Анализ эффективности капитальных и финансовых вложений
Анализ эффективности капитальных и финансовых вложений (инвестиционный анализ)
В современных условиях структура капитала любого хозяйствен ного субъекта является одним из основных факторов, оказывающих непосредственное влияние на финансовое состояние предприятия: его пла тежеспособность и ликвидность, величину дохода, рентабельность его деятельности.
Структура источников капитала предприятия состоит из двух составляющих: собственных и заемных средств. В свою очередь, собственный капитал включает в себя инвестированный капитал, т.е. капитал, вложенный собственниками в предприятие, и накопленный капитал, т.е., созданный на предприятии сверх того, что было авансировано собственниками.Инвестированный капитал включает номинальную стоимость простых и привилегированных акций и дополнительно опла ченный (сверх номинальной стоимости акций) капитал. Первая состав ляющая инвестированного капитала в балансе российских предприятий представлена уставным капиталом, вторая – добавочным (в части полученного эмиссионного дохода). Кроме эмиссионного дохода в состав добавочного капитала входят суммы от переоценки основных средств и других материальных ценностей. Основные средства в бухгалтерском учете определяются тремя характеристиками: балансовой стоимостью, суммой накопленного износа – амортизации и остаточной стоимостью.
Нормативные документы устанавливают возможность изменения стоимости основных средств, связанных с инфляцией. Изменения (индексация) часто проводятся на основе приказов и распоряжений госу дарственных органов; могут также осуществляться согласно распоряже ниям руководства предприятия, но не чаще одного раза в год. При этом меняется и балансовая стоимость, и сумма износа (амортизация), и остаточная стоимость основного средства.
Законодательство предусматривает следующие случаи изменения стоимости основных средств:
• переоценка по специальному постановлению правительства;
• разовая ежегодная переоценка по решению руководства с применением индексадефлятора;
• переоценка при реализации с применением индексадефлятора;
• изменение стоимости в результате достройки, дооборудования, модернизации.
Рекомендуемые материалы
Амортизация – это процесс постепенного перенесения стоимости труда (по мере их износа) на себестоимость выпускаемой продукции. До недавнего времени нормы амортизации устанавливались государством.
По мере постепенного перехода к международным стандартам согласно Положению по бухгалтерскому учету Учет основных средств ПБУ 6/97, утвержденному Приказом Минфина РФ 03.09.97 г. № 65н, в последствие замененное на ПБУ6/01, утвержденное Приказом Минфина РФ 30.03.2001г. № 26н, используются применяемые в международной практике бухгалтерского учета четыре способа определения амортизационных отчислений:
1) линейный;
2) уменьшаемого остатка;
3) списания стоимости по сумме чисел лет срока полезного использования;
4) списания стоимости пропорционально объему продукции (работ).
Линейный способ и способ списания стоимости пропорционально объему продукции традиционные в российском бухгалтерском учете. Линейный способ заключается в том, что ежемесячные амортизационные отчисления являются одинаковыми в течение всего срока службы и не зависящими от объема выпускаемой продукции. Ежемесячная сумма амортизационных отчислений по основным средствам определяется по формуле:

где САм ежемесячная сумма амортизационных отчислений (еже
месячная сумма износа); БС балансовая стоимость основного средства; Нг годовая норма амортизационных отчислений (в процентах). Способ списания стоимости пропорционально объему продукции применяется для активов, у которых определяющим фактором износа является периодичность использования (например, транспортные средства). Ежемесячная сумма амортизации определяется по количеству выпущенной на данном оборудовании продукции:

где Не норма на единицу продукции (в процентах);
Ке расчетное количество предполагаемого выпуска продукции.
К ускоренным способам начисления амортизации относятся сравнительно новые для России способы: уменьшаемого остатка и списания стоимости по сумме чисел лет срока полезного использования. Эти спо собы используются для активов, у которых:
1) стоимость их услуг уменьшается со сроком службы;
2) быстро наступает моральный износ;
3) расходы на ремонт интенсивно нарастают со сроком службы. Они применяются для начисления амортизации на здания, вычис
лительную технику, средства связи, на машины и оборудование малых предприятий и недавно созданных предприятий, у которых большая на грузка на основные фонды приходится в первые годы работы. Способ
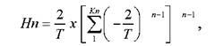
уменьшаемого остатка заключается в том, что выбирается двойная ставка амортизации и применяется она к остаточной стоимости объекта:

где Н n годовая норма амортизации для года с порядковым номе
ром n (в процентах); К n количество оставшихся лет эксплуатации; Т срок полезного использования объекта.
Например, если срок службы объекта 5 лет, его норма амортиза ционных отчислений при равномерном способе составит 20%. В способе уменьшаемого остатка эта норма удваивается (40%) и применяется к ос таточной на начало данного года стоимости объекта.
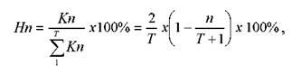
Способ списания стоимости по сумме чисел лет срока полезного использования заключается в том, что амортизационные отчисления на год определяются пропорционально убывающему количеству лет экс плуатации за весь срок службы. Например, пусть полезный срок службы объекта 5 лет. Сумма чисел для данного срока службы равна: 1+2+3+4+5=15.
Она принимается за знаменатель дробных коэффициентов, по которым вычисляются величины ежегодных норм, а в числителе этих коэффициентов проставляются номера лет эксплуатации в обратном порядке:
5/15; 4/15; 3/15; 2/15; 1/15.
Таким образом, в первом году эксплуатации списывается на износ 5/15, а в 5й – 1/15 балансовой стоимости объекта. В общем виде формула будет иметь вид:

где обозначения такие же, как в предыдущей формуле.
Накопленный капитал находит свое отражение в следующих статьях баланса: резервный капитал, фонд накопления, нераспределенная прибыль и другие аналогичные статьи.
Теоретически величина собственного капитала характеризуется показателем чистых активов, практически эти показатели различаются: расчет чистых активов осуществляется по балансовой стоимости акти вов и пассивов, которая может не совпадать с их рыночной стоимостью.
Заемные средства представляют собой правовые и хозяйствен ные обязательства предприятия перед третьими лицами. К основным ви дам обязательств предприятия относятся:
долгосрочные и краткосрочные кредиты банков;
- долгосрочные и краткосрочные займы – ссуды заимодавцев (кроме банков);
- кредиторская задолженность предприятия поставщиками подрядчикам;
- задолженность по расчетам с бюджетом;
- долговые обязательства предприятия перед своими работниками по оплате их труда;
- задолженность органам социального страхования и обеспечения;
- задолженность предприятия прочим хозяйственным контрагентам. Оценку состава и структуры инвестированного капитала предпри
ятия следует проводить в динамике за ряд лет, чтобы выявить основные тенденции происходящих изменений.
Для обновления материальнотехнической базы, наращивания объемов производственной деятельности, освоения новых видов деятельности требуются инвестиции. Инвестиции это совокупность за трат, реализованных в форме долгосрочных вложений капитала в какое либо предприятие, дело. Инвестированием или инвестициями называет ся такое вложение средств, которое предполагает в дальнейшем получе ние дохода.
При принятии решения о вложении капитала необходимо знать, будут ли вложенные средства полностью возмещены, какова будет при быль, полученная от данной операции (достаточна ли для компенсации временного отказа от использования средств), каков будет при этом риск.
Инвестирование во внеоборотные средства будут иметь характер долгосрочного, в отличие от него вложения в оборотные средства являются краткосрочными. Особенностью инвестирования в оборотные средства является не только продолжительность срока эксплуатации оборотных активов (один год), но и дробность состава, которая влечет за собой дробность инвестирования. Все это имеет большое значение для обеспечения гибкости финансовой политики в области управления ими.
В зависимости от размера предполагаемых инвестиций различна глубина аналитической проработки экономической стороны проекта, которая предшествует принятию решения.
В специальной литературе инвестиционные проекты классифици руются по:
• степени обязательности: обязательные требуют для выполне ния правил и норм (например, инвестиционные проекты по охране окружающей среды) и необязательные;
• степени срочности : неотложные либо недоступны в будущем, либо теряют свою привлекательность при отсрочке иоткладываемые;
• степени связанности: альтернативные при принятии одного из таких проектов исключают принятие другого,независимые отклонение или принятие одного из таких проектов не влияет на принятие решения в отношении другого проекта, взаимосвязанные при принятии одного проекта зависят от принятия другого. По своей природе инвестиции делятся на: производственные, коммерческие, финансовые, социальные, интеллектуальные и т.д.
По целевому назначению их можно подразделить на следующие виды:
а) обновление имеющейся материальнотехнической базы предпри ятия;
б) наращивания производственной мощности предприятия;
в) затраты на освоение новых видов продукции или технологий;
г) затраты, не связанные с изменением финансовых результатов деятельности;
д) долгосрочные финансовые вложения в акции других предприятий, корпоративные совместные предприятия;
е) нематериальные активы.
В условиях рыночной экономики возможностей для инвестирования много, однако, финансовые ресурсы предприятия ограничены, отсюда основная цель – оптимизация инвестиционного проекта.
При инвестиционном анализе необходимо оценить экономическую целесообразность расходов, составляющих стоимость предполагаемых инвестиций и денежные поступления от них.
В процессе принятия управленческих решений инвестиционного характера лежит сравнение объема предполагаемых инвестиций и буду щих денежных поступлений и ключевой проблемой здесь является их сопоставимость, так как они относятся к различным моментам времени.
Методы, используемые в анализе инвестиционной деятельности, можно подразделить на две группы : а) основанные на дисконтированных оценках; б) основанные на учетных оценках.
Все проблемы, возникающие в процессе инвестиционного анализа, можно свести к шести основным задачам, решаемым с помощью не сложных математических функций, каждая из которых строится на зна нии следующих исходных данных:
- процентной ставки – относительной величины дохода за фиксированный отрезок времени, т.е. отношения дохода (процентных денег) к сумме долга за единицу времени;
- периода начисления – временного интервала, к которому приурочена процентная ставка. В аналитических расчетах за период начисления, как правило, применяется год;
- дохода от инвестиций (определяется в процессе прогнозных ана литических расчетов.
Рассмотрим основные методы анализа инвестиционной деятельно сти:
Метод расчета чистого приведенного эффекта основан на со поставлении величины инвестиций (IC ) и общей суммы дисконтирован ных чистых денежных поступлений ( PV ). Поскольку приток денежных средств распределен во времени, он дисконтируется с помощью процентной ставки (ч), которая устанавливается инвестором самостоятельно, исходя из процента возврата, который он хочет или может иметь на инвестируемый капитал. Общая накопленная величина дисконтированных доходов ( PV ) и чистый приведенный эффект ( NPV ) соответственно будет равен:

где Pk – размер годового дохода.
В данном случае, если:
NPV >0, то проект следует принять;
NPV <0, то проект следует отвергнуть;
NPV=0, то проект ни прибыльный, ни убыточный. Если проект предполагает не разовые вложения, а последовательное инвестирование финансовых ресурсов в течение m лет, то формула для расчета NPV будет иметь следующий вид:

где i – прогнозируемый средний уровень инфляции; n – продолжительность периода отдачи от инвестиций. Показатель NPV аддитивен во времени, т.е. NPV различных проектов можно суммировать, а это очень важно, так как в отличие от других критериев позволяет использовать данный показатель при анализе оптимальности инвестиционных вложений.
Метод расчета индекса рентабельности инвестиции вытекает из предыдущего метода, но в отличие от чистого приведенного эффекта индекс рентабельности является относительным показателем:

Данный метод удобен при выборе проекта из ряда альтернатив ных, имеющих одинаковые значения NPV или при формировании порт феля инвестиций с максимальным суммарным значением NPV .
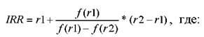
Метод расчета нормы рентабельности инвестиции. Норма рен табельности ( IRR ) – значение коэффициента дисконтирования, при ко тором NPV проекта равен нулю, т.е. IRR показывает максимально допустимый относительный уровень расходов, соотнесенный с данными проекта. Дисконтированная величина доходов точно равна дисконтированной величине капитальных затрат.
Экономический смысл этого показателя состоит в том, что предприятие может принимать те инвестиционные проекты, уровень рента бельности которых не ниже относительной цены авансированного капитала (СС) (плата за пользование авансированными финансовыми ресур сами: проценты, дивиденды, вознаграждения и т.п.). Если:
IRR > CC , то проект следует принять; IRR < CC , то проект следует отвергнуть; IRR = CC , то проект ни прибыльный, ни убыточный.
Практическое применение всех вышеперечисленных методов ос ложнено, если в распоряжении аналитика нет специализированного фи нансового калькулятора или специальных статистических таблиц, в которых табулированы значения сложных процентов, дисконтирующих множителей, дисконтированного значения денежной единицы и т. п. В зависимости от времени и коэффициента дисконтирования (процентной ставки).
Используя значения таблиц и применяя метод последовательных итераций, когда инвестиции и отдача задаются в виде потока платежей, можно найти норму рентабельности. Для этого выбираются два значения коэффициента дисконтирования r1< r 2, чтобы при этом функция NPV=f ( r ) в интервале ( r 1, r 2) меняла свое значение с + на . Далее, используя формулу:

r 1 значение коэффициента дисконтирования, при котором минимизируется положительное значение показателя NPV min { f ( r 1)>0};
r 2 значение коэффициента дисконтирования, при котором максимизируется отрицательное значение показателя NPV max { f ( r 2)<0}.
Самый точный результат получается, когда длина интервала минимальна и равна 1%. Путем взаимной замены коэффициентов r 1 и r 2, выбирается ситуация, когда функция меняет знак с минуса на плюс.
Метод определения срока окупаемости инвестиций.
Этот метод один из самых простых и наиболее распространенных в аналитической практике. Этот метод, основанный на учетных оценках, не учитывает изменение стоимости во времени и основан на сопоставле нии среднегодового притока денежных средств и прибыли с инвестициями.
Срок окупаемости (РР), если доход распределен по годам равномерно, рассчитывается делением единовременных затрат на величину годового дохода:

Если поступления по годам различаются, то срок окупаемости рассчитывается прямым подсчетом числа лет, в течение которых инвестиция будет погашена кумулятивным доходом:

При всей простоте, данный метод имеет ряд недостатков, которые необходимо учитывать при анализе:
1. Не учитывает доход на вложенный капитал или доходность (рентабельность) проекта. При одинаковом сроке окупаемости проект, приносящий большую сумму прибыли за весь период эксплуатации, более выгоден.
2. Так как этот метод основан на недисконтированных оценках, он не учитывает распределения притока и оттока денежных средств по годам. Предпочтительнее тот проект, который обеспечивает более высокие денежные доходы в первые годы.
Несмотря на определенные недостатки, данный метод целесообразно использовать в ряде случаев. Например, когда руководство предприятия заинтересовано не в прибыльности проекта, а его ликвидности, т.е. главное, чтобы инвестиции окупились и как можно скорее. Метод также хорош, когда инвестиционный проект сопряжен с высоким риском. Это характерно для тех отраслей, где есть большая вероятность быстрых технологических изменений.
Метод расчета коэффициента эффективности инвестиции.
Этот метод, также как и предыдущий, не предполагает дисконтирования и характеризуется при этом показателем чистой прибыли PN (балансо вая за минусом налогов). Он прост в применении и широко используется в практике. Коэффициент эффективности инвестиций (ARR ) рассчиты вается делением среднегодовой прибыли PN на среднюю величину инвестиций (коэффициент считается в процентах):

Средняя величина инвестиций находится делением исходной сум мы капитальных вложений на два, если по истечении срока реализации проекта капитальные вложения будут списаны. При оценке учитывается остаточная или ликвидационная стоимость ( RV ).
Данный показатель сравнивается с показателем рентабельности авансированного капитала, который рассчитывается отношением чистой прибыли предприятия на общую сумму всего авансированного капитала.
Метод имеет те же недостатки, что и предыдущий: не учитывает временной составляющей денежных потоков, общую сумму прибыли за весь срок реализации проекта, а также не делает различия между проек тами с одинаковой суммой прибыли, но варьирующей суммой прибыли по годам.
Анализ альтернативных проектов. В связи с ограниченностью финансовых ресурсов, необходимо из нескольких возможных инвести ционных проектов выбрать оптимальный. При этом надо выбрать крите рий, который наиболее приемлем для принятия решения. Между рассмотренными показателями существуют взаимосязи:
если NPV>0, то одновременно IRR>CC и PI>1;
если NPV<0, то одновременно IRR< CC и PI<1;
если NPV=0, то одновременно IRR= CC и PI=1. Отсюда, используя какойто из этих критериев, сделать однозначный вывод нельзя, так как NPV это абсолютный показатель, а PI и IRR – относительные.
При этом надо руководствоваться следующими соображениями:
1) рекомендуется выбирать вариант с наибольшим NPV , так как он характеризует прирост экономического потенциала предприятия;
2) необходимо также при этом рассчитать коэффициент IRR для приростных показателей капитальных вложений и доходов. Если при этом IRR>CC, то прирост затрат оправдан и целесообразно принять проект с большими капитальными вложениями.
Исследования, проведенные в области финансового анализа, показали, что наиболее предпочтительным критерием является NPV , так как, он дает вероятную оценку прироста капитала и обладает свойством аддитивности, т.е., позволяет складывать данные значения показателя по различным проектам. Вместе с тем IRR имеет ряд недостатков:
1. В сравнительном анализе альтернативных проектов критерий IRR ввиду того, что он является относительным, применение его достаточно условно. Этот недостаток особенно явно проявляется, когда проекты существенно различаются по величине денежных потоков.
2. IRR показывает лишь максимальный уровень затрат и не позволяет различать ситуации, когда цена капитала меняется.
3. В отличие от показателя NPV , IRR не обладает свойством аддитивности.
4. Критерий IRR совершенно не пригоден для анализа неординарных проектов. В случае, когда отток и приток капитала чередуются, в частности при демонтаже оборудования, при затратах на восста новление окружающей среды, т.е. когда значения денежного потока чередуются по знаку, возможно несколько значений IRR .
Анализ инвестиционных проектов в условиях инфляции. Наи более трудоемкой, но вместе с тем более точной является методика, пре дусматривающая корректировку всех факторов, влияющих на денежные потоки: объем выручки и переменные расходы.
Корректировка осуществляется с использованием различных ин дексов: цен на продукцию, потребляемое сырье. После чего, пересчиты ваются новые денежные потоки, которые с помощью критерия NPV сравниваются между собой. Но более простым является метод корректи ровки коэффициентов дисконтирования на индекс инфляции:
1+ p = (1+ r ) *(1+ i ) ,
где p – номинальный коэффициент дисконтирования; r обычный коэффициент дисконтирования; i индекс инфляции
Если раскрыть скобки и пренебречь при этом ввиду его незначительности произведение: r * i , то получаем:
p = r + i
При анализе проектов в условиях риска основываются на похожих идеях. По каждому проекту строят три его возможных варианта развития: пессимистический, наиболее вероятный и оптимистический. По каждому из вариантов рассчитывается NPV и размах вариации NPV для каждого проекта по формуле:
R ( NPV ) = NPV оптим. – NPV пессим.
Из двух сравниваемых проектов тот считается более рискованным, у которого размах вариации NPV больше.
Также при анализе проектов в условиях риска существует мето дика изменения денежного потока , для чего составляют различные ва рианты проектов, используя понижающие коэффициенты денежных по токов. Понижающие коэффициенты характеризуют вероятность появле ния рассматриваемого денежного поступления. Предпочтение отдается тому проекту, откорректированный денежный поток которого имеет наибольший NPV , т.е. этот проект считается менее рискованным. Понижающие коэффициенты определяются экспертным путем.
Третьим методом корректировки на риск является методика по правки на риск коэффициента дисконтирования. Чем больше риск в конкретном проекте, тем выше должна быть премия за риск, которая до бавляется к безрисковому коэффициенту дисконтирования. Алгоритм данной методики заключается в следующем:
- устанавливается исходная цена капитала, предназначенного для инвестирования СС;
- экспертным путем определяется риск и премия за него Рr;
- рассчитывается NPV с коэффициентом дисконтирования r^
r = CC+ Pr .
Проект с большим NPV считается предпочтительнее.
Кроме анализа эффективности долгосрочных финансовых вложе ний и составления прогноза эффективности инвестиционных проектов, проводят также анализ выполнения плана капитальных вложений.
Задача анализа заключается в оценке динамики и степени выпол нения капитальных вложений, а также изыскании резервов увеличения объемов инвестирования.
Анализ выполнения плана капитальных вложений следует начи нать с изучения общих показателей, как абсолютных, так и относитель ных: размера инвестиций на одного работника, коэффициента обновле ния основных средств производства. Одним из основных показателей является выполнение плана по вводу объектов строительства в действие.
Если строительство выполняется хозяйственным способом, то нужно проанализировать себестоимость строительных работ. Для этого фактическую себестоимость сравнивают со сметной как в целом, так и по отдельным объектам, при этом изучают причины перерасхода или экономии средств по каждой статье затрат.
Большой удельный вес в общей сумме капитальных вложений за нимают инвестиции на приобретение основных средств. Выполнение плана приобретения основных средств зависит в основном от наличия у предприятия средств финансирования на эти цели.
Анализ источников финансирования инвестиционных проектов заключается в изучении структуры источников средств. Источниками финансирования инвестиционных проектов является прибыль предпри ятия, амортизационные отчисления, выручка от реализации основных средств, резервный фонд предприятия, кредиты банка, бюджетные ассигнования. При этом изучается насколько оптимально сочетаются у предприятия суммы собственных и заемных средств. Если доля заемных средств предприятия возрастает, то это может привести к неустойчиво сти финансового положения предприятия и увеличению его зависимости от банков или других предприятий.
Привлечение того или иного источника финансирования инвести ционных проектов связано для предприятия с определенными расходами: выпуск новых акций требует выплаты дивидендов; выпуск облигаций и получение кредитов – выплаты процентов; использование лизин га – выплаты вознаграждения лизингодателю и т.д. Цена кредитов банка равна годовой процентной ставке, но учитывается, что проценты за пользование кредитами банка включаются в себестоимость продукции и уменьшают налогооблагаемую прибыль. Отсюда цена этого ресурса равна банковскому проценту, уменьшенному на уровень налогообложения.
Цена облигации равна величине выплаченных по ним процентов. Если данные затраты разрешено относить на себестоимость, то как и в предыдущем случае они уменьшаются на уровень налогообложения.
Цена акционерного капитала равна уровню дивидендов, выплачиваемых по акциям.
В процессе анализа необходимо определить цену разных источников финансирования и выбрать наиболее выгодные из них.
Для оценки эффективности инвестиций используется ряд показателей :
1. Дополнительный выход продукции на рубль инвестиций:
Э = (ВП1ВП0)/ И , где Э – эффективность инвестиций;
ВП0, ВП1 – валовая продукция соответственно при исходных и дополнительных инвестициях;
И – сумма дополнительных инвестиций.
2. Снижение себестоимости продукции в расчете на рубль инвести ций:
Э =Q1(C0 – C 1)/ И ,
где Q 1 – годовой объем производства продукции в натуральном выражении после дополнительных инвестиций;
C 0, C 1 – себестоимость единицы продукции соответственно при исходных и дополнительных инвестициях
3. Сокращение затрат труда на производство продукции в расчете
на рубль инвестиций:
Э =Q1( Т0 – Т1)/И,
где Т0, Т1 – соответственно затраты труда на производство единицы продукции до и после дополнительных инвестиций.
4. Увеличение прибыли в расчете на рубль инвестиций:
Э =Q1( П1 –П0) /И,
где П1, П0 соответственно прибыль на единицу продукции до и после дополнительных инвестиций.
5. Срок окупаемости инвестиций:
t = И/ Q 1( П1 –П0) или t = И/ Q 1( C 0 – C 1).
Используя дополнительные капитальные вложения, предприятие должно добиваться оптимальных соотношений между основными и оборотными фондами, активной и пассивной частью основных производст венных фондов.
Методы комплексного анализа уровня использования экономического потенциала предприятия
Анализ и оценка эффективности деятельности предприятия являются завершающим этапом экономического анализа.
Содержанием экономического анализа является комплексное изучение производственно-хозяйственной деятельности предприятия с целью объективной оценки достигнутых результатов и разработки мероприятий по дальнейшему повышению эффективности хозяйствования.
Комплексный экономический анализ направлен на выявление резервов роста эффективности производства и хозяйственной деятельности в целом.
Главное в комплексном анализе системность, увязка отдельных разделов анализа между собой, анализ их взаимосвязи и выявление влияния каждого раздела анализа на обобщающие показатели эффектив ности.
Взаимосвязь основных групп показателей хозяйственной деятель ности во многом определяет разделы комплексного анализа.
При проведении комплексного системного экономического анали за выделяют шесть этапов .
На первом этапе определяются цели и условия функционирования объекта. Хозяйственная деятельность состоит из трех взаимосвязанных элементов: ресурсов, производственного процесса и готовой продукции. Целью работы предприятия является рентабельность, т.е. обеспечение либо максимального объема выпуска продукции при данных затратах ресурсов, либо заданного выпуска продукции при минимальном расходе ресурсов. А это определяется рынком финансирования, рынком купли и продажи.
На втором этапе формируется информационная система предпри ятия необходимая база системного экономического анализа и отбираются показатели, характеризующие производственную деятельность предприятия.
Третий этап составление общей схемы системы, устанавливаются ее главные компоненты, функции, взаимосвязи. На основе модели формирования экономических факторов и показателей составляется блоксхема комплексного экономического анализа (рис. 8.1).
Четвертый этап исследование взаимосвязи и обусловленности отдельных разделов, показателей и факторов производства.

Пятый этап. Здесь строится модель системы на основе информации, полученной на предыдущих этапах.
Шестой этап (завершающий). Здесь производится оценка резуль татов хозяйственной деятельности, комплексное выявление резервов для повышения эффективности производства.
Каждый показатель, отражающий определенную экономическую категорию, складывается под воздействием конкретных экономических факторов. С этой точки зрения, экономические факторы, как экономические категории, носят объективный характер. При этом необходимо раз личать факторы первого, второго,….., n го порядков. Различия эти условны, так как практически каждый показатель может рассматриваться как фактор другого показателя более высокого порядка, и наоборот. От объективно обусловленных факторов следует отличать субъективные, которые возникают под воздействием организационнотехнических ме роприятий.
Исходя из задач экономического анализа, факторы могут классифицироваться по различным признакам. Они делятся на внутренние, которые, в свою очередь, подразделяются на основные и неосновные и внешние.
Классификация факторов является основой классификации резервов. В экономике различают два понятия резервов: резервные запасы, наличие которых необходимо для непрерывного процесса производства и резервы как еще неиспользованные возможности роста производства, улучшения его количественных показателей. Классификация резервов должна способствовать облегчению их поиска и тем самым устранению потерь и нерациональному использованию производственных ресурсов.
1. Основной признак классификации производственных резервов – по источникам повышения эффективности, которые сводятся к трем ос новным группам (простым моментам процесса труда): сам труд, предмет труда и средства труда.
2. В зависимости от источников образования с позиции предприятия различают внешние и внутрипроизводственные резервы. Под внешними резервами понимаются общие народнохозяйственные, отрас левые и региональные резервы. Например, концентрация капиталовложений в те отрасли, которые дают наибольший экономический эффект. Использование внешних резервов сказывается на уровне экономических показателей предприятия, но главными источниками экономии на пред приятиях, как правило, являются внутрихозяйственные резервы.
3. Использование производственных и финансовых ресурсов пред приятия носит как интенсивный, так и экстенсивный характер. Экстен сивное использование ресурсов и экстенсивное развитие ориентируются на вовлечение в производство дополнительных ресурсов. Интенсифика ция производственной деятельности состоит в том, чтобы результаты производства росли быстрее, чем затраты на него, т.е. должна быть эффективность производства. Определенный рост эффективности может иметь место и при преимущественно экстенсивном типе воспроизводст ва, но возможность его высокой эффективности достигается только при интенсивном типе развития. Отсюда важно при поиске резервов классифицировать их по факторам интенсификации и повышения эффективно сти хозяйственной деятельности.
4. Классифицируют также резервы по тем конечным результатам, на которые они воздействуют. При этом они различаются на резервы повышения объема производства, совершенствования структуры и ас сортимента изделий, улучшения качества, снижения себестоимости продукции и резервы повышения прибыльности и рентабельности, укрепле ния финансового положения предприятия.
5. Резервы группируются с целью рациональной организации поиска по стадиям процесса воспроизводства: снабжение, производство и сбыт продукции, а также по стадиям создания и эксплуатации изделий: конструкторская и технологическая подготовка производства, освоение новых изделий, новых технологий, потребление изделий.
6. Резервы также подразделяются по признаку срока использования: текущие (реализуемые на протяжении данного года) и перспективные, которые могут быть использованы в перспективе.
7. По способу выявления резервы могут быть явные (ликвидация очевидных потерь или перерасходов, зафиксированных в отчетности) и скрытые (например, повышение организационнотехнического уровня предприятия).
Возможна и другая классификация резервов, которая вытекает из конкретных условий и задач каждого предприятия.
Важное место в системе комплексного анализа является сравни тельная рейтинговая оценка финансового состояния и деловой активно сти предприятия. Необходимость такой оценки возникает в двух случаях:
1) когда требуется сопоставить работу нескольких хозяйственных объектов об их деятельности на основе единой системы показателей;
2) когда нужно сопоставить результаты хозяйственной деятельности какоголибо хозяйственного субъекта во времени.
Важнейшим условием применения методов сравнительной комплексной оценки является соизмеримость различных по сути показателей. Если в систему оценочных показателей включаются стоимостные, трудовые, натуральные показатели, то сопоставление должно проводиться не по абсолютным значениям, а основе относительных.
К методам сравнительной комплексной оценки относятся следующие:
Суммирование значений всех показателей. Данный метод используют в случае одинаковой направленности исходных показателей и их общей сопоставимости, например, в процен тах выполнения плана. Наилучшим предприятием по данному методу считается то, у которого max ∑ показателей-стимуляторов или min ∑ показателей-дестимуляторов.
- Метод суммы мест. Здесь предприятия ранжируются по по казателямстимуляторам в порядке возрастания и по показате лямдестимуляторам – в порядке убывания. В случае равенства предприятиям присваиваются одинаковые места. Наилуч шие результаты в работе по данному методу будут у предпри ятия с минимальной суммой мест.
- Метод суммы баллов. В данном методе кроме исходных дан ных о значениях показателей задаются шкалы для оценки каждого показателя. Этот метод требует разработки большого числа шкальных оценок, которые необходимо согласовывать между собой.
Методы суммы мест и суммы баллов не учитывает абсолютные значения показателей, поэтому оценки, найденные по данным методам могут исказить реальную картину достижений каждого предприятия, если вариации предприятий мало различаются.
- Метод расстояний учитывает абсолютные значения показателей при оценке конечных результатов хозяйственной деятельности. В построенной матрице из показателей находится наилучшее значение, которое затем принимается за эталон. Далее рассчитываются расстояния между показателями каждого предприятия и предприятияэталона. Предприятия ранжируются в порядке возрастания расстояния, при этом чем меньше расстояние, тем лучше оценка
- Таксонометрический. Он не только учитывает абсолютные значения показателей, но и позволяет элиминировать их раз личную вариацию и является обобщением метода расстояний. Матрица исходных значений преобразуется по следующим формулам:

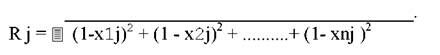
М.И. Бакановым и А.Д. Шереметом предложена методика ком плексной сравнительной рейтинговой оценки финансового состояния и деловой активности предприятия.
Сущность данной методики заключается в том, что, используя исходную информацию за оцениваемый период и систему показателей для рейтинговой оценки, производят классификацию (ранжирование) пред приятий по рейтингу и рассчитывают итоговую рейтинговую оценку, которая учитывает все важнейшие параметры финансовой и производст венной деятельности предприятия. Далее в табл. 8.1 представлен при мерный набор исходных показателей для общей сравнительной оценки. Исходные данные для рейтинговой оценки объединены в четыре груп пы. Убыточные предприятия в данной системе не рассматриваются. По скольку все исходные показатели таблицы являются относительными, то необходимо осуществлять расчет их на начало либо на конец периода. Итоговый показатель рейтинговой оценки рассчитывается путем сравнения каждого показателя условного эталонного предприятия, имеющего наилучшие результаты по всем сравниваемым параметрам.
Исходные данные записывают в таблицу, где в строках находятся номера показателей (i), а в столбцах номера предприятий ( j ). Далее по каждому показателю находится максимальное значение, которое зано сится в столбец эталонного предприятия. По исходным показателям таблицы находят отношения соответствующих значений (а ij ) к максималь ному ( max aij ):

Вам также может быть полезна лекция "3 Группировка и статистическая сводка".

Для каждого анализируемого показателя значение его рейтинговой оценки определяется по формуле ( R j ):

Затем предприятия ранжируются в порядке убывания рейтинговой оценки. Наилучшим предприятием будет считаться такое, у которого самое минимальное значение рейтинговой оценки.
Изложенный метод может применяться как для сравнения предприятий на конкретную дату, так и в динамике. В первом случае исходные данные рассчитываются по данным бухгалтерской отчетности на конец периода, во втором случае как темповые коэффициенты роста: данные на конец периода делятся на значение соответствующего показа теля на начало периода. Во втором случае получаем не только оценки текущего финансового состояния предприятия на определенную дату, но и его способностей по изменению этого состояния в динамике.
Следовательно, рейтинговая оценка финансового состояния и деловой активности предприятия, используя данные публичной отчетности, на базе комплексного и многомерного подхода производит сравнение реальных достижений всех конкурентов.





















