростям механизмов подъема, поворота, передвижения, а также по количеству обслуживающего персонала.
Насыщение портов оптимальным количеством различных типов механизации позволяет повысить уровень комплексной механизации и автоматизации работ, что является важнейшим фактором роста производительности труда.
Для повышения уровня производительности труда в порту немаловажное значение имеет совершенствование типов грузозахватных приспособлений – лесных грейферов, штивующих грейферов (при перегрузке навалочных грузов), электромагнитов. Выполнение перегрузочных работ по прямому варианту
(непосредственно с одного вида транспорта на другой, минуя склад) дает возможность сократить количество перевалок и снизить затраты труда на эти операции. При перевозках тарно-штучных грузов в пакетах, контейнерах, на поддонах снижается трудоемкость перегрузочных работ, повышается производительность труда по сравнению с погрузкой и выгрузкой их отдельными местами.
С целью совершенствования системы управления в крупных портах внедряются автоматизированные системы управления. Для разработки оптимального планирования, оперативного управления погрузкой и разгрузкой судов, вагонов, работой складов, механизацией, рейдовым и местным флотом используются ЭВМ. Автоматизируется также бухгалтерский и статистический учет. Все это позволяет сократить численность работников, относимых на перегрузочные работы, и увеличить производительность труда. Научная организация труда, комплексные, укрупненные бригады, совмещение профессий способствуют лучшему использованию технических средств, высвобождению рабочей силы и росту ее производительности. Сокращение потерь рабочего времени, увеличение его бюджета (количество рабочих дней, приходящихся на одного портового рабочего за навигацию) позволяет добиваться относительного уменьшения потребного контингента. Научная организация труда, ликвидация потерь рабочего времени, наиболее рациональное использование рабочей силы в портах являются важными факторами повышения производительности труда на перегрузочных работах.
Изменение объема работ и структуры производства также оказывает существенное влияние на производительность труда. С увеличением объема перегрузочных работ уровень производительности труда возрастает, так как условно-постоянный контингент (распорядительный и обслуживающий персонал) увеличивается медленнее, чем объем работ.
Трудоемкость отдельных родов груза различна, поэтому изменение структуры погрузки, выгрузки оказывает влияние на производительность труда, исчисленную по натуральному показателю объема производства.
Самостоятельной группой факторов производительности труда являются организация производства его специализация и кооперирование, а также методы управления ими. В нашей рыночной экономике в последние годы в значительной степени были разрушены сложившиеся производственные и экономические связи.
В результате приватизации крупные предприятия зачастую распадались на более мелкие, что затруднило проведение единой технической политики. Во главе приватизированных предприятий в основном осталось прежнее руководство, которое, не владея современными приемами менеджмента, предпочитает работать по старинке.
Поэтому организационная и управленческая структуры российских предприятий далеко не в полной мере отвечают требованиям рыночной экономике. Перестройка организационной структуры производства и совершенствование методов его управления требуют значительных финансовых затрат, однако они быстро окупаются благодаря повышению производительности труда и развитию экономики.
Таким образом, проведенный анализ свидетельствует, что факторы увеличения производительности труда пока не работают, а без их подключения нельзя рассчитывать на долговременный устойчивый рост экономики.
МЕТОДИКА РАСЧЕТА РОСТА ПРОИЗВОДИТЕЛЬНОСТИ ТРУДА
ПО ТЕХНИКО-ЭКОНОМИЧЕСКИМ ФАКТОРАМ
Методика расчета роста производительности труда основана на показателе относительной экономии численности работающих за счет влияния отдельных факторов на уровень выработки продукции.
Методика планирования производительности труда:
1. Определяется производительность труда базисного года:
[pic] (1.4.)
2. Определяется исходная численность промышленно-производственного персонала в отчетном (плановом) периоде, то есть условная численность, которая потребовалась бы для выпуска отчетного (планового) объема продукции при сохранении базового уровня выработки продукции на одного работающего (Чисх) по формулам:
[pic], или [pic], (1.5.) где Qпл – планируемый объем производства товарной, чистой или реализованной продукции, принятый для измерения производительности труда, руб.;
ПТбаз – выработка продукции на одного среднесписочного работающего в базисном периоде, руб.;
Чбаз – численность работающих в базисном периоде, чел.;
JQ – темп роста объема производства продукции в плановом периоде, %.
3. По каждому фактору, исходя из намеченных к внедрению мероприятий, из плана технического развития и организации производства определяется возможная экономия численности работающих. Экономия по всем факторам суммируется и получается общая экономия работающих.
[pic]4. Определяется численность планового года (очищенная) с учетом экономии по факторам:
[pic] (1.6.)
5. Рассчитывается производительность труда планового года:
[pic] (1.7.)
6. Процент повышения производительности труда:
[pic] (1.8.) или
Определяется плановый прирост производительности труда за счет внедрения организационно-технических мероприятий:
[pic], (1.8а) где [pic] – плановый прирост производительности труда,%;
Э – экономия численности работающих по всем факторам, чел.
Рассчитывается изменение (уменьшение «-», увеличение «+») исходной численности работающих под влиянием различных факторов роста производительности труда.
Расчет экономии численности работающих по отдельным факторам ведется в последовательности классификации факторов.
Структурные сдвиги в производстве. Для определения экономии затрат труда на перегрузочные работы из-за изменения их структуры по родам грузов используется следующая формула:
[pic], (1.9.) где Эстр – относительная экономия численности работающих за счет влияния структурных сдвигов в производстве, чел.;
Чj – базисная численность рабочих-механизаторов, занятых на перегрузке j-го рода груза, чел.;
[pic] – общий и частный индексы изменения объема перегрузочных работ по j-му роду груза.
Частные индексы определяются путем деления планируемых объемов перегрузочных работ по каждому роду груза на базисные объемы работ по этим же родам грузов.
Повышение технического уровня производства. Экономия затрат труда определяется путем сравнения численности рабочих, необходимой для производства планового объема продукции, до и после технического совершенствования производства. При этом учитываются сроки действия мероприятий.
Экономия численности за счет механизации и автоматизации производства, внедрения нового и модернизации действующего оборудования, внедрения новых технологических процессов может быть рассчитана по следующей формуле:
[pic] [pic], (1.10.) где Этех – относительная экономия численности за счет замены старого оборудования новым, за счет модернизации действующего оборудования или другого технического совершенствования, чел.;
К – общее количество оборудования, шт.;
К1 – количество оборудования, не подвергающегося техническому совершенствованию, шт.;
К2, К3, … – количество оборудования, подвергающееся техническому совершенствованию, шт.;
П2, П3, … – показатель роста производительности труда нового или модернизированного оборудования,%;
Т2, Т3, … – число месяцев действия нового или модернизированного оборудования.
Чисх – исходная численность работающих, чел.;
У – удельный вес рабочих, занятых обслуживанием станков в общей численности работающих, %.
Влияние ряда технических факторов можно определить через снижение технологической трудоемкости продукции до и после внедрения соответствующего мероприятия (изменение конструкций изделий, качества сырья, применения новых видов материалов и др.). При этом надо иметь в виду, что некоторые факторы могут, как уменьшать, так и увеличивать затраты труда.
Экономия рабочей силы в связи с изменением трудоемкости продукции (Эt) определяется по формуле:
[pic], (1.11.) где t0, t1 – трудоемкость единицы продукции до и после внедрения мероприятия, нормо-ч.;
Qпл – выпуск продукции в плановом периоде, шт.;
Т – число месяцев действия данного мероприятия;
Fэф – плановый фонд времени одного рабочего, час.;
Кв.н. – коэффициент выполнения норм выработки.
Совершенствование управления, организации производства и труда. В этой группе факторов учитываются те организационные факторы, которые обеспечивают повышение производительности труда вне связи с повышением технического уровня производства. Расчет относительного высвобождения численности ряда таких мероприятий можно определить прямым счетом
(увеличение норм и зон обслуживания, совершенствование управления производством). При этом учитывается изменение норм обслуживания и нормативов численности, проектные данные, опыт передовых предприятий.
Относительная экономия численности в результате специализации производства и расширения объема кооперированных поставок определяется с учетом увеличения удельного веса покупных изделий и полуфабрикатов в объеме продукции по формуле:
[pic], (1.12.) где КПбаз, КПпл – удельный вес кооперированных поставок, соответственно в базисном и плановом периодах,%;
Qпл – объем производства в плановом периоде, руб.;
ПТбаз – выработка на одного работающего в базисном периоде, руб.
Экономия численности работающих за счет изменения количества рабочих дней в плановом периоде (Эраб.д) (длительности отпусков, совпадение общих выходных дней с праздничными, уменьшение невыходов по болезни и с разрешения администрации, ликвидация прогулов) определяется по формуле:
[pic], (1.13.) где Фбаз, Фпл – число рабочих дней одного рабочего, соответственно в базисном и плановом периодах, дней;
Ураб – удельный вес рабочих в общей численности работающих, %.
Относительная экономия численности за счет сокращения внутрисменных потерь рабочего времени (Эвн.п) определяется по формуле:
[pic], (1.14.) где Пбаз, Ппл – внутрисменные потери рабочего времени соответственно в базисном и плановом периодах, %.
Экономия численности за счет сокращения потерь от брака в производстве
(Эп.б.) определяется по формуле:
[pic], (1.15.) где Ббаз, Бпл – потери от брака в процентах к себестоимости продукции соответственно в базисном и плановом периодах, %;
[pic] – численность основных рабочих в базисном периоде, чел.
Относительная экономия рабочей силы за счет снижения численности рабочих, не выполняющих нормы выработки (Эн.в.), рассчитываются по формуле:
[pic], (1.16.) где Праб.н –плановое повышение уровня выполнения норм выработки группой рабочих, не выполняющих нормы выработки, %;
Ур.-с.н – удельный вес группы рабочих-сдельщиков, не выполняющих нормы выработки, в общей численности рабочих, %;
0,5 – коэффициент повышения уровня выполнения норм, происходящего на протяжении всего планируемого периода.
Относительное высвобождение численности основных рабочих-сдельщиков за счет повышения квалификации, интенсивности труда, приобретения практических навыков (Экв.) рассчитывается по формуле:
[pic], (1.17.) где Кскор.вып.н.в. – скорректированный средний коэффициент выполнения выработки рабочим-сдельщикам в плановом периоде;
Квып.н.в. –средний коэффициент выполнения норм выработки в плановом периоде;
Ур.-с. – удельный вес рабочих-сдельщиков в общей численности, работающих в плановом периоде, %.
[pic], (1.17.1.) где Ксб – средний процент выполнения норм выработки рабочими сдельщиками, достигнутый в конце базисного периода;
В – плановый процент снижения устаревших норм.
Изменение объема производства и удельного веса отдельных видов продукции. Влияние изменения объема производства необходимо учитывать в связи с тем, что численность некоторых категорий работающих возрастает в меньшей степени, чем объем производства. Практически увеличение объема производства достигается без увеличения общей численности промышленно- производственного персонала.
Экономия численности за счет изменения объема производства (ЭQ) определяется по формуле:
[pic], (1.18.) где ЭQ –экономия численности за счет изменения объема производства, чел.;
Ро – темп роста объема производства, % ;
Рч – темп роста численности работающих (кроме основных рабочих), % .
Экономия рабочей силы в связи со сдвигом в составе (ассортименте) продукции (Эа) устанавливается следующим образом:
[pic], (1.19.) где tб, tпл – удельная трудоемкость тыс. руб. продукции соответственно в базисном и плановом периодах, нормо-час.;
Qпл – объем продукции в плановом году, тыс. руб.;
Кв.н. – коэффициент выполнения норм выработки в плановом году;
Фпл – плановый фонд времени одного рабочего, час.
Влияние природных условий рассчитывается с учетом изменения трудоемкости продукции по формуле:
[pic], (1.20.) где Эпр.у. – относительная экономия численности за счет влияния природных условий, чел.;
Т0, Т1 – трудоемкость единицы продукции при прежних и изменившихся природных условиях, нормо-час.;
К1 –коэффициент, учитывающий время изменения природных условий.
При расчете роста производительности труда на плановый период учитывается дополнительная экономия численности, которая будет получена от мероприятий, внедренных в предшествующем периоде, но не давших полного эффекта.
Для обоснования плана по росту производительности труда на предприятии необходимо учитывать стратегию предприятия, а также влияние тех факторов, которые непосредственно связаны с трудовыми усилиями коллектива. Они должны найти свое отражение в плане технического развития предприятия. Если запланированные мероприятия плана технического развития не обеспечивают нужного роста производительности труда с тем, чтобы обеспечить увеличение объема производства с прежней численностью рабочих, то предприятию необходимо изыскать дополнительные резервы. Требуется полная увязка расчетов роста производительности труда по организационно-техническим факторам с планом технического развития предприятия.
Величину прироста производительности труда по каждому фактору в отдельности (ПТф) можно определить по формулам:
[pic], (1.20.)
[pic], (1.20а) где Э – экономия численности, исчисленная по всем факторам, чел.;
Эф – экономия численности работающих по отдельному фактору, чел.;
ПТ – общий прирост производительности труда по всей совокупности факторов, %.
Удельный вес отдельного фактора в общем, росте производительности труда (Уф) определяется по формуле:
[pic]. (1.21.)
Общий прирост производительности труда равен сумме прироста по всем факторам.
Планирование производительности труда методом прямого счета осуществляется путем деления планируемого объема производства (или объема продаж) на плановую среднесписочную численность работников предприятия. При этом сравниваются выработки планового и базисного периодов. Задача этого метода сводится к планированию объема производства (объема продаж) и численности работающих.
2. Технико-экономическая характеристика деятельности и анализ производительности труда на погрузочно-разгрузочных работах
4. Скорость и сроки доставки грузов.
5. Расчет сроков доставки грузов.
| Обратимся к регулированию сроков доставки грузов в гражданском законодательстве. Согласно ст.792 ГК РФ перевозчик обязан доставить груз… пункт назначения в сроки, определенные в порядке, предусмотренном транспортными уставами и кодексами, а при отсутствии таких сроков в разумный срок. Таким образом, сроки осуществления доставки грузов устанавливаются в предусмотренном законодательством порядке, а если таковые не установлены, то применяется критерий разумного срока. Обратимся к транспортному законодательству. На железнодорожном транспорте сроки доставки грузов и правила исчисления сроков доставки утверждаются в соответствии со ст. 33 Федерального закона от 10 января 2003 г. N 18-ФЗ "Устав железнодорожного транспорта Российской Федерации" (с изменениями от 7 июля 2003 г.) (далее по тексту УЖТ РФ) федеральным органом исполнительной власти в области железнодорожного транспорта по согласованию с федеральным органом исполнительной власти в области экономики. В Постановлении Пленума ВАС РФ от 06.10.2005 N 30 "О некоторых вопросах практики применения Федерального закона "Устав железнодорожного транспорта РФ" подчеркивается, что при рассмотрении споров о сроках доставки грузов арбитражным судам надлежит руководствоваться Правилами исчисления сроков доставки грузов железнодорожным транспортом, утвержденными приказом МПС РФ от 18 июня 2003 г. N 27[1] (далее по тексту – Правила). Правилами предусмотрено, что исчисление срока доставки груза начинается с 0.00 часов дня, следующего за днем документального оформления приема груза для перевозки, указанного в оригинале накладной и в дорожной ведомости в графе "Календарные штемпеля", в корешке дорожной ведомости и в квитанции о приеме груза в графе "Календарный штемпель перевозчика на станции отправления". Нормативные сроки доставки грузов, в том числе порожних вагонов, контейнеров, не принадлежащих перевозчику, исчисляются на железнодорожной станции отправления исходя из расстояния, по которому рассчитывается плата за перевозку грузов, согласно тарифному руководству с учетом железнодорожных направлений и видов отправок, по которым осуществляются перевозки грузов. Правилам закреплены таблицы для расчета сроков перевозки: при перевозке грузовой скоростью повагонных, контейнерных и мелких отправок в зависимости от расстояния перевозки; при перевозке большой скоростью; при перевозке маршрутными отправками и др. вопросы. Базисной величиной для определения срока доставки грузов является норма суточного пробега вагонов в километрах в зависимости от вида конкретной отправки, ее скоростного режима и общей длины пути следования. Так, к примеру, закреплено, что срок доставки грузов такими отправками, за исключением перевозки животных, исчисляется из расчета нормативного срока - 550 км в сутки (п.2.3.1 Правил). Полученный, с учетом всех факторов, путем расчетов срок доставки груза можно сравнить с фактической продолжительностью перевозки конкретного груза и на этой основе сделать вывод о соблюдении (или, напротив, нарушении) перевозчиком условия договора перевозки о сроке доставки груза. Иные транспортные акты более скупо регулируют порядок исчисления сроков. В соответствии со ст. 109 Воздушного кодекса РФ от 19 марта 1997г.[2] (с изменениями от 8 июля 1999 г., 22 августа, 2 ноября, 29 декабря 2004 г., 21 марта 2005 г.) перевозчик обязан доставить принятый к перевозке груз в пункт назначения в установленный срок, который определяется федеральными авиационными правилами или установленными перевозчиком правилами воздушных перевозок, если иное не предусмотрено договором воздушной перевозки. В специальной литературе представляется следующий порядок исчисления сроков касаемо воздушной перевозки. Сроки доставки груза воздушным транспортом исчисляются с момента приема его к перевозке в аэропорту отправления и до момента извещения получателя о прибытии груза в аэропорт назначения с учетом норм времени на хранение, переработку груза в аэропортах первоначальных, промежуточных, назначения и на перевозку воздушными судами. Исчисление срока доставки начинается с 00 часов суток, следующих за днем приема груза к перевозке. Сроки доставки тяжеловесного, негабаритного и мелких партий груза, принятых к перевозке в пункты, куда не установлено регулярное движение воздушных судов, определяются перевозчиком по договоренности с отправителем, о чем делается соответствующая отметка в грузовой накладной. Сроки доставки груза на периодические массовые перевозки груза воздушным транспортом устанавливаются авиационными предприятиями ГА по договоренности с отправителем и указываются в договорах[3]. Согласно ст. 76 Кодекса внутреннего водного транспорта Российской Федерации от 7 марта 2001 г. N 24-ФЗ[4] (с изменениями от 5 апреля, 30 июня 2003 г., 29 июня 2004 г.) перевозимые грузы должны доставляться в установленные сроки; сроки доставки и правила их исчисления определяются в соответствии с правилами перевозок грузов. Согласно Уставу автомобильного транспорта РСФСР (утв. постановлением СМ РСФСР от 8 января 1969 г. N 12)[5] (в действующей редакции) (далее по тексту УАТ) сроки доставки грузов и порядок их исчисления устанавливаются для перевозок в междугороднем сообщении (ст. 69). Применительно к остальным перевозкам закреплен лишь общий принцип: автотранспортные организации обязаны перевозить грузы по кратчайшему маршруту, открытому для движения автомобильным транспортом, за исключением случаев, когда по дорожным условиям более рациональна перевозка с увеличением пробега (ст. 70 УАТ). Такой подход обеспечивает доставку груза в разумный срок, о котором говорится в ст.792 ГК РФ. Кодекс торгового мореплавания Российской Федерации от 30 апреля 1999 г. N 81-ФЗ[6] (с изменениями от 26 мая 2001 г., 30 июня 2003 г., 2 ноября 2004 г., 20 декабря 2005 г.) (далее по тексту – КТМ РФ) закрепляет, что морской перевозчик обязан доставлять грузы в срок и маршрутом, которые установлены соглашением сторон, а при отсутствии соглашения - в срок, который разумно требовать от заботливого перевозчика с учетом конкретных обстоятельств (ст. 152 КТМ РФ). В договорах фрахтования сроки доставки груза, как правило, не предусматриваются. Обычно указывается, что судно будет следовать "со всей возможной скоростью" или "с разумной скоростью", под которой понимается не максимальная, а наиболее экономичная скорость[7]. Итак, подводя итог необходимо констатировать, что действующие транспортные уставы и кодексы лишь констатируют обязанность перевозчика доставлять перевозимые грузы в установленные сроки, отсылая во всем остальном к правилам перевозок грузов, либо к соответствующим условиям договора. Срок доставки груза – не является существенным условием договора, если такое условие не обговорено как существенное. Таким образом, в случае отсутствия в тексте договора указания на срок его перевозки должны учитываться специальные транспортные нормативные акты, а при отсутствии таких сроков критерий «разумный срок». Отдельно оговоримся, что сроки доставки грузов могут устанавливаться в договорах об организации перевозок, то есть, конкретный договор (заявка не перевозку) могут и не содержать условие о сроке доставки, имея отсылку к соглашению об организации перевозок. Что касается порядка исчисления сроков доставки грузов в международном сообщении - они регулируются соответствующими международными договорами и соглашениями. ПРАВИЛА ИСЧИСЛЕНИЯ СРОКОВ ДОСТАВКИ ГРУЗОВ ЖЕЛЕЗНОДОРОЖНЫМ ТРАНСПОРТОМ 1. Сроки доставки грузов, а также порожних вагонов,принадлежащих грузоотправителю, грузополучателю, или арендованных ими, исчисляются на железнодорожной станции отправления, исходя из расстояния, по которому рассчитывается провозная плата, с учетом железнодорожных направлений, по которым осуществляются перевозки грузов. Неполные сутки при исчислении сроков доставки грузов считаются за полные. Расчетное время - московское. Сроки доставки грузов, перевозимых в пределах Российской Федерации, а также порожних вагонов, принадлежащих грузоотправителю, грузополучателю, или арендованных ими, определяются исходя из следующих норм суточного пробега вагона в километрах на весь путь следования: 1.1. При перевозке грузовой скоростью повагонных, контейнерных и мелких отправок в зависимости от расстояния перевозки:
Сроки доставки порожних вагонов, принадлежащих грузоотправителю, грузополучателю, или арендованных ими исчисляются по нормам суточного пробега вагона для повагонных отправок. 1.2. При перевозке большой скоростью
Перечень железнодорожных направлений, по которым осуществляются перевозки грузов большой скоростью, публикуется в Сборнике правил перевозок и тарифов на железнодорожном транспорте. Скорость перевозки грузов выбирает и указывает в транспортной железнодорожной накладной (далее накладная) грузоотправитель. Если допускается перевозка данных грузов только большой скоростью,грузоотправитель должен указать данную скорость (Статья 20 Федерального закона "Транспортный устав железных дорог Российской Федерации"). 1.3. Маршруты (отправительские маршруты) и контейнерные поезда независимо от расстояния перевозки - 550 км в сутки. 1.4. Животные, перевозимые маршрутами - 450 км в сутки. 1.5. Животные, перевозимые одиночными вагонами и группами вагонов - по нормам суточного пробега для повагонных отправок. 2. Исчисление срока доставки груза начинается с 24 часов дня приема груза, для перевозки, указанного на накладной в календарном штемпеле железнодорожной станции и квитанции о приеме груза. Дата истечения срока доставки груза указывается железнодорожной станцией отправления в выдаваемой грузоотправителю квитанции о приеме груза. Если груз, подлежащий отправлению с мест общего пользования, завезен на железнодорожную станцию отправления ранее назначенного для его приема дня, то срок доставки груза исчисляется с 24 часов дня, в который этот груз принят для перевозки. Железнодорожная станция в накладной делает отметку в графе "Погрузка назначена ........ число ....... месяц". 3. Сроки доставки грузов, для которых предоставлены отдельные вагоны, включая отправки группами вагонов, исчисляются исходя из норм суточного пробега, установленных для повагонных отправок. При перевозке в одном вагоне более одной отправки грузов назначением более чем на одну железнодорожную станцию срок доставки исчисляют исходя из норм суточного пробега, установленных для мелких отправок. 4. При перевозке грузов отправительскими маршрутами сроки доставки грузов исчисляются исходя из нормы суточного пробега, установленной для маршрутных отправок. Эти сроки исчисляются: 4.1. для прямых маршрутов, погруженных грузоотправителем одной железнодорожной станции отправления на одну железнодорожную станцию назначения, - исходя из суточной нормы пробега, установленной для маршрутных отправок, на все расстояние перевозки; 4.2. для отправительских маршрутов, направляемых на железнодорожные станции распыления (расформирования), - отдельно на расстояние от железнодорожной станции отправления до железнодорожной станции распыления (расформирования), - исходя из нормы суточного пробега, установленной для маршрутных отправок, и отдельно от железнодорожной станции распыления (расформирования)до железнодорожной станции назначения - исходя из норм суточного пробега, установленных для повагонных отправок, при этом нормативным поясом дальности считается оставшееся расстояние перевозки; 4.3. при наличии в составе маршрута ядра (основной части отправительского маршрута установленного веса, которая следует без переформирования до железнодорожной станции назначения в случае изменения веса поезда в пути следования) - исходя из нормы суточного пробега для маршрутных отправок только для вагонов, включенных в указанное ядро. 5. Сроки доставки грузов, исчисленные исходя из норм суточного пробега, предусмотренных настоящими Правилами, увеличиваются на: 5.1. 2 суток - на операции, связанные с отправлением и прибытием груза (1 сутки для железной дороги отправления и 1 сутки для железной дороги назначения); 5.2. 2 суток - для каждой промежуточной железнодорожной станции, производящей погрузку (выгрузку) рефрижераторной секции, в случаях ее погрузки (выгрузки) на нескольких железнодорожных станциях; 5.3. 1 сутки - на операции, связанные с передачей и приемом грузов, при перевозке грузов с переправой через водные пути сообщения (моря, реки, проливы, озера) на судах и паромах; 5.4. 1 сутки - при передаче на другой вид Транспорта, приему с другого вида транспорта грузов, перевозимых в прямом смешанном сообщении; 5.5. 2 суток - при перегрузке грузов в вагоны с колесными парами другой ширины колеи; 5.6. 1 сутки- при перестановке вагонов на колесные пары другой ширины колеи; 5.7. 1 сутки - на операции, связанные с переадресовкой груза; 5.8. 1 сутки - при перевозке грузов на расстояние до 1000 км, 2 суток - при перевозке на расстояние свыше 1000 км грузов, перевозимых мелкими отправками и в контейнерах, для их накопления и сортировки на грузосортировочных платформах; 5.9. 1 сутки - при отправлении грузов с железнодорожных станций Московского и Санкт-Петербургского узлов или прибытии грузов на железнодорожные станции этих узлов, а также при следовании грузов транзитом через эти узлы. 5.10. 1 сутки - в случае осуществления на пограничных пунктах пропуска Российской Федерации пограничного, таможенного, санитарно-эпидемиологического, ветеринарного, фитосанитарного и других видов государственного контроля. 5.11. 1 сутки - в случае определении массы груза на вагонных весах близлежащей к станции отправления железнодорожной станции. В этом случае при приемке груза в графе накладной "Отметки железной дороги" и в дорожной ведомости под наименованием груза делается отметка следующего содержания: "Определение массы груза на вагонных весах ст. _________ ж.д.". 6. Сроки доставки грузов увеличиваются на все время задержки в случаях: 6.1. задержки грузов таможенными и другими органами государственного контроля в пути следования более, чем на одни сутки; 6.2. задержки грузов в пути следования для исправления погрузки, устранения перегруза грузов, допущенного по вине грузоотправителя; 6.3. задержки вагонов, контейнеров в пути следования, связанной с исправлением их технического или коммерческого состояния, возникшей по независящим от железной дороги причинам; 6.4. задержки вагонов, контейнеров в пути следования вследствие непреодолимой силы, военных действий, блокады, эпидемий или иных обстоятельств, препятствующих осуществлению перевозок грузов. О причинах задержки груза, предусмотренных пунктом 6 настоящих Правил, и о продолжительности этой задержки железной дорогой составляется акт общей формы в двух экземплярах. Первый экземпляр акта прикладывается к перевозочным документам и на железнодорожной станции назначения - к дорожной ведомости. В графе накладной "Отметки железной дороги" и в дорожной ведомости под наименованием груза делается отметка следующего содержания: "Груз задержан на станции ________________ж.д. для________________ 7. Сроки доставки негабаритных грузов, кроме грузов 6-ой степени негабаритности и сверхнегабаритных, определяются по фактически пройденному расстоянию, исходя из следующих норм: 1 сутки на каждые 100 км (при расстоянии менее 100 км считаются за полные) следования - для грузов с первой по четвертую степень негабаритности включительно; 1 сутки на каждые 80 км (при расстоянии менее 80 км считаются за полные) следования - для грузов пятой степени негабаритности. Сроки доставки для грузов шестой степени негабаритности и для сверхнегабаритных, требующих специального ограничения скорости на весь путь следования, не устанавливаются. Сроки доставки грузов с 1-ой по 5-ую степень негабаритности (включительно) увеличиваются на: 1 сутки - на отправление, с момента получения железнодорожной станцией разрешения из управления железной дороги или МПС России на пропуск груза; 1 сутки - на каждую передачу груза с одной железной дороги на другую железную дорогу; Сроки доставки грузов с 1-ой по 5-ую степень негабаритности (включительно) увеличиваются в случаях, предусмотренных в пунктах 5 и 6 настоящих Правил. 8. Сроки доставки опасных грузов определяются по фактически пройденному расстоянию с учетом обхода железнодорожных узлов, перечень которых публикуется в установленном порядке, исходя из норм суточного пробега, указанных в пункте 1.1. настоящих Правил. 9. Сроки доставки грузов на железнодорожные станции строящейся железнодорожной линии или отправляемых с железнодорожных станций такой линии на общую сеть железных дорог, перевозимых по единому перевозочному документу, определяются как сумма сроков доставки отдельно за расстояние по общей сети железных дорог и "отдельно за расстояние по строящейся железнодорожной линии. Сроки доставки грузов за расстояние по строящейся железнодорожной линии исчисляется исходя из уменьшенных в два раза норм суточного пробега, указанных в пункте 1.1. настоящих Правил, с увеличением на двое суток на осуществление операций по передачегрузов с общей сети железных дорог на строящуюся железнодорожную линию (и обратно). В случае перевозки грузов в рефрижераторной секции в адрес нескольких получателей, расположенных на одной или разных железнодорожных станциях назначения строящейся железнодорожной линии, при исчислении срока их доставки по строящейся железнодорожной линии нормы суточного пробега, указанные в пункте 1.1. настоящих Правил, уменьшаются в три раза. 10. Груз считается доставленным в срок, если на железнодорожной станции назначения он выгружен средствами железной дороги или если вагон, контейнер с грузом подан для выгрузки средствами грузополучателя до истечения установленного срока доставки. Дата уведомления получателя и таможенных органов о прибытии груза, находящегося под таможенным контролем на железнодорожную станцию назначения является датой фактического срока доставки груза по назначению и железная дорога не несет ответственность за задержку груза на железнодорожной станции назначения, связанную с таможенным оформлением груза. В лекции "Упражнения" также много полезной информации. В случае прибытия груза вне времени работы таможенного органа (подразделения) срок доставки груза удлиняется на срок от момента прибытия груза на железнодорожную станцию назначения до наступления времени работы этого органа. Грузы также считаются доставленными в срок в случае прибытия на железнодорожную станцию назначения до истечения установленного срока доставки и задержки подачи вагонов, контейнеров с такими грузами вследствие того, что фронт выгрузки занят, не внесены плата за перевозку грузов и иные причитающиеся железной дороге платежи, или вследствие иных зависящих от грузополучателей причин, о чем составляется акт общей формы (Статья 39 Федерального закона "Транспортный устав железных дорог Российской Федерации"). Порожний вагон, принадлежащий грузоотправителю, грузополучателю или арендованный ими, считается доставленным в срок, если он прибыл на железнодорожную станцию назначения до истечения срока доставки и может быть передан в распоряжение получателя, о чем железная дорога уведомляет получателя. 11. Железные дороги и грузоотправители могут заключать договоры, предусматривающие иные, чем определены настоящими Правилами сроки доставки грузов, о чем делается отметка в накладной в графе "Особые заявления и отметки отправителя". 12. За просрочку доставки груза, а также порожних вагонов, принадлежащих грузоотправителю, грузополучателю или арендованных ими, железная дорога назначения несет ответственность в соответствии со статьей 111 Транспортного устава железных дорог Российской Федерации. |
[1] Атлас население и хозяйство 9 класс, 6-е издание, с. 22. «Автомобильный транспорт»























