Планирование доходов и прибыли предприятия
Тема 6. Планирование доходов и прибыли предприятия.
1. Этапы планирования операционных доходов предприятия.
2. Планирование формирования операционной прибыли
3. Методы планирования формирования операционной прибыли
1. Этапы планирования доходов предприятия.
В системе управления операционными доходами предприятия их планированию принадлежит центральное место. Оно подчинено главной цели политики управления прибылью предприятия и обеспечивается комплексом мероприятий по проведению расчетов отдельных видов операционных доходов на предстоящий период.
Основными исходными предпосылками планирования операционных доходов предприятия являются: разработанная производственная программа, определяющая объемы и состав производимой продукции на предстоящий период; целевая сумма операционной прибыли, обеспечивающая условия эффективного развития предприятия в плановом периоде; разработанная ценовая политика предприятия.
Рекомендуемые материалы
Процесс планирования операционных доходов предприятия осуществляется по следующим четырем этапам (рисунок 4.3):
1. Анализ операционного дохода предприятия в предплановом периоде. Задачи такого анализа и его глубина должны быть направлены на изыскание возможностей увеличения общей суммы валового и чистого операционного дохода, обеспечение плановых их расчетов необходимыми информативными показателями. В процессе осуществления такого анализа изучаются:
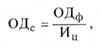
а) динамика общей суммы валового операционного дохода предприятия в предплановом периоде. При анализе динамики операционного дохода должна быть обеспечена сопоставимость цен на реализуемую продукцию. В этих целях на предприятии рассчитывается средний индекс цен по отдельным этапам отчетного периода. Показатели общей суммы валового и чистого операционного дохода предприятия приводятся в сопоставляющий вид по следующей формуле:

где ОДс —сумма валового (чистого) операционного дохода предприятия в сопоставимых ценах; ОДф —сумма валового (чистого) операционного дохода предприятия в фактических ценах; Иц— средневзвешенный индекс цен на реализованную продукцию по отношению к первому анализируемому периоду. После ценового сопоставления анализируемых показателей определяются темпы изменения общей суммы валового операционного дохода предприятия по отдельным этапам отчетного периода. Расчеты осуществляются по формуле средней геометрической:

где Твод—средний темп изменения (роста или снижения) общей суммы валового операционного дохода в рассматриваемом отрезке времени (год или квартал), в %; ВОД,, —общая сумма валового операционного дохода в сопоставимых ценах в последнем периоде рассматриваемого отрезка времени (квартала или месяца); ВОД —общая сумма валового операционного дохода в первом периоде рассматриваемого отрезка времени (в первом квартале или месяце); «—количество периодов в рассматриваемом отрезке времени;
б) равномерность формирования валового операционного дохода предприятия. Для характеристики этой равномерности используются обычно показатели среднеквадратического отклонения этих доходов и коэффициента их вариации (алгоритмы расчета этих показателей рассмотрены ранее);
в) соотношение чистого и валового операционного дохода предприятия в анализируемом периоде. В этих целях рассчитывается и анализируется в динамике коэффициент чистого операционного дохода;
г) основные факторы, повлиявшие на изменение суммы валового и чистого операционного дохода предприятия в плановом периоде. В составе эти факторов основное внимание в процессе анализа должно быть уделено: изменению объема производства продукции; изменению состава производимой продукции; изменению уровня цен на отдельные виды продукции; изменению видов и ставок налоговых платежей, входящих в цену продукции (уплачиваемых за счет валового операционного дохода).
Результаты анализа позволяют выявить основные тенденции в развитии валового и чистого операционного дохода предприятия и учесть их в процессе осуществления плановых расчетов.
2. Оценка и прогнозирование конъюнктуры товарного рынка. Состояние товарного рынка, на различных сегментах которого предприятие формирует свой валовой операционный доход путем реализации отдельных видов продукции, характеризуют такие его элементы, как спрос, предложение, цена и конкуренция. Соотношение указанных элементов товарного рынка постоянно изменяется. Это общее состояние динамики, изменчивости товарного рынка представляет собой чрезвычайно сложное экономическое явление, поскольку оно формируется под влиянием множества разнородных и разнонаправленных внутрирыночных и общеэкономических факторов.
В то же время, каждому предприятию важно знать, па какую степень активности товарного рынка, его видов и сегментов ему следует ориентироваться при планировании своего валового операционного дохода в процессе реализации производимой продукции.

Степень активности товарного рынка определяется путем изучения рыночной конъюнктуры. Рыночная конъюнктура представляет собой форму проявления на товарном рынке (отдельных его видах и сегментах) системы факторов (условий), определяющих соотношение объемов спроса и предложения, уровней цен и конкуренции.
Конъюнктура товарного рынка характеризуется определенными конъюнктурными циклами, в рамках каждого из которых выделяют следующие четыре стадии: 1) подъем конъюнктуры; 2) конъюнктурный бум; 3) ослабление конъюнктуры; 4) конъюнктурный спад (рисунок 4.4.).
Смена всех стадий конъюнктуры рынка определенного вида продукции происходит в среднем за 1-2 года. При этом стадии конъюнктуры товарного рынка могут совпадать, а могут и не совпадать с фазами общеэкономического развития страны. Практика показывает, что конъюнктурный бум на рынке отдельных видов продукции может происходить даже в период общеэкономической депрессии, в то время как конъюнктурный спад в конкретном сегменте рынка может иметь место и в период подъема экономики.
В связи с циклическим развитием и постоянной изменчивостью товарного рынка необходимо систематически изучать его конъюнктуру в разрезе отдельных видов и сегментов с тем, чтобы формировать эффективную политику операционной деятельности предприятия и определять потенциал развития его операционных доходов. Изучение конъюнктуры товарного рынка в процессе управления операционными доходами предприятия охватывает следующие этапы:
а) текущее наблюдение за рыночной активностью. Оно осуществляется в тех сегментах товарного рынка, в которых предприятие осуществляет (или намечает осуществлять в ближайшее время) свою коммерческую деятельность, связанную с формированием операционных доходов. Текущее наблюдение за состоянием товарного рынка требует формирования целенаправленной системы показателей, характеризующих отдельные его сегменты. Среди этих показателей особое внимание должно быть уделено динамике объема спроса в регионе на различные виды продукции, изменению среднего уровня цен и размера ценового диапазона в отдельных сегментах рынка, изменению числа конкурентов и степени их воздействия на рыночные процессы и некоторым другим. Результаты текущего наблюдения за конъюнктурой товарного рынка фиксируются в табличной или графической форме;
б) оценка текущей конъюнктуры товарного рынка. Она осуществляется в процессе анализа, основная цель которого состоит в выявлении особенностей конкретных сегментов товарного рынка и тех изменений, которые происходят на них в момент наблюдения по сравнению с предшествующим периодом. Анализ конъюнктуры рынка в разрезе отдельных его сегментов производится в два этапа.
На первом этапе анализа производится расчет системы аналитических показателей, характеризующих состав рыночную конъюнктуру (на основе наблюдаемых информативных показателей). К таким показателям относятся: общий объем продажи данного вида продукции на рассматриваемом региональном рынке; уровень удовлетворения спроса покупателей на продукцию; темпы роста (снижения) среднего уровня цен на продукцию.
На втором этапе анализа выявляются предпосылки к изменению текущей конъюнктурной стадии данного сегмента товарного рынка. Эти изменения по многим видам продукции связаны с сезонностью их производства или потребления.
В процессе оценки текущей конъюнктуры рынка должны быть выявлены и исключены из анализа ее тенденций отдельные краткосрочные колебания, вызванные действием случайных факторов. К таким факторам относятся: резкие изменения погодных условий; нарушения ритмичности работы железнодорожного транспорта; стихийные бедствия; период праздников; паническая реакция покупателей или продавцов на ожидаемые изменения экономической политики государства и т.п.
в) прогнозирование конъюнктуры товарного рынка. В условиях нестабильности экономического развития страны, отсутствия достоверной информации и по ряду других причин прогнозирование рыночной конъюнктуры ограничивается в настоящее время краткосрочным и среднесрочным периодом, что вполне достаточно для целей планирования операционных доходов. Это прогнозирование осуществляется обычно двумя основными методами: факторным и трендовым.
Факторный метод прогнозирования рыночной конъюнктуры основан на изучении отдельных факторов, влияющих на спрос, предложение, цены и конкуренцию на рынке конкретного вида продукции, и определении возможного изменения этих факторов в предстоящем периоде. Эти факторы подразделяются на экономические, демографические, социально-политические и другие. При использовании факторного метода прогнозирования конъюнктуры рынка вначале изучается влияние различных факторов на отдельные его элементы, затем отбираются наиболее значимые из них (оказывающие наибольшее влияние) и строится многофакторная модель регрессии. Ряд крупных предприятии, специализирующихся на производстве и реализации относительно небольшой номенклатуры продукции, могут самостоятельно разрабатывать многофакторные конъюнктурные прогнозы (вводя в свой штат маркетологов—специалистов по изучению и прогнозированию рынка). Другие предприятия могут приобретать эту информацию у маркетинговых фирм, специализирующихся на прогнозировании конъюнктуры рынков отдельных видов продукции. Факторный метод используется при среднесрочном прогнозировании рыночной конъюнктуры.
Трендовый метод прогнозирования конъюнктуры основан на распространении выявленной в процессе ранее проведенной оценки конъюнктурной тенденции на предстоящий период. При этом пренебрегают случайными факторами воздействия на эту тенденцию. Вместе с тем, следует учесть предстоящие уже известные изменения факторов внутрирыночных (например, сокращение поступления конкретных видов сырьевых ресурсов) или общеэкономических (например, изменение системы налогообложения производства и реализации отдельных видов продукции; изменение порядка лицензирования и квотирования продукции при осуществлении внешнеэкономических операций и т.п.). Этот метод доступен менеджерам любого предприятия, так как базируется на результатах текущего наблюдения и оценки конъюнктуры отдельных сегментов товарного рынка. Трендовый метод используется обычно для краткосрочного прогнозирования конъюнктуры товарного рынка. С учетом результатов прогнозирования рыночной конъюнктуры осуществляются плановые расчеты суммы валового и чистого операционного дохода предприятия на предстоящий период.
3. Расчет плановой суммы различных видов операционных доходов. Этот расчет основывается на использовании ряда методов, основными из которых являются:
а) планирование валового операционного дохода на основе разработанной производственной программы (плана производства продукции). Этот метод расчета позволяет увязать планирование валового операционного дохода с ресурсным потенциалом предприятия и уровнем его использования. Базовым показателем расчета плановой суммы валового операционного дохода выступает в этом случае планируемый объем производства товарной продукции. Модель расчета плановой суммы валового операционного дохода предприятия при использовании этого метода имеет следующий вид:

где ВОДп — плановая сумма валового операционного дохода предприятия, рассчитанная на основе производственной программы; ЗГПН — сумма запасов готовой продукции на начало планируемого периода; ЗГПК —сумма запасов готовой продукции на конец планируемого периода; ПГП — суммарный объем производства готовой товарной продукции в плановом периоде,
б) Планирование чистого операционного дохода на основе разработанной производственной программы. Базовым показателем при этом выступает плановая сумма-валового операционного дохода, рассчитанная на основе производственной программы предприятия. Модель расчета этого показателя имеет следующий вид:

гдеЧОДп—плановая сумма чистого операционного дохода, рассчитанная на основе производственной программы; ВОДп —плановая сумма валового операционного дохода, рассчитанная на основе производственной программы; НДС —ставка налога на добавленную стоимость (и других налогов, уплачиваемых за счет валового операционного дохода), в %. в) планирование чистого операционного дохода на основе целевой суммы прибыли. Этот метод является наиболее прогрессивным, так как позволяет наиболее полно увязать планируемую сумму операционного дохода с задачами развития предприятия в предстоящем периоде, обеспечивая необходимый уровень самофинансирования развития операционной деятельности. Базовым показателем расчета плановой суммы чистого операционного дохода предприятия в этом случае выступает целевая сумма чистой операционной прибыли (порядок ее формирования рассматривается в соответствующем разделе). Модель расчета плановой суммы чистого операционного дохода при использовании этого метода имеет следующий вид:

где ЧОДп— плановая сумма чистого операционного дохода предприятия, рассчитанная на основе целевой суммы прибыли; ЧОПц —целевая сумма чистой операционной прибыли, определенная на плановый период; И0 —планируемая сумма операционных издержек; НП—ставка налога на прибыль (и других обязательных платежей за счет прибыли), в %. г) планирование валового операционного дохода на основе целевой суммы прибыли. Базовым показателем при этом выступает плановая сумма чистого операционного дохода, рассчитанного на основе целевой суммы прибыли. Модель расчета этого показателя имеет следующий вид:

где ВОДц —плановая сумма валового операционного дохода предприятия, рассчитанная на основе целевой суммы прибыли; ЧОДц — плановая сумма чистого операционного дохода, рассчитанная на основе целевой суммы прибыли; НДС —ставка налога на добавленную стоимость (и других налоговых платежей, уплачиваемых за счет валового операционного дохода), %.
4. Разработка системы мероприятий по обеспечению выполнения плана операционных доходов. Система этих мероприятий разрабатывается в разрезе следующих основных направлений:
а) эффективное осуществление разработанной ценовой политики;
б)использование благоприятной конъюнктуры рынка в отдельных его сегментах;
в) повышение уровня сервисного обслуживания покупателей продукции;
г)предоставление товарного кредита покупателям с целью стимулирования реализации продукции;
д)интенсификация рекламной и информационной деятельности;
е)развитие сети фирменных сбытовых филиалов по реализации продукции;
ж)доведение разработанных планов до центров дохода и прибыли.
2. Планирование формирования операционной прибыли
Планирование формирования операционной прибыли представляет наиболее ответственный этап в общей системе управления ею предприятия. Это определяется тем, что плановая сумма операционной прибыли является основным целевым ориентиром всей операционной деятельности и мерой ее эффективности; она составляет основу формирования совокупной прибыли предприятия, являясь базой обеспечения его предстоящего производственного развития и удовлетворения материальных интересов собственников и персонала.
Уровень обоснованности разрабатываемых планов формирования операционной прибыли в значительной мере определяется качеством и широтой исходной базы планирования. Чем шире исходные предпосылки планирования, чем более качественную информацию они содержат, тем шире возможный диапазон используемых методов плановых расчетов, тем более надежными являются результаты планирования операционной прибыли на предприятии.
Основными исходными предпосылками планирования формирования операционной прибыли предприятия являются (рисунок 10.1.):
1. Анализ формирования операционной прибыли в предплановом периоде. Главной целью анализа является выявление основных тенденций формирования операционной прибыли предприятия в предплановом периоде, оценка достигнутого ее уровня, а также выявление степени влияния основных факторов на процесс ее формирования на предприятии.
На первой стадии анализа рассматривается динамика суммы маржинальной, валовой и чистой операционной прибыли предприятия, определяются отклонения фактически достигнутых в отчетном периоде размеров этих показателей от их значений, предусмотренных планом.
В процессе осуществления этого анализа основное внимание должно быть уделено выявлению тенденций (тренда) изменения рассматриваемых показателей по отдельным этапам отчетного периода (кварталам, месяцам) и оценке уровня вариабельности показателя чистой операционной прибыли.
Выявление тенденций изменения суммы маржинальной, валовой и чистой операционной прибыли осуществляется на основе сопоставления темпов динамики этих показателей (прироста или снижения) по отношению к базисному периоду с использованием формулы средней геометрической и графических методов анализа (построения "линии тренда"). Результаты такого анализа могут быть использованы в процессе планирования операционной прибыли для экстраполяции отдельных ее значений.
Оценка уровня вариабельности показателя чистой операционной прибыли (основного показателя, характеризующего результативность процесса формирования операционной прибыли предприятия) осуществляется путем расчета показателей дисперсии, среднеквадратического отклонения ("стандартного отклонения") и коэффициента вариации. Анализ размера отклонений отдельных значений этого показателя от среднего в отчетном периоде позволяет выявить совокупный уровень операционного риска, связанного с формированием операционной прибыли.
На второй стадии анализа оценивается достигнутый уровень формирования маржинальной, валовой и чистой операционной прибыли на предприятии. Методическим аппаратом такой оценки является анализ коэффициентов ("R-анализ"). В процессе оценки достигнутого уровня формирования операционной прибыли на предприятии основное внимание должно быть уделено расчету и анализу следующих показателей:
— коэффициенту рентабельности операционных активов (коэффициенту экономической рентабельности);
— коэффициентам маржинальной, валовой и чистой рентабельности реализации продукции;
— коэффициентам валовой и чистой рентабельности операционных затрат.
Результаты этого этапа анализа служат одним из отправных пунктов использования нормативного метода плановых расчетов и базой оценки эффективности разработанного плана формирования операционной прибыли предприятия.
На третьей стадии анализа рассматриваются показатели формирования операционной прибыли в разрезе центров ответственности предприятия (по каждому центру прибыли). В процессе этой стадии анализа выявляется уровень выполнения отдельными центрами прибыли доведенных им плановых заданий (с учетом корректировки этих плановых заданий на изменение объемных показателей их деятельности в отчетном периоде); определяется удельный вес отдельных центров ответственности в совокупной сумме операционной прибыли предприятия; сравниваются коэффициенты рентабельности по отдельным центрам прибыли.
Результаты этого этапа анализа используются в процессе планирования формирования операционной прибыли в разрезе отдельных центров ответственности.
На четвертой стадии анализа рассматриваются показатели маржинальной и валовой прибыли в разрезе отдельных видов выпускаемой продукции. Методической основой осуществления такого анализа является сопоставление среднего уровня цен и отчетной удельной себестоимости в разрезе конкретных видов продукции.
На этом этапе анализа основное внимание должно быть уделено рассмотрению показателей удельного веса прибыли от реализации отдельных видов продукции в общей сумме формируемой операционной прибыли, а также сравнению уровней коэффициентов маржинальной и валовой рентабельности отдельных видов продукции.
Результаты этого анализа используются в процессе факторного метода планирования формирования операционной прибыли для отражения структурных изменений в реализации продукции.
На пятой стадии анализа изучаются основные факторы, обусловившие изменения суммы маржинальной, валовой и чистой операционной прибыли в отчетном периоде. Предметом такого анализа являются прежде всего факторы ранее рассмотренной системы "взаимосвязь издержек, объема реализации и прибыли". Вместе с тем, ряд этих факторов в процессе анализа требует более глубокого разложения.
На этом этапе анализа основное внимание уделяется изучению влияния на операционную прибыль следующих основных факторов:
— изменению объема реализации продукции в натуральном выражении (если предприятие выпускает однородную продукцию, оцениваемую единым условным натуральным показателем);
— изменению структуры реализации продукции в разрезе основных ее видов;
— изменению среднего уровня цен на реализуемую продукцию;
— изменению среднего уровня операционных затрат на единицу реализуемой продукции;
— изменению коэффициента операционного левериджа;
— изменению коэффициента рентабельности операционных активов;
— изменению коэффициента налогоемкости реализации продукции.
Результаты этого анализа используются в процессе построения факторной модели планирования операционной прибыли предприятия.
2. Разработанная общая политика управления прибылью предприятия. В процессе планирования формирования операционной прибыли должны быть в первую очередь учтены: система стратегических целей формирования прибыли предприятия, а также система разработанных отдельных целевых показателей (среднегодовой темп роста прибыли, коэффициенты рентабельности и т.п.), конкретизированных по периодам их реализации
(при необходимости в систему этих целевых показателей на предстоящий год вносятся коррективы по результатам проведенного анализа).
Общая политика управления прибылью предприятия устанавливает как цели, так и важнейшие результативные показатели планов формирования операционной прибыли на предстоящий год, позволяет увязать эти показатели с общей системой планов формирования и использования прибыли предприятия.
3. Разработанные частные политики, связанные с формированием прибыли предприятия. В процессе планирования формирования операционной прибыли предприятия должны быть учтены:
— ценовая политика;
— амортизационная политика;
— налоговая политика.
Каждая из этих политик прямо или опосредствованно влияет на размер маржинальной, валовой и чистой прибыли предприятия, а следовательно должна учитываться в процессе планирования формирования операционной прибыли.
4. Разработанные планы операционной деятельности предприятия. Исходными предпосылками планирования формирования прибыли предприятия являются следующие основные виды планов операционной деятельности на предстоящий период:
— производственная программа предприятия;
— план операционных доходов предприятия;
— план операционных затрат предприятия;
— план налоговых платежей предприятия.
Система этих планов позволяет использовать различные методы планового формирования операционной прибыли и обеспечить взаимосвязь всех основных показателей развития операционной деятельности предприятия в предстоящем периоде.
5.Показатели средней нормы прибыли на начало планового периода. Ориентируясь на внутренние возможности формирования операционной прибыли, следует учитывать также средние ее показатели, достигнутые в данной отрасли и сформировавшиеся на финансовом рынке.
В качестве среднеотраслевой нормы прибыли используются обычно коэффициент валовой или чистой рентабельности реализации продукции и коэффициент рентабельности операционных активов.
В качестве средней нормы прибыли на финансовом рынке используется обычно средняя ставка депозитного процента на денежном рынке.
Указанные показатели выступают минимальными критериями уровня формируемой прибыли в процессе операционной деятельности предприятия на предстоящий плановый период.
3. Методы планирования формирования операционной прибыли
В процессе планирования формирования маржинальной, валовой и чистой прибыли предприятия используются различные методы. Система основных из этих методов приведена на рисунке 10.2.
Рассмотрим содержание каждого из этих методов и порядке возрастания их сложности.
I. Метод экстраполяции является наиболее простым методом планирования формирования операционной прибыли предприятия. Он основан на результатах горизонтального (трендового) анализа динамики маржинальной, валовой и чистой операционной прибыли за ряд предшествующих периодов и выявлении "линии тренда", которая распространяется (пролонгируется) и на плановый период. Вместе с тем, этот метод планирования операционной прибыли является наименее точным, так как он не учитывает изменение влияющих на нее не только факторов внешней среды, но и факторов внутреннего развития предприятия в предстоящем периоде.
Учитывая наибольшую погрешность результатов использования этого метода при плановых расчетах размера операционной прибыли, он может быть использован лишь на предварительной стадии планирования (когда планы операционной деятельности предприятия еще не сформированы) и только на относительно короткий прогнозный период (месяц, квартал).
2. Метод прямого счета является относительно простым и достаточно надежным методом планирования формирования операционной прибыли, но может быть использован только в том случае, если на предварительной стадии уже сформированы планы операционного дохода, операционных затрат и налоговых платежей. При использовании этого метода расчеты плановой суммы операционной прибыли осуществляются по следующим формулам:

Где МОПп —плановая сумма маржинальной операционной прибыли; ВОПп —плановая сумма валовой операционной прибыли; ЧОПп —плановая сумма чистой операционной прибыли; ВОДп —плановая сумма валового операционного дохода; ПИ0 —плановая сумма совокупных операционных затрат (издержек); ПИпер —плановая сумма переменных операционных затрат (издержек); НДСП —плановая сумма налоговых платежей, уплачиваемых за счет дохода (входящих в цену продукции); НП —плановая сумма налоговых платежей, уплачиваемых за счет прибыли (налог на прибыль и другие обязательные платежи).
Позволяя получить достаточно точные результаты плановой суммы операционной прибыли, метод прямого ее счета имеет однако отдельные недостатки. Прежде всего, он недостаточно ориентирован на достижение целевых (нормативных) показателей уровня операционной прибыли. Кроме того, этот метод позволяет осуществлять только одновариантный расчет планируемых показателей.
3. Нормативный метод также относится к числу относительно простых методов планирования формирования операционной прибыли, но условием его применения является наличие на предприятии соответствующей нормативной базы. В качестве таких нормативов обычно используются:
а) норма прибыли на собственный капитал (если такой норматив на предприятии не разработан, его минимальным аналогом может выступать средняя норма депозитного процента на денежном рынке). Расчет валовой операционной прибыли в этом случае может быть осуществлен по следующей формуле:

где ВОПп —плановая сумма валовой операционной прибыли; СК0 —средняя сумма собственного капитала предприятия, задействованная в его операционной деятельности в плановом периоде; Нвп — норма валовой прибыли на собственный капитал, в %.
Скорректированная на размер суммы налогов, уплачиваемых за счет прибыли, полученная величина будет характеризовать плановую сумму чистой операционной прибыли;
б) норма прибыли на операционные активы. Эта норма может быть выражена как валовой, так и чистой операционной прибылью. Расчет плановой операционной прибыли осуществляется в этом случае по следующим формулам:

где ВОПп -плановая сумма валовой операционной прибыли; ЧОПп —плановая сумма чистой операционной прибыли; Нвп —норма валовой прибыли на единицу операционных активов, в %; Нчп—норма чистой прибыли на единицу операционных активов, в %; ОПАп — средняя стоимость операционных активов предприятия в плановом периоде;
в) норма прибыли на единицу реализуемой продукции (если такой норматив на предприятии не разработан, его аналогом может выступать среднеотраслевая норма прибыли на единицу реализуемой продукции в последнем предплановом периоде). Эта норма также может быть выражена как валовой, так и чистой прибылью. Расчет плановой суммы операционной прибыли в этом случае осуществляется по следующей формуле:

гдеВОПп —плановая сумма валовой операционной прибыли; ЧОПп —плановая сумма чистой операционной прибыли; Нвп — норма валовой прибыли на единицу реализуемой продукции, в %; Нчп —норма чистой прибыли на единицу реализуемой продукции, в %; ОРп —планируемых объем реализации продукции.
Нормативный метод планового расчета суммы операционной прибыли получил определенное распространение в процессе ее определения для вновь созданных предприятий (центров прибыли). Его недостатком является то, что он не увязан с другими показателями операционной деятельности (производственной программой, операционными затратами, налоговыми платежами), вследствие чего также не может быть использован в многовариантных расчетах суммы прибыли.
4. Метод "CVP" или метод планирования операционной прибыли с использованием системы "взаимосвязь издержек, объема реализации и прибыли" позволяет определять все виды этой прибыли при наличии той же информации, которая используется при применении "метода прямого счета". Плановые расчеты ведутся в такой последовательности:
На первом этапе определяется точка безубыточности реализации продукции в плановом периоде. В этих целях используется формула:

где OPTg—объем реализации продукции, обеспечивающий достижение точки безубыточности в плановом периоде; ПИП0СТ— планируемая сумма постоянных операционных затрат (издержек); ПУЧД— планируемый уровень чистого операционного дохода к объему реализации продукции, %; ПУИ пер ~ планируемый уровень переменных операционных затрат (издержек) к объему реализации продукции, %;
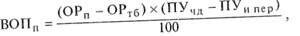
На втором этапе определяется плановая сумма валовой операционной прибыли. Ее расчет ведется по следующей формуле:

где ВОПп — плановая сумма валовой операционной прибыли; ОРп — плановый объем реализации продукции;
плановом периоде; ПУЧД —планируемый уровень чистого операционного дохода к объему реализации продукции, % ПУИ пер —планируемый уровень переменных операционных затрат (издержек) к объему реализации продукции, %;
На третьем этапе определяется плановая сумма маржинальной операционной прибыли. Для ее расчета используются следующие формулы:

гдеМОПп —плановая сумма маржинальной операционной прибыли; ОРп— плановый объем реализации продукции; ПУЧД — планируемый уровень чистого операционного дохода к объему реализации продукции, %; ПУИ пер —планируемый уровень переменных операционных затрат (издержек) к объему реализации продукции, %; ВОПп —плановая сумма валовой операционной прибыли; ПИПост ~ планируемая сумма постоянных операционных затрат (издержек).
На четвертом этапе определяется плановая сумма чистой операционной прибыли. Ее расчет производится по следующей формуле:
где ЧОПп —плановая сумма чистой операционной прибыли; ВОПп —плановая сумма валовой операционной прибыли; Снп —средняя ставка налоговых платежей за счет прибыли, %.
Построенный на основе плановых значений график "CVP" позволяет использовать этот метод в качестве имитационной модели многовариантных расчетов с разложением и варьированием отдельных показателей (объема реализации продукции в натуральном выражении, планируемого среднего уровня цен и т.п.)- Система этого разложения была рассмотрена ранее. В процессе имитационного моделирования операционной прибыли могут быть рассмотрены все прогнозные варианты операционной деятельности предприятия — от крайне пессимистического до крайне оптимистического. Кроме того, такая модель может использоваться для оперативной корректировки плановых показателей операционной прибыли при изменении отдельных текущих показателей операционной деятельности.
5. Метод целевого формирования прибыли позволяет обеспечить наибольшую увязку плановых ее показателей со стратегическими целями управления прибыли в предстоящем периоде. Основой этого метода расчета является предварительное определение потребности в собственных финансовых ресурсах, формируемых за счет чистой операционной прибыли предприятия. Расчет ведется по каждому элементу этой потребности и охватывает как капитализируемую, так и потребляемую их части. Суммарная потребность в средствах, формируемых за счет чистой операционной прибыли, представляет собой целевую ее сумму (методические подходы к расчету этого показателя будут рассмотрены далее). На основе целевой суммы чистой операционной прибыли определяются целевые суммы соответственно валовой и маржинальной операционной прибыли. Их расчет ведется по следующим формулам:

где ВОПц— целевая сумма валовой операционной прибыли в предстоящем периоде; МОПц — целевая сумма маржинальной операционной прибыли в предстоящем периоде; ЧОПц —целевая сумма чистой операционной прибыли в предстоящем периоде; ПИПОст — планируемая сумма постоянных операционных затрат (издержек); Снп — средняя ставка налоговых платежей за счет прибыли, в процентах.
Особая роль этого метода расчета заключается в том, что полученные на его основе показатели операционной прибыли рассматриваются как важнейшие целевые ориентиры развития всей операционной деятельности предприятия и служат базовыми элементами планирования других важнейших экономических показателей этой деятельности — суммы чистого операционного дохода, объема реализации продукции и других. Иными словами, задачи планирования стратегического развития операционной деятельности предприятия в предстоящем периоде через целевую сумму чистой операционной прибыли получают свое отражение во всей системе основных плановых показателей.
6. Метод прогнозирования денежного потока является относительно новым для нашей практики, хотя широко используется на предприятиях стран с развитой рыночной экономикой. Его основу составляет разработанный на предприятии текущий план поступления и расходования денежных средств по операционной деятельности предприятия, содержание которого подробно рассмотрено ранее.
Принципиальная модель расчета чистой операционной прибыли предприятия на предстоящий период при использовании этого метода имеет следующий вид:

где ЧОПп —плановая сумма чистой операционной прибыли; ПДСП—плановая сумма поступления денежных средств по операционной деятельности предприятия; РДСП—плановая сумма расходования денежных средств по операционной деятельности предприятия; АОп —плановая сумма амортизационных отчислений; ПКП —плановая сумма уплаты процентов за крс дит (она отражается в денежном потоке ПО финансовой деятельности, но входит в учет ную номенклатуру статей операционных за трат).
На основе рассчитанной плановой суммы чистой операционной прибыли по ранее рассмотренным моделям определяются плановые значения соответственно валовой и маржинальной операционной прибыли.
Использование этого метода позволяет тесно увязать планируемую операционную прибыль с чистым денежным потоком по операционной деятельности, а также конкретизировать ее формирование по отдельным периодам (текущий план поступления и расходования денежных средств составляется обычно в помесячной разбивке).
7. Метод факторного моделирования прибыли является наиболее сложным, так как требует осуществления обширных аналитических и прогнозных расчетов.
На первом этапе использования этого метода определяется система основных факторов, имеющих прямую логическую взаимосвязь с формированием показателя чистой операционной прибыли предприятия. Обычно в составе этих факторов рассматриваются: объем реализации продукции в условных натуральных показателях; структура реализации продукции по отдельным ее видам; средний уровень цен на реализуемую продукцию; средний уровень операционных затрат в процентах к объему реализуемой продукции; коэффициент операционного левериджа; коэффициент рентабельности операционных активов; коэффициент налогоемкости реализации продукции (в разрезе трех основных групп налогов по источникам их уплаты) и другие.
На втором этапе анализируется степень влияния отдельных факторов на формирование чистой операционной прибыли данного предприятия и производится их ранжирование по этому показателю.
Люди также интересуются этой лекцией: Часть 26.
На третьем этапе отбираются факторы, оказывающие наибольшее влияние на сумму формируемой чистой операционной прибыли, и с учетом степени их влияния строится многофакторная модель регрессии (включающая обычно 3-4 наиболее весомых факторов).
На четвертом этапе прогнозируется изменение факторов, включенных в модель регрессии, в предстоящем периоде. Прогнозируемое изменение каждого фактора отражается соответствующими количественными показателями.
На пятом этапе путем подстановки прогнозируемых значений факторов в модель регрессии получают прогнозируемый (планируемый) показатель чистой операционной прибыли.
На шестом этапе на основе рассчитанной чистой операционной прибыль по ранее рассмотренным моделям определяются плановые значения соответственно валовой и маржинальной операционной прибыли.
Использование этого метода позволяет осуществлять многовариантные плановые расчеты суммы операционной прибыли путем последовательного изменения заданных значений отдельных факторов.
Таким образом, в зависимости от избранного метода расчетов, планирование формирование операционной прибыли может рассматриваться как завершающий или как начальный этап планирования всей операционной деятельности предприятия.























